الخميس 19 فيفري 2026
إعلان عن طلب عروض مفتوح مع اشتراط قدرات دنيا رقم 10/2026
الزبون: مديرية الأشغال العمومية لولاية المسيلة
النوع: إعلان عن طلب عروض مفتوح مع اشتراط قدرات دنيا رقم 10/2026
موضوع: صيانة الطرق الوطنية شطر 2026
عدد الصفحات: 1/2
*/اعلان عن منح مؤقت لصفقة
الزبون: مؤسسة مترو الجزائر
النوع: */اعلان عن منح مؤقت لصفقة
موضوع: انجاز خدمات التحضير لاستغلال نظام المصعد الهوائي لمدينة تيزي وزو
عدد الصفحات: 1/4
اعلان عن طلب عروض وطني ودولي مفتوح مع اشتراط قدرات دنيا رقم 39/2025
الزبون: المديرية العامة للأمن الوطني
النوع: اعلان عن طلب عروض وطني ودولي مفتوح مع اشتراط قدرات دنيا رقم 39/2025
موضوع: اقتناء وتركيب معدات التحليل الطيفي
عدد الصفحات: 1/2
AVIS D'ATTRIBUTION PROVISOIRE DE MARCHE N 14 /2026
الزبون: DIRECTION DES EQUIPEMENTS PUBLICS DE LA WILAYA DE DJELFA
النوع: AVIS D'ATTRIBUTION PROVISOIRE DE MARCHE N 14 /2026
موضوع: la réalisation des lots de l'Institut National Spécialisé de Formation Professionnelle (INSFP 300 places …
عدد الصفحات: 1/4
*/AVIS D’ATTRIBUTION PROVISOIRE DU MARCHE
الزبون: WILAYA DE BOUMERDES DIRECTION DE L’ADMINISTRATION LOCALE
النوع: */AVIS D’ATTRIBUTION PROVISOIRE DU MARCHE
موضوع: étude d’évaluation de la mise en ouvre du plan d’aménagement du territoire de la wilaya de Boumerdes
عدد الصفحات: 1/4
*/اعلان عن طلب عروض وطني مفتوح مع اشتراط قدرات دنيا رقم 02/2026
الزبون: المديرية العامة للأمن الوطني
النوع: */اعلان عن طلب عروض وطني مفتوح مع اشتراط قدرات دنيا رقم 02/2026
موضوع: اقتناء اثاث المكتب مقسم الى اربعة
عدد الصفحات: 1/2
AVIS D'ATTRIBUTION PROVISOIRE/*/
الزبون: Wilaya d’ El Meniaa Direction De L’urbanisme L’architecture Et De La Construction
النوع: AVIS D'ATTRIBUTION PROVISOIRE/*/
موضوع: AMENAGEMENT 03 MICRO ZONES D’ACTIVITES AU NIVEAU COMMUNE : EL MENIAA - HASSI EL GARA-HASSI LFHAL.
عدد الصفحات: 1/4
إعلان عن المنح المؤقت للصفقة تحت رقم 19
الزبون: مديرية التعمير والهندسة المعمارية والبناء لولاية المغير
النوع: إعلان عن المنح المؤقت للصفقة تحت رقم 19
موضوع: تهيئة محاور الدوران
عدد الصفحات: 1/4
Avis D’appel D’offre National Ouvert Avec Exigence De Capacités Minimales pour la deuxième fois
الزبون: Wilaya De Souk-Ahras Direction De La Sante Et De La Population
النوع: Avis D’appel D’offre National Ouvert Avec Exigence De Capacités Minimales pour la deuxième fois
موضوع: Acquisition des équipements Médicaux et collectifs pour la polyclinique de sedrata (w.souk ahras)
عدد الصفحات: 1/4
AVIS D’ATTRIBUTION PROVISOIRE DES MARCHÉS */*/
الزبون: WILAYA DE GUELMA DIRECTION DE L’URBANISME, DE L’ARCHITECTURE ET DE LA CONSTRUCTION
النوع: AVIS D’ATTRIBUTION PROVISOIRE DES MARCHÉS */*/
موضوع: Lot N °05: ETUDE POS N° 03 HADJER MANGOUB Commune : BELKHEIR. Superficie : 1929100 m² Lot N °06: ETUDE POS …
عدد الصفحات: 1/4
اعلان عن طلب العروض الوطني المفتوح مع اشتراط قدرات دنيا رقم 06/2026
الزبون: مديرية الري
النوع: اعلان عن طلب العروض الوطني المفتوح مع اشتراط قدرات دنيا رقم 06/2026
موضوع: تجديد وتوسعة شبكة المياه الصالحة للشرب لمنطقة لاشبور 01
عدد الصفحات: 1/4
اعلان عن عدم جدوى */
الزبون: مديرية الشباب والرياضة لولاية باتنة
النوع: اعلان عن عدم جدوى */
موضوع: متابعة، تأهيل واعادة الاعتبار للملعب المتعدد الرياضات 01 نوفمبر …
عدد الصفحات: 1/4
AVIS D'ATTRIBUTION PROVISOIRE */*/
الزبون: DIRECTION DES EQUIPEMENT PUBLICS DE LA WILAYA DE CONSTANTINE
النوع: AVIS D'ATTRIBUTION PROVISOIRE */*/
موضوع: etude et suivi pour la réalisation d'un collége type 06 au niveau du site zouaghi
عدد الصفحات: 1/4
اعلان عن طلب عروض وطني مفتوح مع اشتراط قدرات دنيا 10/2026
الزبون: مديرية الاشغال العمومية لولاية تيارت
النوع: اعلان عن طلب عروض وطني مفتوح مع اشتراط قدرات دنيا 10/2026
موضوع: صيانة الطرق الوطنية سنة 2026
عدد الصفحات: 1/2
TROISIEME AVIS D'APPEL D'OFFRE NATIONAL OUVERT AVEC EXIGENCE DE CAPACITES MINIMALES N 04/2026
الزبون: DIRECTION DE LA SANTE ET DE LA POPULATION DE LA WILAYA D'ORAN
النوع: TROISIEME AVIS D'APPEL D'OFFRE NATIONAL OUVERT AVEC EXIGENCE DE CAPACITES MINIMALES N 04/2026
موضوع: achevement de l'institut du cancer a oran
عدد الصفحات: 1/2
الأربعاء 18 فيفري 2026
AVIS D’ATTRIBUTION PROVISOIRE */*/
الزبون: Wilaya de Mascara Daïra de Tighennif Commune de Sehailia
النوع: AVIS D’ATTRIBUTION PROVISOIRE */*/
موضوع: Entretien D’un Chemin Reliant CV05 au Douar O/Kada sur 2,200 Km
عدد الصفحات: 1/4
إعلان عن المنح المؤقت **
الزبون: مديرية الأشغال العمومية لولاية تمنراست
النوع: إعلان عن المنح المؤقت **
موضوع: الصيانة العادية للطرق الوطنية شطر 2026 ولاية تمنراست
عدد الصفحات: 1/2
اعلان عن طلب عروض وطني مفتوح رقم 05/2026
الزبون: المديرية العامة للأمن الوطني
النوع: اعلان عن طلب عروض وطني مفتوح رقم 05/2026
موضوع: اصلاح المكيفات الهوائية بمختلف قدراتها المركبة على مستوى مصالح …
عدد الصفحات: 1/2
الإعذار الأول ****
الزبون: ديوان الترقية والتسيير العقاري لولاية بني عباس
النوع: الإعذار الأول ****
موضوع: انجاز 300/500 مسكن عمومي إيجاري مع التهيئة والربط بمختلف الشبكات ذو …
عدد الصفحات: 1/4
AVIS D’ANNULATION D’avis d’appel d’offres national ouvert avec exigence de capacités minimales
الزبون: AADL- DIRECTION REGIONALE D’ALGER EST–DRA/E-
النوع: AVIS D’ANNULATION D’avis d’appel d’offres national ouvert avec exigence de capacités minimales
موضوع: l’étude géotechnique de l’assiette de terrain du projet des 2500 logements (site 07) location-vente en TCE …
عدد الصفحات: 1/4
إعلان تصحيحي للإعلان عن المنح المؤقت
الزبون: مديرية التجهيزات العمومية لولاية شلف
النوع: إعلان تصحيحي للإعلان عن المنح المؤقت
موضوع: دراسة ومتابعة لانجاز مدرسة ابتدائية نوع 02 على مستوى موقع 200LPL 160LPA
عدد الصفحات: 1/4
اعلان عن منح مؤقت */*
الزبون: مديرية التعمير والهندسة المعمارية والبناء ولاية تيسمسيلت
النوع: اعلان عن منح مؤقت */*
موضوع: اشغال الطرق والشبكات المختلفة للتخصيصات المنشأة في إطار تطوير …
عدد الصفحات: 1/2
avis d'appel d'offres national ouvert n 01/2026
الزبون: direction de la jeunesse et des sports
النوع: avis d'appel d'offres national ouvert n 01/2026
موضوع: aménagement et réfection des infrastructure jeunesses et sports
عدد الصفحات: 1/2
إعلان عن إالغاء الإجراء
الزبون: المديرية الجهوية لعدل ولاية سطيف
النوع: إعلان عن إالغاء الإجراء
موضوع: دراسة ومتابعة أشغال انجاز 1300 مسكن صيغة البيع بالايجار
عدد الصفحات: 1/4
AVIS D4ATTRIBUTION PROVISOIRE */*/
الزبون: COMMUNE AIN M'LILA WILAYA DE OUM EL BOUAGHUI
النوع: AVIS D4ATTRIBUTION PROVISOIRE */*/
موضوع: .
عدد الصفحات: 1/2
AVIS D'ATTRIBUTION PROVISOIRE /*/*
الزبون: direction de l'hydraulique de la wilaya de souk ahras
النوع: AVIS D'ATTRIBUTION PROVISOIRE /*/*
موضوع: .
عدد الصفحات: 1/4
اعلان عن منح مؤقت للصفقة*/
الزبون: مديرية الأشغال العمومية لولاية عنابة
النوع: اعلان عن منح مؤقت للصفقة*/
موضوع: صيانة الموانئ والملك العمومي البحري برنامج 2026
عدد الصفحات: 1/4
اعلان عن طلب عروض وطني مفتوح مع اشتراط قدرات دنيا /*/
الزبون: بلدية مرسى الحجاج ولاية وهران
النوع: اعلان عن طلب عروض وطني مفتوح مع اشتراط قدرات دنيا /*/
موضوع: التهيئة الحضرية لحيين بوهران
عدد الصفحات: 1/2
إعلان عن طلب العروض المفتوح مع اشتراط قدرات دنيا رقم 01/2026
الزبون: بلدية عين الترك ولاية وهران
النوع: إعلان عن طلب العروض المفتوح مع اشتراط قدرات دنيا رقم 01/2026
موضوع: تهيئة الواجهة البحرية للكثبان الرملية والطرق الحضرية لبلدية عين …
عدد الصفحات: 1/4
الثلاثاء 17 فيفري 2026
*إعذار رقم 01**
الزبون: مديرية التعمير والهندسة المعمارية والبناء لولاية مسيلة
النوع: *إعذار رقم 01**
موضوع: اعادة تهيئة الأرصفة للطريق المزدوج من محور الدوران محمد بوضياف …
عدد الصفحات: 1/4
*اعلان عن منح مؤقت للصفقات
الزبون: مديرية الاشغال العمومية لولاية تيزي وزو
النوع: *اعلان عن منح مؤقت للصفقات
موضوع: صيانة الطرق الولائية سنة 2026
عدد الصفحات: 3/4
اعلان عن المنح المؤقت*/*/
الزبون: مديرية الري لولاية المدية
النوع: اعلان عن المنح المؤقت*/*/
موضوع: اقتناء 12 مولد كهربائي بقدرة 400 كيلو فولط من اجل مناقب حقل الالتقاط …
عدد الصفحات: 1/4
اعلان عن طلب عروض وطني مفتوح رقم 04/2026
الزبون: المديرية العامة للأمن الوطني
النوع: اعلان عن طلب عروض وطني مفتوح رقم 04/2026
موضوع: اقتناء مختلف العتاد لفائدة المصلحة الجهوية للمالية والتجهيز …
عدد الصفحات: 1/2
اعلان عن طلب عروض وطني مفتوح مع اشتراط قدرات دنيا للمرة الثانية رقم 03/2026
الزبون: مديرية التعمير الهندسة المعمارية والبناء ولاية توقرت
النوع: اعلان عن طلب عروض وطني مفتوح مع اشتراط قدرات دنيا للمرة الثانية رقم 03/2026
موضوع: انجاز اشغال الشبكات المختلفة ببلدية سيدي سليمان
عدد الصفحات: 1/2
اعذار رقم 01 قبل الفسخ
الزبون: مديرية الأشغال العمومية ولاية إن صالح
النوع: اعذار رقم 01 قبل الفسخ
موضوع: شركة المرافق العامة سيدي موسى
عدد الصفحات: 1/4
اعذار رقم 01/2026
الزبون: مديرية التجهيزات العمومية لولاية إن صالح
النوع: اعذار رقم 01/2026
موضوع: دراسة، متابعة، انجاز وتجهيز مطعم نصف داخلي بمتوسطة عبد الحميد بن …
عدد الصفحات: 1/4
اعلان عن طلب عروض وطني مفتوح مع اشتراط قدرات دنيا رقم 2026/05
الزبون: مديرية الري لولاية قالمة
النوع: اعلان عن طلب عروض وطني مفتوح مع اشتراط قدرات دنيا رقم 2026/05
موضوع: انجاز اشغال التهيئة والتحسين الحضري عبر دائرة حمام النبائل في …
عدد الصفحات: 1/2
L'appel d'offre national ouvert avec exigence de capacités minimales n 05/2026
الزبون: commune erraguenne souissi wilaya de jijel
النوع: L'appel d'offre national ouvert avec exigence de capacités minimales n 05/2026
موضوع: aquisition materiel au profit APC
عدد الصفحات: 1/2
l'appel d'offre national ouvert avec exigence de capacite minimales n 06/2026
الزبون: commune erraguenne souissi wilaya de jijel
النوع: l'appel d'offre national ouvert avec exigence de capacite minimales n 06/2026
موضوع: realisation d'un puits avec reservoir d'eau et reseau d'alimentation de machta zenata en eau potable
عدد الصفحات: 1/4
AVIS APPEL D’0FFRE NATIONAL OUVERT AVEC EXIGENCE DE CAPACITES MINIMALES N° 01/2026
الزبون: WILAYA D’ORANCOMMUNE DE BETHIOUA
النوع: AVIS APPEL D’0FFRE NATIONAL OUVERT AVEC EXIGENCE DE CAPACITES MINIMALES N° 01/2026
موضوع: Acquisition De Deux Bus Scolaires
عدد الصفحات: 1/2
avis d'infructuosite de l'avis d'appel d'offr national ouvert avec exigence des capacites minimales n 02/2026
الزبون: opgi de mascara
النوع: avis d'infructuosite de l'avis d'appel d'offr national ouvert avec exigence des capacites minimales n 02/2026
موضوع: realisation des 20 50 logements promotionnels aides 18 logements promotionnels libres avec vrd a ghriss en lot unique
عدد الصفحات: 1/4
إعلان عن طلب عروض مفتوح مع اشتراط قدرات دنيا رقم 15/2026
الزبون: بلدية النعامة ولاية النعامة
النوع: إعلان عن طلب عروض مفتوح مع اشتراط قدرات دنيا رقم 15/2026
موضوع: التشجير عبر بلدية النعامة
عدد الصفحات: 1/4
الإثنين 16 فيفري 2026
AVIS D'ATTRIBUTION PROVISOIRE APPEL D’OFFRES NATIONAL AVEC EXIGENCES DES CAPACITES MINIMALES N°01/DSA/2025
الزبون: DIRECTION DES SERVICES AGRICOLES DE LA WILAYA DE JIJEL
النوع: AVIS D'ATTRIBUTION PROVISOIRE APPEL D’OFFRES NATIONAL AVEC EXIGENCES DES CAPACITES MINIMALES N°01/DSA/2025
موضوع: relance de l’activité agricole suite aux dégâts occasionnés par les intempéries survenues du 28 février au …
عدد الصفحات: 1/4
/*اعلان عن المنح المؤقت للصفقة */
الزبون: مديرية الاشغال العمومية لولاية خنشلة
النوع: /*اعلان عن المنح المؤقت للصفقة */
موضوع: صيانة الطرق الولائية شطر 2024
عدد الصفحات: 1/4
اعلان عن منح مؤقت لطلب عروض وطني مفتوح مع اشتراط قدرات دنيا رقم 02/2026
الزبون: بلدية عين زعطوط ولاية بسكرة
النوع: اعلان عن منح مؤقت لطلب عروض وطني مفتوح مع اشتراط قدرات دنيا رقم 02/2026
موضوع: متابعة ومراقبة تقنية وانجاز حضيرة البلدية الشطر الثاني
عدد الصفحات: 1/4
AVIS D'APPEL D'OFFRES NATIONAL OUVERT AVEC EXIGENCE DE CAPACITE MINIMALES N 01/2026
الزبون: direction de l'environnement wilaya de skikda
النوع: AVIS D'APPEL D'OFFRES NATIONAL OUVERT AVEC EXIGENCE DE CAPACITE MINIMALES N 01/2026
موضوع: l'etude de realisation d'un centre des deches ménagers et assimilés a sidi arkba commune de hamadi krouma
عدد الصفحات: 1/2
AVIS D’ATTRIBUTION PROVISOIRE */*/
الزبون: Direction de l’Urbanisme, de l’Architecture et de la Construction Wilaya de Tissemsilt
النوع: AVIS D’ATTRIBUTION PROVISOIRE */*/
موضوع: Amélioration Urbaine à Travers Les Wilaya, VRD Primaires Et Secondaires Des Nouveau POS Et Déficits En VRD (1ere …
عدد الصفحات: 1/4
/اعلان عن المنح المؤقت/
الزبون: مديرية الشباب والرياضة ولاية المسيلة
النوع: /اعلان عن المنح المؤقت/
موضوع: دراسة متابعة وانجاز ملعب بلدي ببلدية أمجدل الشطر 1
عدد الصفحات: 1/4
اعلان عن المنح المؤقت للصفقة////
الزبون: مديرية الصحة والسكان ولاية تيزي وزو
النوع: اعلان عن المنح المؤقت للصفقة////
موضوع: تاهيل المؤسسة العمومية الاستشفائية المتخصصة بذراع الميزان ولاية …
عدد الصفحات: 1/4
*/*/ اعلان عن المنح المؤقت للصفقة
الزبون: بلدية أولاد عيسى وللاية تيميمون
النوع: */*/ اعلان عن المنح المؤقت للصفقة
موضوع: اعادة الاعتبار لقناة المصب الرئيسية باولاد عيسى الشطر 1
عدد الصفحات: 1/4
اعلان عن طلب عروض وطني مفتوح رقم 72/2025
الزبون: المديرية العامة للأمن الوطني
النوع: اعلان عن طلب عروض وطني مفتوح رقم 72/2025
موضوع: اقتناء تجهيزات ومعدات الشرطة العلمية
عدد الصفحات: 1/2
اعلان عن طلب عروض مفتوح مع اشتراط قدرات دنيا رقم 04/2026
الزبون: مديرية الإدارة المحلية ولاية المسيلة
النوع: اعلان عن طلب عروض مفتوح مع اشتراط قدرات دنيا رقم 04/2026
موضوع: اعادة تأهيل، توسعة وتجهيز المقرات الإدارية للولاية المنتدبة …
عدد الصفحات: 1/4
اعلان عن طلب عروض وطني مفتوح رقم 11/2026
الزبون: المديرية العامة للأمن الوطني
النوع: اعلان عن طلب عروض وطني مفتوح رقم 11/2026
موضوع: توريد قطع غيار للمركبات من عدة علامات
عدد الصفحات: 1/2
اعلان عن تاهيل في مرحلة الاقتناء الاولى (ملف الترشح)
الزبون: مديرية التجهيزات العمومية لولاية تيسمسيلت
النوع: اعلان عن تاهيل في مرحلة الاقتناء الاولى (ملف الترشح)
موضوع: دراسة ومتابعة من اجل انجاز مدرسة ابتدائية رقم 02 نوع 02 على مستوى …
عدد الصفحات: 1/4
اعلان عن تمديد أجل إيداع العروض لطلب عرض وطني ودولي مفتوح رقم 13/2025
الزبون: مجمع الحليب جيبلي
النوع: اعلان عن تمديد أجل إيداع العروض لطلب عرض وطني ودولي مفتوح رقم 13/2025
موضوع: 7000000 علبة معدنية مخصصة لتعبئة الجبن المطبوخ المعقم 100 غرام حسب …
عدد الصفحات: 1/4
N : 01 /2026 AVIS D’ATTRIBUTION PROVISOIRE
الزبون: WILAYA DE TIARET DAIRA DE MEDOUSSA COMMUNE DE MEDROUSSA
النوع: N : 01 /2026 AVIS D’ATTRIBUTION PROVISOIRE
موضوع: Réalisation d’une cantine scolaire à l’école Khattel Abdelkader 200 repas –Medroussa centre -
عدد الصفحات: 1/4
اعلان عن منح مؤقت رقم 03/2026
الزبون: بلدية مدروسة ولاية تيارت
النوع: اعلان عن منح مؤقت رقم 03/2026
موضوع: انجاز ملحق بلدي بالمطمر لبيض
عدد الصفحات: 1/4
*/* إعلان عن منح مؤقت */*
الزبون: بلدية عين فارس ولاية معسكر
النوع: */* إعلان عن منح مؤقت */*
موضوع: انجاز شبكة الصرف الصحي بدوار سيدي احمد بن يوسف عين فارس
عدد الصفحات: 1/4
اعلان عن طلب العروض الوطني المفتوح مع اشتراط قدرات دنيا رقم 01/2026
الزبون: بلدية بريزينة ولاية البيض
النوع: اعلان عن طلب العروض الوطني المفتوح مع اشتراط قدرات دنيا رقم 01/2026
موضوع: انجاز وربط خزان مائي
عدد الصفحات: 1/4
الأحد 15 فيفري 2026
إعلان عن المنح المؤقت للصفقات في إطار طلب عروض وطني مفتوح مع اشتراط قدرات دنيا رقم 03/2025
الزبون: المديرية العامة للأمن الوطني
النوع: إعلان عن المنح المؤقت للصفقات في إطار طلب عروض وطني مفتوح مع اشتراط قدرات دنيا رقم 03/2025
موضوع: انجاز اشغال صيانة وتصليح التدفئة المركزية لمصالح الأمن الوطني …
عدد الصفحات: 1/4
اعلان عن طلب عروض وطني ودولي مفتوح مع اشتراط قدرات دنيا رقم 37/2025
الزبون: المديرية العامة للأمن الوطني
النوع: اعلان عن طلب عروض وطني ودولي مفتوح مع اشتراط قدرات دنيا رقم 37/2025
موضوع: اقتناء وتركيب معدات الكروماتوغرافيا
عدد الصفحات: 1/2
MISE EN DEMEURE N 01/*/
الزبون: OPGI tissemsilt
النوع: MISE EN DEMEURE N 01/*/
موضوع: la realisation des travaux de 100/160/2000 logements publics locatifs en tous corps d'état tce
عدد الصفحات: 1/4
اعلان عن طلب عروض وطني ودولي مفتوح رقم 38/2025
الزبون: المديرية العامة للأمن الوطني
النوع: اعلان عن طلب عروض وطني ودولي مفتوح رقم 38/2025
موضوع: اقتناء مائة وعشرة اجهزة تصوير رقمية جنائية
عدد الصفحات: 1/2
MISE EN DEMEURE N01/*/
الزبون: COMMUNE DE TISSEMSILT WILAA DE TISSEMSILT
النوع: MISE EN DEMEURE N01/*/
موضوع: .
عدد الصفحات: 1/4
AVIS D’ANNULATION DE L’ATTRIBUTION PROVISOIRE DU MARCHE
الزبون: DIRECTION DES TRAVAUX PUBLICS DE LA WILAYA DE BEJAIA
النوع: AVIS D’ANNULATION DE L’ATTRIBUTION PROVISOIRE DU MARCHE
موضوع: Entretien des Routes Nationales-Exercice 2025
عدد الصفحات: 1/4
اعلان عن المنح المؤقت للصفقة */
الزبون: الاقامة الجامعية بن زهرة فاطمة الزهراء البليدة
النوع: اعلان عن المنح المؤقت للصفقة */
موضوع: خدمات الحراسة والأمن للإقامة بن زهرة فاطمة الزهراء البليدة
عدد الصفحات: 1/4
اعلان عن طلب عروض مفتوح مع اشتراط قدرات دنيا رقم 02/2026
الزبون: بلدية خزارة ولاية قالمة
النوع: اعلان عن طلب عروض مفتوح مع اشتراط قدرات دنيا رقم 02/2026
موضوع: تهيئة ساحات واحياء توسيع انارة انجاز اماكن وقوف
عدد الصفحات: 1/2
AVIS D'APPEL D'OFFRES NATIONAL OUVERT AVEC EXIGENCE DE CAPACITE MINIMALE
الزبون: DIRECTION DE LA SANTE ET DE LA POPULATION WILAYA DE CONSTANTINE
النوع: AVIS D'APPEL D'OFFRES NATIONAL OUVERT AVEC EXIGENCE DE CAPACITE MINIMALE
موضوع: AQUISITION ACCESSOIRES ET DISPOSITIFS MEDICAUXX NECESSARES POUR LE DEPISTAGE PRIS EN CHARGE CHIRUGICALE DES CANCERS
عدد الصفحات: 1/2
AVIS DE CONSULTATION N 02/2026
الزبون: COMMUNE DE DIDOUCHE MOUIRAD WILAYA DE CONSTANTINE
النوع: AVIS DE CONSULTATION N 02/2026
موضوع: .
عدد الصفحات: 1/4
إعادة الاعلان عن طلب العروض الوطني المفتوح مع اشتراط قدرات دنيا بعد عدم جدوى رقم 05/2026
الزبون: عدل المديرية الجهوية ورقلة
النوع: إعادة الاعلان عن طلب العروض الوطني المفتوح مع اشتراط قدرات دنيا بعد عدم جدوى رقم 05/2026
موضوع: اشغال انجاز 60 مسكن بصيغة عدل فردي بجميع هياكل الدولة
عدد الصفحات: 1/2
*/اعذار رقم 01*/
الزبون: ديوان الترقية والتسيير العقاري ولاية عين تيموشنت
النوع: */اعذار رقم 01*/
موضوع: 30/600 مسكن عمومي إيجاري المتواجدة مساعيد ولاية عين تموشنت برنامج …
عدد الصفحات: 1/4
N°05 / 2026 AVIS D’APPEL D’OFFRES NATIONAL OUVERT AVEC EXIGENCE DE CAPACITES MINIMALES
الزبون: DIRECTION DES TRAVAUX PUBLICS WILAYA DE SAIDA
النوع: N°05 / 2026 AVIS D’APPEL D’OFFRES NATIONAL OUVERT AVEC EXIGENCE DE CAPACITES MINIMALES
موضوع: - ENTRETIEN DES ROUTES NATIONALES –EXERCICE 2026 –
عدد الصفحات: 1/4
اعلان عن طلب عروض وطني للمرة الثانية بعد الغاء الاجراء مع اشتراط قدرات دنيا
الزبون: المركز النفسي البيداغوجي للاطفال المعاقين حركيا لشتوان
النوع: اعلان عن طلب عروض وطني للمرة الثانية بعد الغاء الاجراء مع اشتراط قدرات دنيا
موضوع: دراسة ومتابعة واعادة التاهيل والتهيئة على مستوى المركز النفسي …
عدد الصفحات: 1/2
السبت 14 فيفري 2026
*دعوة فتح الأظرفة المالية
الزبون: ديوان الترقية والتسيير العقاري الاغواط
النوع: *دعوة فتح الأظرفة المالية
موضوع: 600 سكن عمومي إيجاري ببلدية الأغواط
عدد الصفحات: 1/4
أعلان عن طلب عروض مفتوح مع اشتراط قدرات دنيا رقم 15/2026
الزبون: مديرية التجهيزات العمومية ولاية المسيلة
النوع: أعلان عن طلب عروض مفتوح مع اشتراط قدرات دنيا رقم 15/2026
موضوع: تكملة تهيئة ملحقة إدارية بحي 1000 مسكن بالمسيلة
عدد الصفحات: 1/2
اعلان عن المنح المؤقت للصفقة*/*/
الزبون: بلدية أولاد عيسى ولاية تيميمون
النوع: اعلان عن المنح المؤقت للصفقة*/*/
موضوع: مراقبة والصيانة الجزئية للطرق البلدية مع انجاز ممهلات
عدد الصفحات: 1/4
*/*إعلان عن منح مؤقت لصفقة
الزبون: بلدية خراطة ولاية بجاية
النوع: */*إعلان عن منح مؤقت لصفقة
موضوع: دراسة، متابعة، انجاز وتجهيز مدرسة بحي الاخوة عمور
عدد الصفحات: 1/2
إعذار قبل الفسخ
الزبون: ديوان الترقية والتسيير العقاري لولاية سطيف
النوع: إعذار قبل الفسخ
موضوع: انجاز 50/130 مسكن ترقوي مدعم LPA ببلدية بوقاعة الحصة رقم 01
عدد الصفحات: 1/4
Avis D'Ihfructuosité de l'appel d'offlç ouvert
الزبون: Wilaya De Biskra Dal.ra De Sidi Okba Commune D'Ain Naga
النوع: Avis D'Ihfructuosité de l'appel d'offlç ouvert
موضوع: Revôtement du ¢hemin communal N°230 reliant la RN 83 à la zone Eldjallaîa sur 05 Km Çommune ain naga publié …
عدد الصفحات: 1/4
*/ إعلان عن المنح المؤقت/*
الزبون: بلدية مزغنة ولاية المدية
النوع: */ إعلان عن المنح المؤقت/*
موضوع: تموين المطاعم المدرسية بالمواد الغذائية لسنة 2026
عدد الصفحات: 1/4
*/*/إعلان عن طلب عروض مفتوح مع اشتراط قدرات دنيا رقم 01/2026
الزبون: بلدية أفلو ولاية الأغواط
النوع: */*/إعلان عن طلب عروض مفتوح مع اشتراط قدرات دنيا رقم 01/2026
موضوع: اعادة الاعتبار لشبكتي الصرف والمياه الصالحة للشرب ببعض الأحياء
عدد الصفحات: 1/4
إعلان عن طلب العروض الوطني المفتوح مع اشتراط قدرات دنيا رقم 02/2026
الزبون: بلدية قنزات ولاية سطيف
النوع: إعلان عن طلب العروض الوطني المفتوح مع اشتراط قدرات دنيا رقم 02/2026
موضوع: اصلاح الطريق البلدي رقم 182 المقطع الرابط بين قرية ثاوريرث وقرية …
عدد الصفحات: 1/4
AVIS D'APPEL D'OFFRE OUVERT AVEC EXIGENCE DE CAPACITES MINIMALES OERATION N 01/2026
الزبون: COMMUNE D'AIN KERMAA WILAYA D'ELTARF
النوع: AVIS D'APPEL D'OFFRE OUVERT AVEC EXIGENCE DE CAPACITES MINIMALES OERATION N 01/2026
موضوع: aménagement urbain cite taif ammar 3 eme tranche et une partie du cite el kouba
عدد الصفحات: 1/4
*/AVIS D'ATTRIBUTION PROVISOIRE
الزبون: AADL ANNABA
النوع: */AVIS D'ATTRIBUTION PROVISOIRE
موضوع: l'étude géotechnique du projet 1286/4600 logements location -vente en tce avec locaux asage commercial professionnel …
عدد الصفحات: 1/4
AVIS D’INFRUCTIOSITE///
الزبون: WILAYA DE MILA DAIRA DE TERRAI- BEINEN COMMUNE DE TERRAI- BEINEN
النوع: AVIS D’INFRUCTIOSITE///
موضوع: REALISATION DE FORAGE AU PROFIT DE COMMUNE DE TERRAI BEINEN
عدد الصفحات: 1/4
*/AVIS D'APPEL D'OFFRES NATIONAL OUVERT AVEC EXIGENCE DE CAPACITES MINIMALES N 03/2026
الزبون: COMMUNE DE TERRAI- BEINEN WILAYA DE MILA
النوع: */AVIS D'APPEL D'OFFRES NATIONAL OUVERT AVEC EXIGENCE DE CAPACITES MINIMALES N 03/2026
موضوع: AMENAGEMENT URBAIN
عدد الصفحات: 1/2
إعلان عن طلب عروض مفتوح مع اشتراط قدرات دنيا /*/*
الزبون: المؤسسة العمومية الإستشفائية غليزان
النوع: إعلان عن طلب عروض مفتوح مع اشتراط قدرات دنيا /*/*
موضوع: تزويد المؤسسة العمومية الإستشفائية غليزان بمواد التغذية لحساب …
عدد الصفحات: 1
الخميس 12 فيفري 2026
*****AVIS D'ATTRIBUTION PROVISOIRE DE MARCHE*
الزبون: commune d'aomar wilaya de biskra
النوع: *****AVIS D'ATTRIBUTION PROVISOIRE DE MARCHE*
موضوع: fourniture ecoles primaires de la commune d'aomar des produits alimentaire année 2026
عدد الصفحات: 1/4
اعلان عن عدم جدوى ثاني طلب عروض وطني مفتوح مع اشتراط قدرات دنيا رقم 01/2026
الزبون: مؤسسة التسيير السياحي للوسط
النوع: اعلان عن عدم جدوى ثاني طلب عروض وطني مفتوح مع اشتراط قدرات دنيا رقم 01/2026
موضوع: تزويد وتركيب وتشغيل معدات المطابخ المهنية ووحدات غرف التبريد …
عدد الصفحات: 1/4
اعلان عن عدم جدوى طلب عروض
الزبون: مديرية الأشغال العمومية لولاية تندوف
النوع: اعلان عن عدم جدوى طلب عروض
موضوع: صيانة المطارات 2026
عدد الصفحات: 1/4
اعلان عن طلب العروض الوطني المفتوح مع اشتراط قدرات دنيا رقم 12/2026
الزبون: المديرية الجهوية للجزائر غرب لعدل
النوع: اعلان عن طلب العروض الوطني المفتوح مع اشتراط قدرات دنيا رقم 12/2026
موضوع: انجاز 600 مسكن بيع بالايجاري بكل مراحله
عدد الصفحات: 3/4
//////////Mise en Demeure N° 01
الزبون: Wilaya d’Illizi Direction des Travaux Public
النوع: //////////Mise en Demeure N° 01
موضوع: Acquisition du Matériel s ( Entretien des Routes )- Lot N° 01 : Acquisition d’un Camion 06*06 Tout …
عدد الصفحات: 1/4
**اعلان عن طلب عروض وطني مفتوح مع اشتراط قدرات دنيا رقم 01/2026
الزبون: محافظة الغابات ولاية بومرداس
النوع: **اعلان عن طلب عروض وطني مفتوح مع اشتراط قدرات دنيا رقم 01/2026
موضوع: تهيئة المسالك الغابية على مسافة 17.4 كلم
عدد الصفحات: 1/4
relance de l'avis d'appel d'offres national ouvert avec exigence de capaciote minimales 15/2026
الزبون: direction des travaux publics de la wilaya de constantine
النوع: relance de l'avis d'appel d'offres national ouvert avec exigence de capaciote minimales 15/2026
موضوع: approbation d'etudes d'exécution du chemin des touristes constantine
عدد الصفحات: 1/2
Avis d’Appel d’Offre National Ouvert avec Exigence de Capacités minimales N°: 01/2026 à La Deuxième fois
الزبون: Wilaya : mila Daira :sidi merouane Commune : Chigara
النوع: Avis d’Appel d’Offre National Ouvert avec Exigence de Capacités minimales N°: 01/2026 à La Deuxième fois
موضوع: Achèvement Réhabilitation de la route communale allant du Cimetière des Martyrs à Al-Zawabi, sur une distance de …
عدد الصفحات: 1/4
اعلان ثاني عن طلب عروض وطني مفتوح مع اشتراط قدرات دنيا بعد عدم جدوى رقم 06/2026
الزبون: بلدية أم العظايم ولاية سوق أهراس
النوع: اعلان ثاني عن طلب عروض وطني مفتوح مع اشتراط قدرات دنيا بعد عدم جدوى رقم 06/2026
موضوع: متابعة واعادة تأهيل وصيانة الطرق الولائية والبلدية وانجاز …
عدد الصفحات: 1/4
اعلان ثاني عن طلب عروض وطني مفتوح مع اشتراط قدرات دنيا بعد عدم جدوى رقم 07/2026
الزبون: بلدية أم العظايم ولاية سوق أهراس
النوع: اعلان ثاني عن طلب عروض وطني مفتوح مع اشتراط قدرات دنيا بعد عدم جدوى رقم 07/2026
موضوع: ترميم المسالك وصيانة الطرق البلدية عبر مشاتي البلدية وانجاز منشأ …
عدد الصفحات: 1/4
اعلان عن طلب عروض مفتوح مع اشتراط قدرات دنيا /////***
الزبون: مديرية الشباب والرياضة ولاية سوق أهراس
النوع: اعلان عن طلب عروض مفتوح مع اشتراط قدرات دنيا /////***
موضوع: انجاز فضاء ترفيهي ببلدية الحدادة
عدد الصفحات: 1/4
الاعلان عن طلب عرض وطني مفتوح مع اشتراط قدرات دنيا رقم 04/2026
الزبون: مديرية التعمير الهندسة المعمارية والبناء ولاية ان قزام
النوع: الاعلان عن طلب عرض وطني مفتوح مع اشتراط قدرات دنيا رقم 04/2026
موضوع: انجاز اشغال الطرق والشبكات المختلفة لمنطقتي النشاط المصغرة …
عدد الصفحات: 1/4
اعلان عن طلب العروض الوطني المفتوح مع اشتراط قدرات دنيا رقم 09/2026
الزبون: مديرية الأشغال العمومية لولاية ورقلة
النوع: اعلان عن طلب العروض الوطني المفتوح مع اشتراط قدرات دنيا رقم 09/2026
موضوع: تنفيذ التهيئة الحضرية بجوار ثانوية أبي يعقوب يوسف الورجلاني …
عدد الصفحات: 1/4
AVIS D'APPEL D'OFFRE NATIONAL OUVERTN° 04 / 2026
الزبون: WILAYA DE RELIZANE DAIRA DE ZEMMORA COMMUNE DE ZEMMORA
النوع: AVIS D'APPEL D'OFFRE NATIONAL OUVERTN° 04 / 2026
موضوع: Réalisations d’un réseau d'assainissement, du Douar Oulad Yahia - La première tranche– commune de Zemmor
عدد الصفحات: 1/4
Avis D’appel d’offres ouvert avec exigence de capacités minimales N° 01/2026
الزبون: Relizane Wilaya de Commune de Dar Ben Abdellah
النوع: Avis D’appel d’offres ouvert avec exigence de capacités minimales N° 01/2026
موضوع: Travaux d’aménagement urbain au agglomération secondaire al ch’hairia
عدد الصفحات: 1/4
AVIS D'APPEL D'OFFRE NATIONAL OUVERT AVEC EXIGENCE DE CAPACITE MINIMALE /////*****
الزبون: Wilaya de Tiaret Daïra d’Ain kermès Commune de sidi Abderrahmane
النوع: AVIS D'APPEL D'OFFRE NATIONAL OUVERT AVEC EXIGENCE DE CAPACITE MINIMALE /////*****
موضوع: Lot-1 : Achèvement des travaux Ouverture de Piste Rurale Reliant Hadba - El jdar sur 04 km Lot-2 : …
عدد الصفحات: 1/4
***AVIS D'ATTRIBUTION PROVISOIRE
الزبون: OPGI AIN TIMOUCHENT
النوع: ***AVIS D'ATTRIBUTION PROVISOIRE
موضوع: .
عدد الصفحات: 1/4
الأربعاء 11 فيفري 2026
إعلان عن الإسناد المؤقت لطلب العروض الوطني المفتوح رقم 2025/32
الزبون: المديرية العامة للأمن الوطني
النوع: إعلان عن الإسناد المؤقت لطلب العروض الوطني المفتوح رقم 2025/32
موضوع: اقتناء ثلاث رخص
عدد الصفحات: 1/4
طلب عروض وطني مفتوح مع اشتراط قدرات دنيا رقم 04/2026
الزبون: الجزائرية للطرق السيارة
النوع: طلب عروض وطني مفتوح مع اشتراط قدرات دنيا رقم 04/2026
موضوع: استكمال أشغال الطريق الرابط بين ميناء تنس والطريق السيار شرق-غرب …
عدد الصفحات: 1/2
APPEL D’OFFRES NATIONAL OUVERT AVEC EXIGENCE DE CAPACITE MINIMALE:N° ……03…… /2026
الزبون: DIRECTION DES TRAVAUX PUBLICS DE LA WILAYA DE DJELFA
النوع: APPEL D’OFFRES NATIONAL OUVERT AVEC EXIGENCE DE CAPACITE MINIMALE:N° ……03…… /2026
موضوع: Construction d’un Ouvrage d’art sur RN 1B au PK 40 000
عدد الصفحات: 1/4
إعلان على إنتقاء أولي المسابقة في الهندسة المعمارية الوطنية المحدودة رقم 74/2025
الزبون: المديرية العامة للأمن الوطني
النوع: إعلان على إنتقاء أولي المسابقة في الهندسة المعمارية الوطنية المحدودة رقم 74/2025
موضوع: المسابقة في الهندسة المعمارية الوطنية المحدودة رقم 74/2025
عدد الصفحات: 1/2
APPEL D'OFFRES NATIONAL OUVERT AVEC EXIGENCES DE CAPACITES MINIMALES N° Æ02
الزبون: UNIVERSITE DES SClENCES ET DE LA TECHNOLOGIE HOUARI BOUMEDIENE
النوع: APPEL D'OFFRES NATIONAL OUVERT AVEC EXIGENCES DE CAPACITES MINIMALES N° Æ02
موضوع: ACQUISITION INSTALATION ET MISE EN SERVICE DES EQUIPEMENTS SCIENTIFIQUES POUR LE CENTRE DE RECHERCHE EN NANOSCIENCES ET …
عدد الصفحات: 1/4
**MISE EN DEMEURE N°01
الزبون: Direction des Equipements Publics de La Wilaya de Biskra
النوع: **MISE EN DEMEURE N°01
موضوع: la réalisation d’un CEM type 6/200 repas à Biskra (cité 1187 logements), lot n°06 : logements de fonction …
عدد الصفحات: 1/4
AVIS D’APPEL D’OFFRES NATIONAL OUVERT AVEC EXIGENCE DE CAPACITÉS MINIMALES N° 02/DOT/SDFS/DAL/SA/2026
الزبون: Direction Opérationnelle des Télécommunications de Biskra
النوع: AVIS D’APPEL D’OFFRES NATIONAL OUVERT AVEC EXIGENCE DE CAPACITÉS MINIMALES N° 02/DOT/SDFS/DAL/SA/2026
موضوع: Contrat à commandes d’adhésion travaux de développement du réseau de distribution optique (ODN) et …
عدد الصفحات: 1/2
إعلان عن تمديد الأجال طلب عروض وطنية ودولية رقم 10/2025/18
الزبون: جيزي
النوع: إعلان عن تمديد الأجال طلب عروض وطنية ودولية رقم 10/2025/18
موضوع: CONVERGENT CORE SOLUTION FOR IMS/VOLTE
عدد الصفحات: 1/4
CONCOURS NATIONAL D’ARCHITECTURE RESTREINT MISSION ETUDES et SUIVI
الزبون: DIRECTION DES EQUIPEMENTS PUBLICS DE LA WILAYA DE SOUK-AHRAS
النوع: CONCOURS NATIONAL D’ARCHITECTURE RESTREINT MISSION ETUDES et SUIVI
موضوع: ETUDE ET SUIVI POUR LA RÉALISATION D’UNE BRIGADE DE GENDARMERIE AU NIVEAU DU POLE URBAIN REZGOUNE COMMUNE DE …
عدد الصفحات: 1/2
AVIS D'INFRUCTUOSITE*
الزبون: SERVICE DE LA PLANIFICATION ET SUIVI DES PROGRAMMES DE DEVELOPPEMENT
النوع: AVIS D'INFRUCTUOSITE*
موضوع: REALISATION DES TRAVAUX DE LA REHABILITATION DE LA SALLE D'HONNEUR DE L'AEROPORT INTERNATIONAL ECHAHID MOSTAFA BEN …
عدد الصفحات: 1/4
ثاني إعلان عن طلب عروض مفتوح مع اشتراط قدرات دنيا رقم 01/ 2026
الزبون: مديرية التجهيزات العمومية ولاية أم البواقي
النوع: ثاني إعلان عن طلب عروض مفتوح مع اشتراط قدرات دنيا رقم 01/ 2026
موضوع: دراسة، متابعة وانجاز مدرسة ابتدائية نوع 1 ببلدية الجازية مركز
عدد الصفحات: 1/2
2eme mise en demeure à l’entreprise DAMENE Boumedienne avant la résiliation
الزبون: Wilaya de Mostaganem Direction des Equipements Publics
النوع: 2eme mise en demeure à l’entreprise DAMENE Boumedienne avant la résiliation
موضوع: Réalisation d’un collège type B6 au niveau du site des 4359logements, au pôle d’excellence, commune de …
عدد الصفحات: 1/4
***AVIS D’INFRUCTUOSITE
الزبون: DIRECTION DES ÉQUIPEMENTS PUBLICS DE LA WILAYA DE TLEMCEN
النوع: ***AVIS D’INFRUCTUOSITE
موضوع: Etude Réalisation et Equipement d'une Polyclinique à HAI ROSTOMYENE
عدد الصفحات: 1/4
**إعلان عن المنح المؤقت للصفقة
الزبون: بلدية الفراقيق ولاية معسكر
النوع: **إعلان عن المنح المؤقت للصفقة
موضوع: انجاز أبار ببلدية الفراقيق
عدد الصفحات: 1/4
إعلان طلب العروض المفتوح مع اشتراط قدرات دنيا رقم 01/2026
الزبون: مركز التكوين المهني والتمهين بشير عبد القادر بوقيرات ولاية مستغانم
النوع: إعلان طلب العروض المفتوح مع اشتراط قدرات دنيا رقم 01/2026
موضوع: اشغال التهيئة والترميم واعادة التصليح على مستوى مركز التكوين …
عدد الصفحات: 1/4
الثلاثاء 10 فيفري 2026
اعلان عن طلب عروض وطني مفتوح رقم 07/2026
الزبون: المديرية العامة للأمن الوطني
النوع: اعلان عن طلب عروض وطني مفتوح رقم 07/2026
موضوع: تصليح أجهزة التبريد المركبة على مستوى مصالح الشرطة التابعة …
عدد الصفحات: 1/2
إعلان عن طلب عروض وطني مفتوح رقم 08/2026
الزبون: المديرية العامة للأمن الوطني
النوع: إعلان عن طلب عروض وطني مفتوح رقم 08/2026
موضوع: تعبئة وتصليح تجهيزات الدفاع ضد الحرائق لفائدة مصالح الشرطة …
عدد الصفحات: 1/2
إعلان طلب عروض وطني مفتوح مع اشتراط قدرات دنيا رقم 09/2026
الزبون: وكالة عدل
النوع: إعلان طلب عروض وطني مفتوح مع اشتراط قدرات دنيا رقم 09/2026
موضوع: انجاز 1800 مسكن بيع بالايجار بكل مراحله مع محلات ذات طابع تجاري …
عدد الصفحات: 3/4
اعلان عن منح مؤقت بعد الغاء المنح المؤقت مسابقة وطنية محدودة للهندسة المعمارية رقم 03/2025
الزبون: مديرية التجهيزات العمومية لولاية بني عباس ولاية بني عباس
النوع: اعلان عن منح مؤقت بعد الغاء المنح المؤقت مسابقة وطنية محدودة للهندسة المعمارية رقم 03/2025
موضوع: دراسة ومتابعة لانجاز دار الثقافة ببني عباس
عدد الصفحات: 1/4
AVIS D'ATTRIBUTION PROVISOIRE ///
الزبون: COMMUNE DE BENI MERED WILAYA DE BLIDA
النوع: AVIS D'ATTRIBUTION PROVISOIRE ///
موضوع: aménagement et revetement divers quartier khazrouna beni mered
عدد الصفحات: 1/4
***إعلان عن طلب عروض وطني مفتوح مع اشتراط قدرات دنيا رقم 01/2026
الزبون: مديرية الصحة والسكان لولاية الوادي
النوع: ***إعلان عن طلب عروض وطني مفتوح مع اشتراط قدرات دنيا رقم 01/2026
موضوع: اقتناء تجهيزات لفائدة مدرسة التكوين شبه الطبي بالوادي
عدد الصفحات: 1/2
***إعلان عن طلب عروض مفتوح مع اشتراط قدرات دنيا
الزبون: مديرية الأشغال العمومية لولاية سيدي بلعباس
النوع: ***إعلان عن طلب عروض مفتوح مع اشتراط قدرات دنيا
موضوع: صيانة الطرق الولائية برنامج 2026
عدد الصفحات: 3/4
اعلان عن طلب العروض المفتوح مع اشتراط قدرات دنيا *****
الزبون: بلدية بني درفن
النوع: اعلان عن طلب العروض المفتوح مع اشتراط قدرات دنيا *****
موضوع: ربط دواوير الرغايدية بشبكة المياه الصالحة للشرب انطلاقا من …
عدد الصفحات: 1/4
إعلان عن المنح المؤقت لطلب العروض الوطني المفتوح رقم 2026/01
الزبون: المؤسسة العمومية الإستشفائية محمد مداحي فرجيوة
النوع: إعلان عن المنح المؤقت لطلب العروض الوطني المفتوح رقم 2026/01
موضوع: تموين المؤسسة بالمواد التغذية
عدد الصفحات: 1/2
AVIS D'APPEL D'OFFRE OUVERT AVEC EXIGENCE DE CAPCITE MINIMALES N 02/2026
الزبون: COMMUNE D'EL KENNAR NOUCHFI
النوع: AVIS D'APPEL D'OFFRE OUVERT AVEC EXIGENCE DE CAPCITE MINIMALES N 02/2026
موضوع: REPARATION DES ROUTES D'EL KENNAR SUR UNE DISTANCE DE 1000 ML
عدد الصفحات: 1/4
AVIS D'APPEL D'OFFRE OUVERT AVEC EXIGENCE DE CAPACITE MINIMALES N 01/2026
الزبون: COMMUNE DE ROKNIA WILAYA DE GUELMA
النوع: AVIS D'APPEL D'OFFRE OUVERT AVEC EXIGENCE DE CAPACITE MINIMALES N 01/2026
موضوع: .
عدد الصفحات: 1/2
الإثنين 09 فيفري 2026
//*AVIS D'ATTRIBUTION PROVISOIRE*/
الزبون: DIRECTION DE L'HYDRAULIQUE DE LA WILAYA DE BOUMERDES
النوع: //*AVIS D'ATTRIBUTION PROVISOIRE*/
موضوع: Réalisation de la conduite de refoulement: station de pompage Gounni-réservoir de tété koudeit el kahla.
عدد الصفحات: 1/4
إعلان عن منح مؤقت خاص باعلان عن مناقصة وطنية مفتوحة مع اشتراط قدرات دنيا رقم 01/2025
الزبون: بلدية ذراع الميزان ولاية تيزي وزو
النوع: إعلان عن منح مؤقت خاص باعلان عن مناقصة وطنية مفتوحة مع اشتراط قدرات دنيا رقم 01/2025
موضوع: تموين المطاعم المدرسية بالمواد الغذائية سنة 2026
عدد الصفحات: 1/4
إعلان عن طلب العروض المفتوح مع اشتراط قدرات دنيا رقم 05/2026
الزبون: مديرية التجهيزات العمومية لولاية برج بوعريريج
النوع: إعلان عن طلب العروض المفتوح مع اشتراط قدرات دنيا رقم 05/2026
موضوع: مراقبة نوعية أشغال
عدد الصفحات: 1/2
طلب عروض مفتوح مع اشتراط قدرات دنيا ////
الزبون: مديرية الري لولاية البليدة
النوع: طلب عروض مفتوح مع اشتراط قدرات دنيا ////
موضوع: اشغال تجديد شبكات التوزيع للمياه الصالحة للشرب لبلدية الأربعاء
عدد الصفحات: 1/2
اعذار رقم : 02/2026
الزبون: مديرية التعمير زالهندسة المعمارية والبناء لولاية إليزي
النوع: اعذار رقم : 02/2026
موضوع: اشغال التحسين الحضري وفتح المسالك عبر بلدية اليزي
عدد الصفحات: 1/4
appel d'offre national ouvert avec exigence de capacites minil*mùales n 01/22026
الزبون: etablissement public de sant de proimité de sidi aich
النوع: appel d'offre national ouvert avec exigence de capacites minil*mùales n 01/22026
موضوع: .
عدد الصفحات: 1/2
إعلان عن مناقصة وطنية مفتوحة رقم 02/2026
الزبون: المديرية العملياتية لاتصالات الجزائر بأم البواقي
النوع: إعلان عن مناقصة وطنية مفتوحة رقم 02/2026
موضوع: اشغال الربط النهائي للزبائن بواسطة الألياف البصرية
عدد الصفحات: 1/2
*/اعلان عن منح مؤقت للصفقة
الزبون: بلدية فم الطوب ولاية باتنة
النوع: */اعلان عن منح مؤقت للصفقة
موضوع: .
عدد الصفحات: 1/4
avis d'annulation du concours national d'architecture
الزبون: direction regional de constantine aadl
النوع: avis d'annulation du concours national d'architecture
موضوع: .
عدد الصفحات: 1/4
avis d'annulation du concours national d'architectutr
الزبون: direction regional de constantine aadl
النوع: avis d'annulation du concours national d'architectutr
موضوع: .
عدد الصفحات: 1/4
الاعلان عن طلب عروض وطني مفتوح مع اشتراط قدرات دنيا ******
الزبون: مديرية الاشغال الععمومية لولاية سوق اهراس
النوع: الاعلان عن طلب عروض وطني مفتوح مع اشتراط قدرات دنيا ******
موضوع: المراقبة التقنية لاشغال
عدد الصفحات: 1/2
اعلان عن منح مؤقت لصفقة //////
الزبون: مديرية التعمير والهندسة المعمارية والبناء لولاية وهران
النوع: اعلان عن منح مؤقت لصفقة //////
موضوع: مشروع أشغال تزويد المياه الصالحة للشرب 5000 مسكن عدل 3 القطب …
عدد الصفحات: 1/4
Avis D'appel D'offres National Ouvert N° 02/2026 avec Exigence de capacité minimales
الزبون: IARET DAIRA DE SOUGUEUR COMMUNE DE TOUSNINA
النوع: Avis D'appel D'offres National Ouvert N° 02/2026 avec Exigence de capacité minimales
موضوع: 01 - Suivi et Ouverture de la Piste Reliant zone Gigueb et chemin communale ain Oum el kheir sur une distance …
عدد الصفحات: 1/4
AVIS D’APPEL D’OFFRES NATIONAL OUVERT AVEC EXIGENCE DES CAPACITES MINIMALE DEP/ 68 /2025
الزبون: DIRECTION DES EQUIPEMENTS PUBLICS De la Wilaya de Tlemcen
النوع: AVIS D’APPEL D’OFFRES NATIONAL OUVERT AVEC EXIGENCE DES CAPACITES MINIMALE DEP/ 68 /2025
موضوع: ETUDE, SUIVI, CONSTRUCTION ET EQUIPEMENT DE 50 SALLES EN EXTENSION A TRAVERS la WILAYA POUR LA REALISATION DU LOT …
عدد الصفحات: 1/2
الأحد 08 فيفري 2026
اعلان عن طلب عروض وطني مفتوح مع اشتراط قدرات دنيا رقم 01/ 2026
الزبون: مديرية التعمير، الهندسة المعمارية والبناء لولاية اولاد جلال
النوع: اعلان عن طلب عروض وطني مفتوح مع اشتراط قدرات دنيا رقم 01/ 2026
موضوع: انجاز اشغال الطرق والشبكات المختلفة الاولية والثانوية ل 1100 100 …
عدد الصفحات: 1/2
اعلان عن طلب عروض وطني مفتوح مع اشتراط قدرات دنيا رقم 03/2026
الزبون: المديرية العامة للأمن الوطني
النوع: اعلان عن طلب عروض وطني مفتوح مع اشتراط قدرات دنيا رقم 03/2026
موضوع: انجاز اشغال وترميم المباني الخاصة بالامن الوطني اختصاص اقليم …
عدد الصفحات: 1/2
***Avis d'attribution provisoire**/*
الزبون: Direction d'administration locale wilaya d'ilizi
النوع: ***Avis d'attribution provisoire**/*
موضوع: fournir les denrées alimentaires les événements spéciales et les journées nationaux fériés pour l’année 2025
عدد الصفحات: 1/4
AVIS D’ATTRIBUTION PROVISOIRE //
الزبون: DIRECTION DES EQUIPEMENTS PUBLICS WILAYA DE BATNA
النوع: AVIS D’ATTRIBUTION PROVISOIRE //
موضوع: ETUDE ET SUIVI POUR LA REALISATION D’UNE ECOLE PRIMAIRE TYPE 2 AU NIVEAU DE LA CITE LAARARA 388 LOGEMENTS …
عدد الصفحات: 1/4
إعلان عن منح مؤقت /*/
الزبون: مديرية التجهيزات العمومية لولاية الشلف
النوع: إعلان عن منح مؤقت /*/
موضوع: دراسة ومتابعة لانجاز مدرسة ابتدائية نوع 2 على مستوى موقع LPL200 LPA160 …
عدد الصفحات: 1/4
إعلان عن طلب عروض وطنية مفتوح مع اشتراط قدرات دنيا بعد عدم جدوى الإعلان الثاني رقم 06/2026
الزبون: ديوان الترقية والتسيير العقاري للبويرة
النوع: إعلان عن طلب عروض وطنية مفتوح مع اشتراط قدرات دنيا بعد عدم جدوى الإعلان الثاني رقم 06/2026
موضوع: انجاز اشغال مشروع 40 مسكن ترقوي مدعم LPA2 ومحلات تجارية بسور الغزلان
عدد الصفحات: 3/4
الإعذار الأول//
الزبون: ديوان الترقية والتسيير العقاري للمدية
النوع: الإعذار الأول//
موضوع: انجاز 30 مسكن عمومي ايجاري بما فيه الطرق والشبكات المختلفة بخمس …
عدد الصفحات: 1/4
AVIS D’APPEL D’OFFRES NATIONAL OUVERT AVEC EXIGENCE DE CAPACITES MINIMALE N°38/DTP/ 5
الزبون: DIRECTION DES TRAVAUX PUBLICS DE LA WILAYA DE GUELMA
النوع: AVIS D’APPEL D’OFFRES NATIONAL OUVERT AVEC EXIGENCE DE CAPACITES MINIMALE N°38/DTP/ 5
موضوع: ENTRETIEN DES CHEMINS DE WILAYA ANNÉE 2026
عدد الصفحات: 1/2
/*اعلان عن منح مؤقت للصفقات
الزبون: مديرية التكوين والتعليم المهنيين لولاية سكيكدة
النوع: /*اعلان عن منح مؤقت للصفقات
موضوع: اقتناء تجهيز العتاد المدرسي، المصالح المشتركة لمركزي التكوين …
عدد الصفحات: 1/4
MISE EN DEMEURE */*/
الزبون: DIRECTION DES EQUIPEMENTS PUBLICS DE LA WILAYA DE CONSTANTINE
النوع: MISE EN DEMEURE */*/
موضوع: realisation d'une annexe maison de culture lot n 01 annexe el khroub
عدد الصفحات: 1/4
إعلان عن منح مؤقت للصفقة */*/
الزبون: الشركة التابعة حبوب الزيبان القنطرة - بسكرة-
النوع: إعلان عن منح مؤقت للصفقة */*/
موضوع: اقتناء أكياس التعبئة من نوع بوليبروبيلان العادي سعة 25 كلغ …
عدد الصفحات: 1/4
*/*/AVIS D’ATTRIBUTION PROVISOIRE
الزبون: CENTRE HOSPITALO –UNIVERSITAIRE D’ORAN
النوع: */*/AVIS D’ATTRIBUTION PROVISOIRE
موضوع: prestation de nettoyage et d’entretien pour l’année 2026 en 04 lots au profit du centre hospitalier …
عدد الصفحات: 1/4
Avis d’Appel d’Offre National Ouvert avec exigence de capacité minimale N°06/2026
الزبون: Commune d’ARZEW WILAYAD'ORAN
النوع: Avis d’Appel d’Offre National Ouvert avec exigence de capacité minimale N°06/2026
موضوع: AMÉNAGEMENT URBAIN EX DU BÂTIMENT DE LA GARE FERROVIERS VERS SIÈGE DE LA GENDARMERIE NATIONALE
عدد الصفحات: 1/4
AVIS D’ATTRIBUTION PROVISOIRE /*/
الزبون: WILAYA DE MASCARA DAIRA DE TIZI COMMUNE DE FROHA
النوع: AVIS D’ATTRIBUTION PROVISOIRE /*/
موضوع: REALISATION D’UN BLOC ADMINISTRATIVE EXTENSIBLE AU FROHA CENTRE (1er TRANCHE)
عدد الصفحات: 1/4
Avis d’Appel d’Offre National Ouvert avec Exigence de Capacités Minimales N°03. /2026
الزبون: Direction de l’hydraulique Wilaya de Relizane
النوع: Avis d’Appel d’Offre National Ouvert avec Exigence de Capacités Minimales N°03. /2026
موضوع: Raccordement du réseau d'alimentation en eau potable Des Douars Touta, Ouled Ouadah ,Louabed et O/Benyamina Commune …
عدد الصفحات: 1/4
السبت 07 فيفري 2026
*إعلان عن طلب عروض مفتوح مع اشتراط قدرات دنيا رقم 01/2026
الزبون: بلدية بئر الذهب ولاية تبسة
النوع: *إعلان عن طلب عروض مفتوح مع اشتراط قدرات دنيا رقم 01/2026
موضوع: حماية بئر الذهب مركز من الفيضانات بما فيها المراقبة التقنية …
عدد الصفحات: 1/4
//AVIS D'ATTRIBUTION PROVISOIRE*/
الزبون: OFFICE DE PROMOTION ET DE GESTION IMMOBILIERE DE SOUK AHRAS
النوع: //AVIS D'ATTRIBUTION PROVISOIRE*/
موضوع: REALISATION DU RESTE A REALISER DU LOT N 01 LA REALISATION EN TCE DES 60/100/500 LPL VRD DES 100 LOGTS A SDRAT
عدد الصفحات: 1/4
**/إعلان عن طلب عروض وطني مفتوح مع اشتراط قدرات دنيا رقم 01/2026
الزبون: بلدية أولاد عوف ولاية باتنة
النوع: **/إعلان عن طلب عروض وطني مفتوح مع اشتراط قدرات دنيا رقم 01/2026
موضوع: تهيئة وتعبيد الطرق عبر إقليم البلدية
عدد الصفحات: 1/4
*/إعلان عن ثاني طلب عروض وطني مفتوح مع اشتراط قدرات دنيا رقم 01/2026
الزبون: ديوان الترقية والتسيير العقاري لولاية قسنطينة
النوع: */إعلان عن ثاني طلب عروض وطني مفتوح مع اشتراط قدرات دنيا رقم 01/2026
موضوع: انجاز اشغال كل هياكل الدولة ل 100 مسكن ترقوي مدعم مع 20 محل تجاري و8 …
عدد الصفحات: 1/2
اعلان عن طلب عروض مفتوح مع اشتراط قدرات دنيا /*
الزبون: بلدية أولاد رحمون ولاية قسنطينة
النوع: اعلان عن طلب عروض مفتوح مع اشتراط قدرات دنيا /*
موضوع: انجاز الطريق الرابط الحي البلدي القراح ومزرعة لعباعب على مسافة 1.8 …
عدد الصفحات: 1/4
إعلان عن طلب عروض وطني مفتوح مع اشتراط قدرات دنيا رقم 03/2026
الزبون: مديرية الري لولاية تيارت
النوع: إعلان عن طلب عروض وطني مفتوح مع اشتراط قدرات دنيا رقم 03/2026
موضوع: انجاز تجهيز جلب الطاقة، هندسة مدنية وقتوات جر 4000 م ط من التنقيبات …
عدد الصفحات: 3/4
AVIS D’APPEL D’OFFRES OUVERT AVEC EXIGENCE DE CAPACITES MINIMALES N°02 /2026
الزبون: WILAYA DE SIDI BEL ABBES DIRECTION DE L’INDUSTRIE
النوع: AVIS D’APPEL D’OFFRES OUVERT AVEC EXIGENCE DE CAPACITES MINIMALES N°02 /2026
موضوع: Réalisation d'une zone industrielle à Ras El Ma, wilaya de Sidi Bel Abbes (Tranche 2)
عدد الصفحات: 1/4
اعلان عن منح مؤقت */
الزبون: بلدية شبلي ولاية البليدة
النوع: اعلان عن منح مؤقت */
موضوع: تهيئة وتعبيد شارع معراش عبد القادر
عدد الصفحات: 1/4
اعلان عن طلب عروض وطني مفتوح رقم 61/2025
الزبون: المديرية العامة للأمن الوطني
النوع: اعلان عن طلب عروض وطني مفتوح رقم 61/2025
موضوع: اقتناء لوازم الرياضة
عدد الصفحات: 1/2
إعلان عن إسناد مؤقت للمشروع
الزبون:
النوع: إعلان عن إسناد مؤقت للمشروع
موضوع: تتمة أشغال تقوية المدرج الرئيسي وملاحقه لمطار تندوف
عدد الصفحات: 1/4
إعلان عن طلب عروض وطني مفتوح رقم 62/2025
الزبون: المديرية العامة للأمن الوطني
النوع: إعلان عن طلب عروض وطني مفتوح رقم 62/2025
موضوع: اقتناء مختلف لوازم الألبسة
عدد الصفحات: 1/2
إعلان عن منح مؤقت لصفقة
الزبون: بلدية الحوامد ولاية مسيلة
النوع: إعلان عن منح مؤقت لصفقة
موضوع: صيانة الطريق الرابط بين طريق لمريق ومعيزة على مسافة 03 كلم
عدد الصفحات: 1/4
APPEL D’OFFRES NATIONAL OUVERT AVEC EXIGENCE DE CAPACITES MINIMALES N° ....01......./ C.H.U. – T.O. /2026
الزبون: CENTRE HOSPITALO-UNIVERSITAIREDE TIZI-OUZOU
النوع: APPEL D’OFFRES NATIONAL OUVERT AVEC EXIGENCE DE CAPACITES MINIMALES N° ....01......./ C.H.U. – T.O. /2026
موضوع: la fourniture des denrées alimentaires.
عدد الصفحات: 3/4
الخميس 05 فيفري 2026
AVIS D'ATTRIBUTI0N PROVISOIRE*/
الزبون: DIRECTION DE LA PROTECTI0N CIVILE DE LA WILAYA DE M'SILA
النوع: AVIS D'ATTRIBUTI0N PROVISOIRE*/
موضوع: réhabilitation des structures de la protection civile a m'sila
عدد الصفحات: 1/4
Avis D'attribution Provisoire /*
الزبون: Direction des Équipements Publics De La Wilaya D'Illizi
النوع: Avis D'attribution Provisoire /*
موضوع: Réalisation d'unesureté urbains au niveau du pos 15 commune d’Illizi –willaya d’Illizi (tout corps …
عدد الصفحات: 1/4
اعلان عن مناقصة وطنية مفتوحة مع اشتراط قدرات دنيا رقم 04/2026
الزبون: مديرية التجهيزات العمومية لولاية بجاية
النوع: اعلان عن مناقصة وطنية مفتوحة مع اشتراط قدرات دنيا رقم 04/2026
موضوع: .
عدد الصفحات: 1/4
AVIS D’APPEL D’OFFRES NATIONAL OUVERT AVEC EXIGENCE DE CAPACITES MINIMALES N°29/DRAE/AADL/2026
الزبون: AGENCE NATIONALE DE L’AMELIORATION ET DU DEVELOPPEMENT DU LOGEMENT -AADL - DIRECTION REGIONALE D
النوع: AVIS D’APPEL D’OFFRES NATIONAL OUVERT AVEC EXIGENCE DE CAPACITES MINIMALES N°29/DRAE/AADL/2026
موضوع: la réalisation des travaux de confortement et de stabilité du projet des 492/1000 logements (location-vente) au …
عدد الصفحات: 1/2
/*إعلان عن طلب عروض وطني مفتوح مع اشتراط قدرات دنيا رقم 02/2026
الزبون: المديرية العامة للأمن الوطني
النوع: /*إعلان عن طلب عروض وطني مفتوح مع اشتراط قدرات دنيا رقم 02/2026
موضوع: القيام بأشغال الحفر وتهيئة تسعة حواجز مختلفة لمسلك المقاتل …
عدد الصفحات: 1/2
اعلان عن طلب عروض وطني مفتوح رقم 42/2025
الزبون: المديرية العامة للأمن الوطني
النوع: اعلان عن طلب عروض وطني مفتوح رقم 42/2025
موضوع: اقتناء المعدات والملحقات المخبرية
عدد الصفحات: 1/2
AVIS DE PROROGATION DES DELAIS DE PREPATION DES OFFRES CONCOURS RESTREINT
الزبون: DIRECTION DE LA FORMATION ET DE L'ENSEIGNEMENT PROFESSIONNELS WILAYA DE OUM ELBOUAGHI
النوع: AVIS DE PROROGATION DES DELAIS DE PREPATION DES OFFRES CONCOURS RESTREINT
موضوع: ETUDE POUR LA REALISATION D'UN CENTRE DE FORMATION PROFESSIONNELLE ET D'APPRENTISSAGE 300 PF / 60 LITS A KSEUR SEBIHI …
عدد الصفحات: 1/4
AVIS D ’INFRUCTUEUSE//**
الزبون: WILAYA DE BIKRACOMMUNE DE MCHOUNECHE
النوع: AVIS D ’INFRUCTUEUSE//**
موضوع: Revêtements des Rues dans les quartiers de M’chounèche et baniane
عدد الصفحات: 1/4
/*إعلان عن منح مؤقت للصفقة */
الزبون: الشركة القابضة
النوع: /*إعلان عن منح مؤقت للصفقة */
موضوع: اقتناء، تركيب اختبار وتشغيل أربع محولات كهربائية
عدد الصفحات: 1/4
اعلان عن مسابقة وطنية محدودة رقم 01/2025
الزبون: المديرية الجهوية للجمارك بعنابة
النوع: اعلان عن مسابقة وطنية محدودة رقم 01/2025
موضوع: دراسة ومتابعة من اجل انجاز مخزن للبضائع مع قاعة البيع بالمزاد …
عدد الصفحات: 1/2
/*اعلان عن منح مؤقت رقم 02/2026
الزبون: بلدية النزلة ولاية توقرت
النوع: /*اعلان عن منح مؤقت رقم 02/2026
موضوع: اعادة تأهيل قناة الضخ لحي النصر النزلة على مسافة 1200 م ط
عدد الصفحات: 1/4
اعلان عن طلب العروض الوطني المفتوح مع اشتراط قدرات دنيا رقم 03/2026
الزبون: بلدية سيدي طيفور ولاية البيض
النوع: اعلان عن طلب العروض الوطني المفتوح مع اشتراط قدرات دنيا رقم 03/2026
موضوع: انجاز مكتب بريدي بسيدي طيفور
عدد الصفحات: 1/4
AVIS D’ANNULATION DE LA PROCEDURE DE CONCOURS NATIONAL D’ARCHITECTURE RESTREINT N° 10 /2026
الزبون: DIRECTION DES EQUIPEMENT PUBLICS DE LA WILAYA DE SIDI BEL ABBES
النوع: AVIS D’ANNULATION DE LA PROCEDURE DE CONCOURS NATIONAL D’ARCHITECTURE RESTREINT N° 10 /2026
موضوع: L’ETUDE ET SUIVI POUR LA REALISATION D’UN COLLEGE TYPE 06 AU NIVEAU DU SITE 400 LLV 1630 LPL ROUTE DE SFISEF …
عدد الصفحات: 1/4
الغاء اجراء المسابقة الوطنية المعمارية المحدودة رقم 07/2026
الزبون: مديرية التجهيزات العمومية لولاية سيدي بلعباس
النوع: الغاء اجراء المسابقة الوطنية المعمارية المحدودة رقم 07/2026
موضوع: دراسة ومتابعة لانجاز مدرسة ابتدائية نمط 02 على مستوى الموقع LVV 490 …
عدد الصفحات: 1/4
Avis d’Appel d’Offres national ouvert avec exigence de capacités minimales N° 03/2026.
الزبون: DIRECTION DES TRAVAUX PUBLICS DE LA WILAYA DE TLEMCEN
النوع: Avis d’Appel d’Offres national ouvert avec exigence de capacités minimales N° 03/2026.
موضوع: renforcement de la RN22B à Beni Smeil du PK 15 000 au PK 24 000 sur 09Km (W.Tlemcen)
عدد الصفحات: 1/2
الأربعاء 04 فيفري 2026
إعلان عن طلب عروض وطني مفتوح رقم 03/2026
الزبون: المديرية العامة للأمن الوطني
النوع: إعلان عن طلب عروض وطني مفتوح رقم 03/2026
موضوع: اشغال صيانة وتصليح التدفئة المركزية والسباكة الصحية لفائدة …
عدد الصفحات: 3/4
إعذار رقم 01//
الزبون: مديرية الأشغال العمومية لولاية بسكرة
النوع: إعذار رقم 01//
موضوع: اعادة الاعتبار للطريق بما فيها التحسين الحضري بوسط مدينة بسكرة
عدد الصفحات: 1/4
اعلان عن طلب عروض وطني مفتوح رقم 67/2025
الزبون: المديرية العامة للأمن الوطني
النوع: اعلان عن طلب عروض وطني مفتوح رقم 67/2025
موضوع: اقتناء المنتجات الخاصة بطب الأسنان
عدد الصفحات: 1/2
إعلان عن الإسناد المؤقت لطلب العروض الوطني المفتوح مع اشتراط قدرات دنيا رقم 40/2025
الزبون: المديرية العامة للأمن الوطني
النوع: إعلان عن الإسناد المؤقت لطلب العروض الوطني المفتوح مع اشتراط قدرات دنيا رقم 40/2025
موضوع: اقتناء ستة ألاف خزانة لتبديل الملابس
عدد الصفحات: 1/2
اعلان عن منح مؤقت رقم 02/2026
الزبون: مديرية التجهيزات العمومية ولاية بومرداس
النوع: اعلان عن منح مؤقت رقم 02/2026
موضوع: دراسة ومتابعة انجاز متوسطة نوع 6 على مستوى القطب الحضري سيدي حلو …
عدد الصفحات: 1/4
إعلان عن منح مؤقت للصفقة/*/
الزبون: مديرية التجهيزات العمومية لولاية أدرار
النوع: إعلان عن منح مؤقت للصفقة/*/
موضوع: دراسة ومتابعة من اجل انجاز ثانوية نمط 1000 على مستوى موقع الحافظ …
عدد الصفحات: 1/4
AVIS D’APPEL D’OFFRES NATIONAL OUVERT AVEC EXIGENCE DE CAPACITES MINIMALE N°29/DTP/2022 Après la résiliation
الزبون: DIRECTION DES TRAVAUX PUBLICS DE LA WILAYA DE GUELMA
النوع: AVIS D’APPEL D’OFFRES NATIONAL OUVERT AVEC EXIGENCE DE CAPACITES MINIMALE N°29/DTP/2022 Après la résiliation
موضوع: REMISE EN ETAT DES CHEMINS COMMUNAUX ET OUVERTURE DES PISTES A TRAVERS LES COMMUNES : GUELMA, BENDJERRAH, HAMMAM …
عدد الصفحات: 3/4
*/اعلان عن طلب عروض وطني مفتوح مع اشتراط قدرات دنيا رقم 06/2026
الزبون: بلدية عين زعطوط ولاية بسكرة
النوع: */اعلان عن طلب عروض وطني مفتوح مع اشتراط قدرات دنيا رقم 06/2026
موضوع: تكسية الملعب البلدي بالعشب الإصطناعي مع الإضاءة وتهيئة غرف …
عدد الصفحات: 1/4
*/إعلان عن طلب عروض وطني مفتوح مع اشتراط قدرات دنيا رقم*/ 02/2026
الزبون: بلدية ترعي باينان ولاية ميلة
النوع: */إعلان عن طلب عروض وطني مفتوح مع اشتراط قدرات دنيا رقم*/ 02/2026
موضوع: صيانة وتعبيد الطرقات
عدد الصفحات: 1/2
اعادة الإعلان عن طلب ثاني مناقصة وطنية مفتوحة رقم 02/2026 بعد الاعلان عن عدم الجدوى
الزبون: مديرية التجهيزات العمومية ولاية معسكر
النوع: اعادة الإعلان عن طلب ثاني مناقصة وطنية مفتوحة رقم 02/2026 بعد الاعلان عن عدم الجدوى
موضوع: تهيئة المؤسسات التربوية للطور المتوسط
عدد الصفحات: 1/2
طلب عروض وطني مفتوح مع اشتراط قدرات دنيا */*/
الزبون: مديرية التجهيزات العمومية لولاية البيض
النوع: طلب عروض وطني مفتوح مع اشتراط قدرات دنيا */*/
موضوع: دراسة مطابقة من اجل انجاز مطعم مركزي 800 مقعد بالبيض
عدد الصفحات: 1/2
الثلاثاء 03 فيفري 2026
رابع اعلان عن طلب عروض وطني مفتوح مع اشتراط قدرات دنيا رقم 12/2024
الزبون: المديرية العامة للأمن الوطني
النوع: رابع اعلان عن طلب عروض وطني مفتوح مع اشتراط قدرات دنيا رقم 12/2024
موضوع: اصلاح الاعضاء الميكانيكية، الالكترونية والمكونات المقصورة …
عدد الصفحات: 1/2
اعلان عن منح مؤقت لصفقة */*/
الزبون: بلدية بومرداس ولاية بومرداس
النوع: اعلان عن منح مؤقت لصفقة */*/
موضوع: كراء حافلات لنقل المتمدرسين بالابتدائي لسنة 2026
عدد الصفحات: 1/4
AVIS D'ANNULATION AVIS D'APPEL D'OFFRE NATIONAL OUVERT N 10/2025
الزبون: COMMUNE D'AOMAR WILAYA DE BOUIRA
النوع: AVIS D'ANNULATION AVIS D'APPEL D'OFFRE NATIONAL OUVERT N 10/2025
موضوع: AMENAGEMENT URBAIN DE LA VILLE D'AOMAR BOULEVARD RN N 05 1ERE TRANCHE COMMUNE D'AOMAR
عدد الصفحات: 1/4
اعلان عن طلب عروض وطني مفتوح مع اشتراط قدرات دنيا رقم 04/2026
الزبون: المديرية العامة للأمن الوطني
النوع: اعلان عن طلب عروض وطني مفتوح مع اشتراط قدرات دنيا رقم 04/2026
موضوع: انجاز أشغال صيانة المباني لفائدة مصالح الشرطة الممركزة على مستوى …
عدد الصفحات: 3/4
AVIS DE PROROGATION DE DELAI DE L’APPEL D'OFFRES DE PREQUALIFICATION N° 05/2026/OTA/AOP/INDIR
الزبون: Optimum Telecom Algérie s.p.a
النوع: AVIS DE PROROGATION DE DELAI DE L’APPEL D'OFFRES DE PREQUALIFICATION N° 05/2026/OTA/AOP/INDIR
موضوع: Prestation de la vérification préventive et la maintenance curative des extincteurs d’incendie portatifs et …
عدد الصفحات: 1/4
طلب العروض المفتوح مع اشتراط قدرات دنيا
الزبون: مديرية الري ولاية الطارف
النوع: طلب العروض المفتوح مع اشتراط قدرات دنيا
موضوع: انجاز الحماية ضد الفياضانات من اجل مناطق المريديمية بلدية …
عدد الصفحات: 1/2
AVIS D’INFRUCTUOSITE/*
الزبون: DIRECTION DE L’URBANISME ET DE L’ARCHITECTURE ET DE LA CONSTRUCTION DE LA WILAYA D’IN GUEZZAM
النوع: AVIS D’INFRUCTUOSITE/*
موضوع: étude de POS du nouveau pôle urbain à la commune d’In GuezzamLot N° 04: Etude de POS N°01
عدد الصفحات: 1/4
AVIS D’APPEL D’OFFRES NATIONAL OUVERT AVEC EXIGENCE DE CAPACITES MINIMALES N°…02./2026
الزبون: DIRECTION ADMINISTRATION LOCALE DE LA WILAYA D’OUARGLA
النوع: AVIS D’APPEL D’OFFRES NATIONAL OUVERT AVEC EXIGENCE DE CAPACITES MINIMALES N°…02./2026
موضوع: Aménagement et Réhabilitation des Façades au niveau salle de conférence siège wilaya
عدد الصفحات: 1/4
اعلان عن منح مؤقت /*
الزبون: مديرية التجهيزات العمومية ولاية أم البواقي
النوع: اعلان عن منح مؤقت /*
موضوع: دراسة ومتابعة متوسطة نوع 06 بحي بوعكوز بلدية عين البيضاء ولاية أم …
عدد الصفحات: 1/4
APPEL D'OFFRE NATIONAL OUVERT AVEC EXIGENCE MINIMALES 01/2026
الزبون: COMMUNE DE ZEGHAIA WILAYA DE MILA
النوع: APPEL D'OFFRE NATIONAL OUVERT AVEC EXIGENCE MINIMALES 01/2026
موضوع: aménagement la route reliant l'évitement mila et mechtat azzaaroura sur 950 ml
عدد الصفحات: 1/4
avis d'appel d'offres ouvert avec exigence des capacites minimales */*/
الزبون: commune de hamma bouziane wilaya de constantine
النوع: avis d'appel d'offres ouvert avec exigence des capacites minimales */*/
موضوع: realisation reseau routier de la commune 5 eme tranche a cotede oued zeghdoud sur 180 ml a partir la fin de la 4 eme …
عدد الصفحات: 1/2
AVIS D’INFRUCTUOSITE /*/
الزبون: DIRECTION DES TRAVAUX PUBLICS DE LA WILAYA DE RELIZANE
النوع: AVIS D’INFRUCTUOSITE /*/
موضوع: REALISATION D’UN OUVRAGE D’ART SUR LE CW14 (OUED TELATA) AU PK 46 950
عدد الصفحات: 1/4
*/اعلان عن طلب عروض وطني مفتوح مع اشتراط قدرات دنيا رقم 04/2026
الزبون: مديرية الأشغال العمومية لولاية عين تيموشنت
النوع: */اعلان عن طلب عروض وطني مفتوح مع اشتراط قدرات دنيا رقم 04/2026
موضوع: تدعيم الطريق الوطني رقم 96 ما بين مخرج بلدية أغلال ومدخل بلدية عقب …
عدد الصفحات: 1/2
إعلان عن طلب عروض وطني مفتوح مع اشتراط قدرات الدنيا رقم 2026/02
الزبون: بلدية الحشم ولاية معسكر
النوع: إعلان عن طلب عروض وطني مفتوح مع اشتراط قدرات الدنيا رقم 2026/02
موضوع: دراسة ومتابعة وانجاز خمسة قاعات تدريس بدوار الحجر
عدد الصفحات: 1/4
الإثنين 02 فيفري 2026
AVIS D'APPEL D'OFFRES NATIONAL OUVERT AVEC EXIGENCE DE CAPACITES MINIMALES N.05/2026
الزبون: OFFICE NATIONAL DE L'lRRIGATION ET DU DRAINAGE (OMD)
النوع: AVIS D'APPEL D'OFFRES NATIONAL OUVERT AVEC EXIGENCE DE CAPACITES MINIMALES N.05/2026
موضوع: : Actuallsation de I'étude d'aménagement hydro~agricole du périmètre de Remila Ouled Fadhel sur 10 850 ha dans …
عدد الصفحات: 1/4
إعلان عن طلب عروض وطني مفتوح رقم 06/2026
الزبون: المديرية العامة للأمن الوطني
النوع: إعلان عن طلب عروض وطني مفتوح رقم 06/2026
موضوع: توريد، تركيب وتشغيل شفاطات الهواء الخاصة بالمطبخ لفائدة الشرطة …
عدد الصفحات: 1/2
إعذار رقم 01*/
الزبون: مصلحة الحماية المدنية
النوع: إعذار رقم 01*/
موضوع: اعادة تهيئة وحدات الحماية المدنية لولاية بومرداس
عدد الصفحات: 1/4
AVIS D'APPEL D'OFFRES NAlloNAL OUVERT AVEC EXIGENCE DE CAPACITES MINIMALES N 08/2026
الزبون: OFFICE NATIONAL DE L'IRRIGATION ET DU DRAINAGE ONID
النوع: AVIS D'APPEL D'OFFRES NAlloNAL OUVERT AVEC EXIGENCE DE CAPACITES MINIMALES N 08/2026
موضوع: etude de raccordement de la station d'épuration de ain temouchent vers l'uap de si sekrane wilaya de ain temouchent et …
عدد الصفحات: 1/4
طلب عروض وطني مفتوح مع اشتراط قدرات دنيا رقم 03/2026
الزبون: مديرية الادارة المحلية ولاية ايليزي
النوع: طلب عروض وطني مفتوح مع اشتراط قدرات دنيا رقم 03/2026
موضوع: اقتناء تسعة 09 حافلات نقل المدرسي لفائدة بلديات ولاية اليزي
عدد الصفحات: 1/4
إعلان عن طلب عروض وطني مفتوح رقم 70/2025
الزبون: المديرية العامة للأمن الوطني
النوع: إعلان عن طلب عروض وطني مفتوح رقم 70/2025
موضوع: اقتناء المواد الأولية للقبعات
عدد الصفحات: 1/2
APPEL D’OFFRES NATIONAL OUVERT AVEC EXIGENCE DE CAPACITES MINIMALES N° ..03...../2026
الزبون: AGENCE NATIONALE DES BARRAGES ET TRANSFERTS
النوع: APPEL D’OFFRES NATIONAL OUVERT AVEC EXIGENCE DE CAPACITES MINIMALES N° ..03...../2026
موضوع: "Parachèvement des travaux des projets : lot 04 génie civil et lot 07 Equipement des stations de pompage, barges …
عدد الصفحات: 1/2
إعلان عن المنح المؤقت /*/
الزبون: بلدية الأمير عبد القادر ولاية جيجل
النوع: إعلان عن المنح المؤقت /*/
موضوع: تموين المطاعم المدرسية بالمواد الغذائية لسنة 2026
عدد الصفحات: 1/4
Avis d'infructuosité de la procédure d'appel d'offfre
الزبون: direction des equipements publics de la wilaya de mila
النوع: Avis d'infructuosité de la procédure d'appel d'offfre
موضوع: réalisation d'un college type 3/200 R a minar zerreza w mila
عدد الصفحات: 1/4
AVIS D'APPEL D'OFFRE OUVERT AVEC EXIGENCE DE CAPACITE MINIMALES /*/
الزبون: COMMUNE DE MILA WILAYA DE MILA
النوع: AVIS D'APPEL D'OFFRE OUVERT AVEC EXIGENCE DE CAPACITE MINIMALES /*/
موضوع: realisation conduite d'adduction reliant reservoire 1000 m3 et reservoire 500 m3 a oueled bouhama
عدد الصفحات: 1/2
إعلان عن طلب العروض الوطني المفتوح مع اشتراط قدرات دنيا رقم 01/2026
الزبون: بلدية العيون ولاية الطارف
النوع: إعلان عن طلب العروض الوطني المفتوح مع اشتراط قدرات دنيا رقم 01/2026
موضوع: انجاز مجاري مائية لصرف مياه الأمطار
عدد الصفحات: 1/2
AVIS D’INFRUCTUOSITE DU 2ème AVIS D’APPEL D’OFFRE NATIONAL OUVERT AVEC EXIGENCE DES CAPACITES MINIMALES N° :92/2025
الزبون: Office de Promotion et de Gestion Immobilière de Mascara
النوع: AVIS D’INFRUCTUOSITE DU 2ème AVIS D’APPEL D’OFFRE NATIONAL OUVERT AVEC EXIGENCE DES CAPACITES MINIMALES N° :92/2025
موضوع: 19 LPA 05 LP à SIDI ABDELMOUMEN avec VRD En lot unique programme année 500/2023. …
عدد الصفحات: 1/4
*/اعلان عن المنح المؤقت للصفقة
الزبون: مديرية التجهيزات العمومية لولاية تيارت
النوع: */اعلان عن المنح المؤقت للصفقة
موضوع: استشارة فنية دراسة ومتابعة لانجاز مدرسة ابتدائية نوع 02 على مستوى …
عدد الصفحات: 1/4
APPEL D’OFFRES NATIONAL OUVERT AVEC EXIGENCE DE CAPACITES MINIMALES/*/
الزبون: WILAYA D’EL-BAYADH DIRECTION DE L’URBANISME, DE L'ARCHITECTURE ET DE LA CONSTRUCTION
النوع: APPEL D’OFFRES NATIONAL OUVERT AVEC EXIGENCE DE CAPACITES MINIMALES/*/
موضوع: Réalisation des Travaux de VRD Primaires et Secondaires des logements publics à Travers la Wilaya d’El …
عدد الصفحات: 1/2
الأحد 01 فيفري 2026
إعلان عن طلب العروض وطني مفتوح مع اشتراط قدرات دنيا رقم 02/2026
الزبون: مديرية الأشغال العمومية لولاية الشلف
النوع: إعلان عن طلب العروض وطني مفتوح مع اشتراط قدرات دنيا رقم 02/2026
موضوع: تهيئة وتكسية المقاطع المتضررة للطريق الإجتنابي انطلاقا من محور …
عدد الصفحات: 3/4
2ère MISE EN DEMEURE
الزبون: commune de bordj badji mokhtar wilaya de bordj badji mokhtar
النوع: 2ère MISE EN DEMEURE
موضوع: réhabilitation des école primaires et de leur structures d'accompagnement.
عدد الصفحات: 1/4
طلب العروض مفتوح رقم 12/2025
الزبون: مديرية الشباب والرياضة لولاية تيبازة
النوع: طلب العروض مفتوح رقم 12/2025
موضوع: انجاز بالعشب الاصطناعي ملعب جواري على مستوى مناطق الظل حي يافوني …
عدد الصفحات: 1/2
الإعلان عن طلب عروض مفتوح مع اشتراط قدرات دنيا رقم 2026/02
الزبون: بلدية الرقوبة ولاية سوق اهراس
النوع: الإعلان عن طلب عروض مفتوح مع اشتراط قدرات دنيا رقم 2026/02
موضوع: صيانة الطريق البلدي رقم 22 بمشتة روس لدياس انطلاقا من حدود بلدية …
عدد الصفحات: 1/4
الإعلان عن المنح المؤقت */*/
الزبون: مديرية السكن لولاية تبسة
النوع: الإعلان عن المنح المؤقت */*/
موضوع: اعادة الاعتبار للحضيرة العقارية لبلديات الولاية في اطار حساب …
عدد الصفحات: 1/4
Avis d'Appel d'Offres National Ouvert avec Exigence de Capacités Minimales /*
الزبون: DIRECTION DES TRAVAUX PUBLICS WILAYA DE JIJEL
النوع: Avis d'Appel d'Offres National Ouvert avec Exigence de Capacités Minimales /*
موضوع: PROGRAMME D’ENTRETIEN DES ROUTES NATIONALES 2026
عدد الصفحات: 1+1/2
اعلان عن طلب عرض وطني مفتوح مع اشتراط قدرات دنيا تحت رقم 03/2026
الزبون: بلدية الطيبات ولاية توقرت
النوع: اعلان عن طلب عرض وطني مفتوح مع اشتراط قدرات دنيا تحت رقم 03/2026
موضوع: انجاز طرق معبدة بحي الغربية على مسافة 01 كم
عدد الصفحات: 1/4
*/إعلان عن طلب عروض مفتوح مع اشتراط قدرات دنيا رقم 01/2026
الزبون: بلدية جامعة ولاية المغير
النوع: */إعلان عن طلب عروض مفتوح مع اشتراط قدرات دنيا رقم 01/2026
موضوع: اعادة الاعتبار للطريق الحضري المزدوج من مفترق الطرق بن نونة …
عدد الصفحات: 1/4
*/AVIS D’ATTRIBUTION PROVISOIRE*/
الزبون: DIRECTION DES EQUIPEMENTS PUBLICS WILAYA DE RELIZANE
النوع: */AVIS D’ATTRIBUTION PROVISOIRE*/
موضوع: Etude et Suivi Pour la Réalisation d’une Polyclinique Au Niveau du Site 720 LPL LS Pole Urbain BELASSEL …
عدد الصفحات: 1/4
AVIS APPEL D'OFFRES OUVERT AVEC EXIGENCES DE CAPACITES MINIMALES N°: 03 /DEP/2026
الزبون: DIRECTION DES EQUIPEMENTS PUBLICS WILAYA D’ORAN
النوع: AVIS APPEL D'OFFRES OUVERT AVEC EXIGENCES DE CAPACITES MINIMALES N°: 03 /DEP/2026
موضوع: REALISATION D'UNE ECOLE PRIMAIRE (TYPE 02) A HAI EL HASSI COMMUNE D'ORAN EN LOT SEPARES
عدد الصفحات: 3/4
الخميس 29 جانفي 2026
إعلان عن طلب عروض وطني مفتوح رقم 68/2025
الزبون: المديرية العامة للأمن الوطني
النوع: إعلان عن طلب عروض وطني مفتوح رقم 68/2025
موضوع: اقتناء صفائح إسمية
عدد الصفحات: 1/2
*إعذار رقم 02*
الزبون: مديرية التجهيزات العمومية لولاية تيميمون
النوع: *إعذار رقم 02*
موضوع: انجاز وحدة رئيسية للحماية المدنية بتيميمون
عدد الصفحات: 1/4
إعلان عن منح مؤقت لطلب العروض الوطني المفتوح مع اشتراط قدرات دنيا رقم 11/2025
الزبون: مديرية الإدارة المحلية ولاية تيسمسيلت
النوع: إعلان عن منح مؤقت لطلب العروض الوطني المفتوح مع اشتراط قدرات دنيا رقم 11/2025
موضوع: تجهيز السكنات المخصصة للممارسين الاخصائيين المساعدين بولاية …
عدد الصفحات: 1/4
إعلان عن طلب عروض وطني مفتوح مع اشتراط قدرات دنيا رقم 09/2026
الزبون: المديرية العامة للأمن الوطني
النوع: إعلان عن طلب عروض وطني مفتوح مع اشتراط قدرات دنيا رقم 09/2026
موضوع: انجاز مرائب الأليات الخاصة على مستوى مصالح الشرطة مقرات الوحدات …
عدد الصفحات: 3/4
إعلان عن طلب عروض وطني مفتوح رقم 65/2025
الزبون: المديرية العامة للأمن الوطني
النوع: إعلان عن طلب عروض وطني مفتوح رقم 65/2025
موضوع: اقتناء لوازم ألبسة مدنية
عدد الصفحات: 1/2
Avis d'Appel d'Offres National et lnternational ouvert avec exigence de capacité minimale N°01/ 2026
الزبون: Laiterie Fromagerie De Boudouaou. LFB,SPA
النوع: Avis d'Appel d'Offres National et lnternational ouvert avec exigence de capacité minimale N°01/ 2026
موضوع: La fourniture, installation et mise en service, d'une ligne complète de cuiseur pour fromage fondu
عدد الصفحات: 1/4
AVIS D’APPEL D’OFFRES NATIONAL OUVERT AVEC EXIGENCE DE CAPACITES MINIMALES N° 02 / 2026
الزبون: WILAYA DE SOUK AHRAS DAIRA DE MERAHNA COMMUNE DE MERAHNA
النوع: AVIS D’APPEL D’OFFRES NATIONAL OUVERT AVEC EXIGENCE DE CAPACITES MINIMALES N° 02 / 2026
موضوع: Rehabilitation de la Route Communale N° 79 entre Marahna et Khedhara via la région de Bouaboud (Tronçon Premier) …
عدد الصفحات: 1/4
MISE EN DEMEURE N° 02*
الزبون: Wilaya de Guelma Direction de l’Administration Locale
النوع: MISE EN DEMEURE N° 02*
موضوع: L’étude d’adaptation , suivi et contrôle du projet de réalisation d’un établissement pénitencier 1000 …
عدد الصفحات: 1/4
AVIS D’ATTRIBUTION PROVISOIRE DU MARCHE*/
الزبون: WILAYA DE JIJEL DAIRA D’ELANCER COMMUNE DE DJEMAA BENI H’BIBI
النوع: AVIS D’ATTRIBUTION PROVISOIRE DU MARCHE*/
موضوع: Aménagement et revêtement de la route reliant entre la mosquée el ferdousse – laghedir – akhribe vers lotta …
عدد الصفحات: 1/4
الاعلان عن طلب العروض الوطني المفتوح مع اشتراط قدرات دنيا رقم 2026/02
الزبون: دائرة زيامة منصورية ولاية جيجل
النوع: الاعلان عن طلب العروض الوطني المفتوح مع اشتراط قدرات دنيا رقم 2026/02
موضوع: مراقبة وانهاء الاشغال بالطريق الرابط بين المليعبة والدكارة على …
عدد الصفحات: 1/2
*/إعلان عن طلب عروض وطني مفتوح مع اشتراط قدرات دنيا رقم 01/2026*/
الزبون: بلدية عين الكبيرة ولاية سطيف
النوع: */إعلان عن طلب عروض وطني مفتوح مع اشتراط قدرات دنيا رقم 01/2026*/
موضوع: انجاز الطرق الفرعية بقرى واحياء بلدية عين الكبيرة
عدد الصفحات: 1/4
إعلان عن إلغاء مسابقة الهندسة المعمارية الوطنية المحدودة رقم 81/2025
الزبون: المديرية الجهوية لعدل بولاية تيارت
النوع: إعلان عن إلغاء مسابقة الهندسة المعمارية الوطنية المحدودة رقم 81/2025
موضوع: دراسة ومتابعة اشغال انجاز 1090 مسكن صيغة عدل مع محلات تجارية مهنية …
عدد الصفحات: 1/4
AVIS D’ATTRIBUTION PROVISOIRE */
الزبون: WILAYA DE RELIZANE DIRECTION DES EQUIPEMENTS PUBLICS
النوع: AVIS D’ATTRIBUTION PROVISOIRE */
موضوع: : Etude et Suivi Pour la Réalisation d’une Ecole Primaire Type 2 Au Niveau du Site 490 LPL LS Commune de MENDES …
عدد الصفحات: 1/4
AVIS D’ATTRIBUTION PROVISOIRE D’appel d’offres ouvert avec exigence de capacités Minimales N° 06/2025
الزبون: WILAYA DE TLEMCEN DAIRA DE FILLAOUSSENE COMMUNE DE - AIN FETTAH
النوع: AVIS D’ATTRIBUTION PROVISOIRE D’appel d’offres ouvert avec exigence de capacités Minimales N° 06/2025
موضوع: Realisation D’un Mur Soutenement et Amenagement Du Talus A Boutrak Commune Ain fettah (1er tranche)
عدد الصفحات: 1/4
AVIS D'ATTRIBUTION PROVISOIRE*/
الزبون: DIRECTION DES EQUIPEMENTS PUBLICS WILAYA DE RELIZANE
النوع: AVIS D'ATTRIBUTION PROVISOIRE*/
موضوع: Réalisation des Classes D’extension des écoles Primaires
عدد الصفحات: 1/4
الأربعاء 28 جانفي 2026
رابع اعلان عن طلب عروض وطني مفتوح مع اشتراط قدرات دنيا رقم 09/2024
الزبون: المديرية العامة للأمن الوطني
النوع: رابع اعلان عن طلب عروض وطني مفتوح مع اشتراط قدرات دنيا رقم 09/2024
موضوع: أشغال صيانة واعادة تأهيل الطرق والشبكات المختلفة لجميع مصالح …
عدد الصفحات: 1/2
الاعلان عن المنح المؤقت للصفقات وعدم جدوى لطلب عروض وطني مفتوح مع اشتراط قدرات دنيا رقم 02/2025
الزبون: المديرية العامة للأمن الوطني
النوع: الاعلان عن المنح المؤقت للصفقات وعدم جدوى لطلب عروض وطني مفتوح مع اشتراط قدرات دنيا رقم 02/2025
موضوع: اقتناء قطع غيار السيارات عالية الدوران لجميع أنواع وماركات …
عدد الصفحات: 1/2
*/Avis d'attribution rovisoire
الزبون: Groupe Lait / GIPLAIT spa
النوع: */Avis d'attribution rovisoire
موضوع: 120 tonnes des préparations fruitées pour yaourt fruité
عدد الصفحات: 1/4
Avis d'Appel d'offres National et International Ouvert N°13/2025
الزبون: Groupe Lait / GIPLAIT spa
النوع: Avis d'Appel d'offres National et International Ouvert N°13/2025
موضوع: L'EPE Laiterie Fromagerie de Boudouaou SPA Cité Benadjel 35 400 .Boudouaou. Boumerdes
عدد الصفحات: 1/4
*اعلان عن طلب عروض مفتوح مع اشتراط قدرات دنيا رقم 01/2026
الزبون: مديرية النقل لولاية سوق اهراس
النوع: *اعلان عن طلب عروض مفتوح مع اشتراط قدرات دنيا رقم 01/2026
موضوع: متابعة لانجاز محطة برية لنقل المسافرين صنف "ج" بسدراتة ولاية سوق …
عدد الصفحات: 1/4
AVIS D'ATTRIBUTION PROVISOIRE DE PROJET DU MARCHE DE L'AVIS D'APPEL N 036/2025
الزبون: DIRECTION DES TRAVAUX PUBLIICS WILAYA DDE SETIF
النوع: AVIS D'ATTRIBUTION PROVISOIRE DE PROJET DU MARCHE DE L'AVIS D'APPEL N 036/2025
موضوع: ENTRETIEN DE DEUX OA SUR
عدد الصفحات: 1/4
AVIS D’ATTRIBUTION PROVISOIRE */
الزبون: WILAYA D’OUM EL BOUAGHI DIRECTION DE LA JEUNESSE ET DES SPORTS
النوع: AVIS D’ATTRIBUTION PROVISOIRE */
موضوع: Réalisation et équipement d’une salle spécialisée a Oum El Bouaghi
عدد الصفحات: 1/4
AVIS D'APPEL D'OFFRES NATIONAL OUVERT AVEC EXIGENCE DE CAPACITES MINIMALES */
الزبون: DIRECTION DES TRAVAUX PUBLICS WILAYA DE JIJEL
النوع: AVIS D'APPEL D'OFFRES NATIONAL OUVERT AVEC EXIGENCE DE CAPACITES MINIMALES */
موضوع: Travaux de protection contre les franchissements et agitation du port de pêche et de plaisance d’El-Aouana …
عدد الصفحات: 1/2
إعلان عن منح مؤقت*/
الزبون: بلدية أولاد سلام ولاية باتنة
النوع: إعلان عن منح مؤقت*/
موضوع: صيانة طرقات البلدية
عدد الصفحات: 1/4
الإعلان عن نتائج الانتقاء الأولي للمسابقة الوطنية المحدودة في الهندسة المعمارية رقم 31/2025
الزبون: ديوان الترقية والتسيير العقاري لولاية المغير
النوع: الإعلان عن نتائج الانتقاء الأولي للمسابقة الوطنية المحدودة في الهندسة المعمارية رقم 31/2025
موضوع: دراسة ومتابعة لانجاز 200 مسكن عمومي ايجاري بما فيها كل الشبكات …
عدد الصفحات: 1/4
*/ إعلان عن المنح المؤقت
الزبون: بلدية توقرت ولاية توقرت
النوع: */ إعلان عن المنح المؤقت
موضوع: اعادة تأهيل ساحات لعب لمدارس الابتدائية
عدد الصفحات: 1/4
إعلان عن إنتقاء أولي
الزبون: مديرية الإدارة المحلية ولاية ورقلة
النوع: إعلان عن إنتقاء أولي
موضوع: دراسة ومتابعة انجاز منشأة إدارية بالقطب العمراني 27/02/1962
عدد الصفحات: 1/4
إعلان عن الغاء المنح مؤقت للصفقة
الزبون: المديرية الجهوية لـ
النوع: إعلان عن الغاء المنح مؤقت للصفقة
موضوع: اشغال انجاز 160 مسكن بصيغة عدل فردي (طابق سطح) بجميع هياكل الدولة …
عدد الصفحات: 1/4
إعلان عن إلغاء المسابقة الوطنية للهندسة المعمارية المحدودة رقم 143/2025 / عدل/ وهران/ بتاريخ 04/01/2026
الزبون: المديرية الجهوية لعدل بوهران
النوع: إعلان عن إلغاء المسابقة الوطنية للهندسة المعمارية المحدودة رقم 143/2025 / عدل/ وهران/ بتاريخ 04/01/2026
موضوع: برنامج سكن البيع بالايجار عدل 03 قطعة 300000 مسكن
عدد الصفحات: 1/4
AVIS DE PRESELECTION CONCOURS NATIONAL RESTREINT DE LA MAITRISE D’ŒUVRE N° 61 /2025
الزبون: DIRECTION DES EQUIPEMENTS PUBLICS DE LA WILAYA D’ORAN
النوع: AVIS DE PRESELECTION CONCOURS NATIONAL RESTREINT DE LA MAITRISE D’ŒUVRE N° 61 /2025
موضوع: ETUDE ET SUIVI POUR LA REALISATION D'UNE POLYCLINIQUE AU NIVEAU DU SITE DES 5000/8000 LLV POLE AHMED ZABANA …
عدد الصفحات: 3/4
الثلاثاء 27 جانفي 2026
إعلان عن طلب عروض وطني مفتوح مع اشتراط قدرات دنيا رقم 60/2025
الزبون: المديرية العامة للأمن الوطني
النوع: إعلان عن طلب عروض وطني مفتوح مع اشتراط قدرات دنيا رقم 60/2025
موضوع: اقتناء تجهيزات الإعلام الألي
عدد الصفحات: 1/2
إعلان عن طلب عروض وطني مفتوح رقم 59/2025
الزبون: المديرية العامة للأمن الوطني
النوع: إعلان عن طلب عروض وطني مفتوح رقم 59/2025
موضوع: اقتناء تجهيزات التخييم
عدد الصفحات: 1/2
إعلان عن المنح المؤقت لطلب عروض وطني مفتوح مع اشتراط قدرات دنيا رقم 01/2022
الزبون: مديرية التجهيزات العمومية ولاية برج باجي مختار
النوع: إعلان عن المنح المؤقت لطلب عروض وطني مفتوح مع اشتراط قدرات دنيا رقم 01/2022
موضوع: دراسة ومتابعة وتهيئة ثلاث مناطق مصغرة للنشاط ببلديتي الولاية
عدد الصفحات: 1/4
اعلان عن عدم جدوى المسابقة الوطنية المحدودة رقم 04/2025
الزبون: الصندوق الوطني للتقاعد
النوع: اعلان عن عدم جدوى المسابقة الوطنية المحدودة رقم 04/2025
موضوع: .
عدد الصفحات: 1/4
اعلان عن منح مؤقت */-
الزبون: مديرية التعمير والهندسة المعمارية والبناء لولاية أدرار
النوع: اعلان عن منح مؤقت */-
موضوع: انجاز تكملة اشغال التهيئة لمنطقة النشاطات بادرار
عدد الصفحات: 1/4
APPEL D'OFFRES OUVERT AVEC EXIGENCE DE CAPACITES MINIMALES N 03/2026
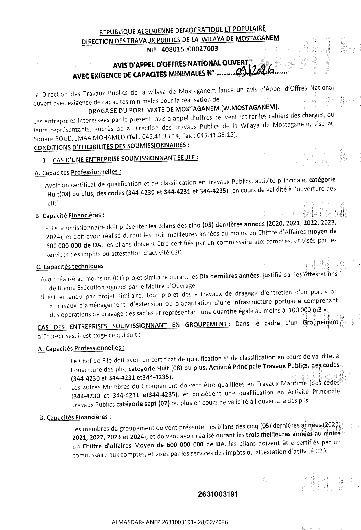
الزبون: OFFICE NATIONAL DE L'IRRIGATION ET DU DRAINAGE
النوع: APPEL D'OFFRES OUVERT AVEC EXIGENCE DE CAPACITES MINIMALES N 03/2026
موضوع: la maintenance l'esploitation et l'entretien du périmétre zit emba tranche 2 sur 3559 ha pendant la période de …
عدد الصفحات: 1/4
إعلان عن طلب عروض وطني مفتوح مع اشتراط قدرات دنيا /*
الزبون: مديرية الأشغال العمومية لولاية ميلة
النوع: إعلان عن طلب عروض وطني مفتوح مع اشتراط قدرات دنيا /*
موضوع: المساعدة التقنية ومتابعة الأشغال ازدواجية الطريق الوطني رقم 27 …
عدد الصفحات: 1/2
إعلان عن عدم جدوى طلب عروض وطني مفتوح مع اشتراط قدرات دنيا رقم 01/2025
الزبون: الإقامة الجامعية الحدائق 07 سكيكدة
النوع: إعلان عن عدم جدوى طلب عروض وطني مفتوح مع اشتراط قدرات دنيا رقم 01/2025
موضوع: خدمات الأمن والحراسة خلال سنة 2026
عدد الصفحات: 1/4
إعلان عن المنح المؤقت للصفقة رقم 08/2026
الزبون: مديرية التجهيزات العمومية لولاية سطيف
النوع: إعلان عن المنح المؤقت للصفقة رقم 08/2026
موضوع: دراسة ومتابعة لانجاز متوسطة نمط 6 رقم 01 بالقطب الحضري 4000 مسكن بيع …
عدد الصفحات: 1/4
*/إعلان عن تصحيح المنح المؤقت
الزبون: مديرية التجهيزات العمومية لولاية أم البواقي
النوع: */إعلان عن تصحيح المنح المؤقت
موضوع: دراسة متابعة وانجاز مدرستين ابتدائيتين نوع 02 على مستوى موقع 586 …
عدد الصفحات: 1/4
/*AVIS D'ATTRIBUTION PROVISOIRE*/
الزبون: DIRECTION DE L'URBANISME DE L'ARCHITECTURE ET DE LA CONSTRUCTION
النوع: /*AVIS D'ATTRIBUTION PROVISOIRE*/
موضوع: aménagement des deux mini zone d'activité a travers la wilaya de jijel
عدد الصفحات: 1/4
AVIS RECTIFICATIF
الزبون: DIRECTION DE L'ADMINISTRATION LOCALE WILAYA DE TAREF
النوع: AVIS RECTIFICATIF
موضوع: travaux d'aménagement et de refection au niveau nouveau siége de la wilaya
عدد الصفحات: 1/4
AVIS D'ATTRIBUTION PROVISOIRE DU PROJET */
الزبون: COMMUNE DE HAMMAMET WILAYA DE TEBESSA
النوع: AVIS D'ATTRIBUTION PROVISOIRE DU PROJET */
موضوع: ALIMENTATION SCOLAIRE POUR L'ANNEE FINANCIERE 2026
عدد الصفحات: 1/4
الاعلان عن طلب العروض المفتوح مع اشتراط قدرات دنيا رقم 32/2025
الزبون: مديرية الري ولاية تلمسان
النوع: الاعلان عن طلب العروض المفتوح مع اشتراط قدرات دنيا رقم 32/2025
موضوع: تلمسان ندرومة سيدو شتوان عين يوسف والمنصورة
عدد الصفحات: 1/2
AVIS D'APPEL D'OFFRES NATIONAL OUVERT AVEC EXIGENCE DE CAPACITES MINIMALES N 01/2026
الزبون: DIRECTION DE L'HYDRAULIQUE DE LA WILAYA D'ORAN
النوع: AVIS D'APPEL D'OFFRES NATIONAL OUVERT AVEC EXIGENCE DE CAPACITES MINIMALES N 01/2026
موضوع: ETUDE DE PREVENTION DES INONDATION ET PROTECTION POLE URBAIN AHMED ZABANA
عدد الصفحات: 1/2
الإثنين 26 جانفي 2026
إعلان عن مناقصة وطنية ودولية محدودة رقم 305/25
الزبون: كوسيدار
النوع: إعلان عن مناقصة وطنية ودولية محدودة رقم 305/25
موضوع: اقتناء عتاد
عدد الصفحات: 1/4
إعلان عن منح مؤقت رقم 05/2026
الزبون: مديرية الري لبسكرة
النوع: إعلان عن منح مؤقت رقم 05/2026
موضوع: انجاز نظام التزويد بالمياه الصالحة للشرب لمنطقة التوسع (مخططات …
عدد الصفحات: 1/4
إعلان عن طلب عروض وطني مفتوح رقم 71/2025
الزبون: المديرية العامة للأمن الوطني
النوع: إعلان عن طلب عروض وطني مفتوح رقم 71/2025
موضوع: اقتناء مختلف بذلات التدخل
عدد الصفحات: 1/2
Résultats De L'évaluation Des Offres De Premier Phase Dossier De Candidature Et Éligibilités Des Candidats Vu le PV d'évaluation des offres du: 11/01/ 2026
الزبون: Direction des Équipements Publics De La Wilaya D'Illizi
النوع: Résultats De L'évaluation Des Offres De Premier Phase Dossier De Candidature Et Éligibilités Des Candidats Vu le PV d'évaluation des offres du: 11/01/ 2026
موضوع: Étude et suivi pour la réalisation d'un CRI 06 Logts a Illizi
عدد الصفحات: 1/4
AVIS D'APPEL D'OFFRES NATIONAL OUVERT AVEC EXIGENCE DE CAPACITES MINIMALES N 03/2026
الزبون: AADL ANNABA
النوع: AVIS D'APPEL D'OFFRES NATIONAL OUVERT AVEC EXIGENCE DE CAPACITES MINIMALES N 03/2026
موضوع: ETUDE GEOTECHNIQUE DU PROJET : 1286/4600 LOGEMENTS LOCATION-VENTE EN TCE AVEC LOCAUX A USAGE COMMERCIAL PROFESSIONEL ET …
عدد الصفحات: 3/4
إعلان عن طلب عروض وطني مفتوح مع اشتراط قدرات دنيا رقم 15/2025
الزبون: مديرية المصالح الفلاحية لولاية توقرت
النوع: إعلان عن طلب عروض وطني مفتوح مع اشتراط قدرات دنيا رقم 15/2025
موضوع: تجهيز بالطاقة الشمسية لنقاط ماء رعوية بتوقرت
عدد الصفحات: 1/4
*/إعلان عن طلب عروض وطني مفتوح مع اشتراط قدرات دنيا رقم 02/2026
الزبون: مديرية الأشغال العمومية لولاية توقرت
النوع: */إعلان عن طلب عروض وطني مفتوح مع اشتراط قدرات دنيا رقم 02/2026
موضوع: ازدواجية الطريق الوطني رقم 16 بين أم الزبد عند ن.ك 614 800 والأبيار …
عدد الصفحات: 1/4
*/إعلان عن طلب عروض وطني مفتوح مع اشتراط قدرات دنيا رقم 01/2026
الزبون: مديرية الاشغال العمومية لولاية أولاد جلال
النوع: */إعلان عن طلب عروض وطني مفتوح مع اشتراط قدرات دنيا رقم 01/2026
موضوع: تهيئة وتجهيز محور دوراني على مستوى الطريق الوطني 46 أ في ن ك 200 81
عدد الصفحات: 1/4
إعلان عن إلغاء مسابقة الهندسة المعمارية الوطنية المحدودة رقم 27/2025
الزبون: المديرية الجهوية لوكالة عدل بورقلة
النوع: إعلان عن إلغاء مسابقة الهندسة المعمارية الوطنية المحدودة رقم 27/2025
موضوع: دراسة ومتابعة انجاز مشروع 250 مسكن عدل في جميع هياكل الدولة مع …
عدد الصفحات: 1/4
AVIS APPEL D’OFFRES OUVERT AVEC EXIGENCE DE CAPACITES MINIMALES N° 08 /2025
الزبون: WILAYA DE BATNA DAIRA DE SEGGANA COMMUNE DE SEGGANA
النوع: AVIS APPEL D’OFFRES OUVERT AVEC EXIGENCE DE CAPACITES MINIMALES N° 08 /2025
موضوع: TRAVAUX PUBLIC 0U BATIMENT activité principal – catégorie trois (03) et plus
عدد الصفحات: 1/4
اعلان عن طلب عروض مفتوح مع اشتراط قدرات دنيا رقم 01/2026
الزبون: مديرية الشباب والرياضة ولاية سكيكدة
النوع: اعلان عن طلب عروض مفتوح مع اشتراط قدرات دنيا رقم 01/2026
موضوع: انجاز بيت الشباب 100 سرير سكيكدة
عدد الصفحات: 3/4
اعلان عن قائمة الاختيار لمكاتب الدراسات
الزبون: مديرية التجهيزات العمومية ولاية معسكر
النوع: اعلان عن قائمة الاختيار لمكاتب الدراسات
موضوع: اختيار مكتب الدراسات لمهمة دراسة ومتابعة من اجل انجاز متوسطة نوع …
عدد الصفحات: 1/4
Avis D’attribution Provisoire
الزبون: WILAYA DE TIARET DAIRA AIN DEHEB COMMUNE AIN DEHEB
النوع: Avis D’attribution Provisoire
موضوع: LOCATION D'AUTOBUS DESTINES AU TRANSPORT SCOLAIRE POUR L'ANNEE 2025
عدد الصفحات: 1/2
طلب العروض المفتوح مع اشتراط قدرات دنيا رقم 01/2026
الزبون: بلدية سيرات ولاية مستغانم
النوع: طلب العروض المفتوح مع اشتراط قدرات دنيا رقم 01/2026
موضوع: انجاز شبكة الصرف الصحي بدوار الجديات والخواثرية الشطر الاول
عدد الصفحات: 1/4
الأحد 25 جانفي 2026
إعلان عن طلب عروض وطني مفتوح مع اشتراط قدرات دنيا رقم 02/2026
الزبون: المديرية العامة للأمن الوطني
النوع: إعلان عن طلب عروض وطني مفتوح مع اشتراط قدرات دنيا رقم 02/2026
موضوع: اشغال اعادة تجديد الأسقف على مستوى مصالح الشرطة التابعة للمصلحة …
عدد الصفحات: 3/4
اعلان عن منح مؤقت لصفقة الطلبات
الزبون: وزارة السكن والعمران والمدينة والتهيئة العمرانية
النوع: اعلان عن منح مؤقت لصفقة الطلبات
موضوع: خدمة الحراسة والامن لمقر وزارة السكن والعمران والمدينة والتهيئة …
عدد الصفحات: 1/4
AVIS APPEL D'OFFRES NATIONAL OUVERT AVEC EXIGENCE DE CAPACITES MINIMALES N°oi/MHUVAT/2026
الزبون: MINISTER£ DE L'HABITAT, DE LURBANISME ET DE LA VILLE ET DE L'AMENAGEMENT DU TERRITO]RE
النوع: AVIS APPEL D'OFFRES NATIONAL OUVERT AVEC EXIGENCE DE CAPACITES MINIMALES N°oi/MHUVAT/2026
موضوع: étude de Création d'un Pôle d'Attractivité en Milieu Rural (Pôle Tizi-Ouzou-Bouira-Béjaia-Skikda sur …
عدد الصفحات: 1/2
RESTRAINED NATIONAL ET INTERNATIONAL CALL TO TENDER N 303/25/F120
الزبون: COSIDER
النوع: RESTRAINED NATIONAL ET INTERNATIONAL CALL TO TENDER N 303/25/F120
موضوع: THE SUPPLY OF VARIOUS EQUIPMENT DIVIDED INTO TWO LOTS
عدد الصفحات: 1/4
AVIS D'APPEL D'OFFRES NATIONAL OUVERT AVEC EXIGENCE DE CAPACITES MINIMALES NO 01/2026
الزبون: OFFICE DE PROMOTION ET DE GESTION IMMOBILIERE D'HU_SEIN -DEY
النوع: AVIS D'APPEL D'OFFRES NATIONAL OUVERT AVEC EXIGENCE DE CAPACITES MINIMALES NO 01/2026
موضوع: à ka reansatlon des 1000 logomonts publlcs locatffs en TCE avec 56 Iocaux à usage commerclal sk; à la commune …
عدد الصفحات: 1/2
AVIS D’APPEL D’OFFRES NATIONAL OUVERT AVEC EXIGENCE DE CAPACITES MINIMALES N° 02 /2026
الزبون: DIRECTION DE L’URBANISME, DE L’ARCHITECTURE ET DE LA CONSTRUCTION DE LA WILAYA DE GUELMA
النوع: AVIS D’APPEL D’OFFRES NATIONAL OUVERT AVEC EXIGENCE DE CAPACITES MINIMALES N° 02 /2026
موضوع: la réalisation des travaux de en lots séparées: LOTN°01 : OUVERTURE DES VOIES ASSAINISSEMENT AEP MUR DE …
عدد الصفحات: 3/4
**Appel d’offres ouvert avec exigence de capacités minimales 01/2026
الزبون: WILAYA DE BATNA DAIRA D’AIN DJASSER COMMUNE D’AIN DJASSER
النوع: **Appel d’offres ouvert avec exigence de capacités minimales 01/2026
موضوع: Réalisation trois classe d’éxtension (R 1) à l’école de chahid aberkan ali ben kassa
عدد الصفحات: 1/4
إعلان عن إلغاء المنح المؤقت*/
الزبون: مديرية الإدارة المحلية ولاية باتنة
النوع: إعلان عن إلغاء المنح المؤقت*/
موضوع: متابعة واعادة الاعتبار للحدائق العمومية ومحاور الدوران ببلدية …
عدد الصفحات: 1/4
*/AVIS D'attribution provisoire */
الزبون: OPGI CONSTANTINE
النوع: */AVIS D'attribution provisoire */
موضوع: L'aquisition a commandes de divers fournitures des articles de quincaillerie générale au profit de l' opgi de …
عدد الصفحات: 1/4
DEUXIEME AVIS D’APPEL D'OFFRE OUVERT AVEC EXIGENCE DES CAPACITES MINIMALES APRES L’INFRUCTUOSITE
الزبون: WILAYA DE SAIDA DIRECTION DE L’ADMINISTRATION LOCALE
النوع: DEUXIEME AVIS D’APPEL D'OFFRE OUVERT AVEC EXIGENCE DES CAPACITES MINIMALES APRES L’INFRUCTUOSITE
موضوع: Travaux D’aménagement Au Niveaux Des Blocs Administratives N°01 Et 02
عدد الصفحات: 1/2
APPEL D’OFFRES NATIONAL OUVERT AVEC EXIGENCE DE CAPACITE MINIMALE N° 15/2025
الزبون: Centre Hospitalo-Universitaire Dr Tidjani Damerdji –Tlemcen
النوع: APPEL D’OFFRES NATIONAL OUVERT AVEC EXIGENCE DE CAPACITE MINIMALE N° 15/2025
موضوع: L’entretien et le nettoyage des locaux et espace du siège de l’UMC intérieur et extérieur, Réanimation24 …
عدد الصفحات: 3/4
الخميس 22 جانفي 2026
avis d'annulation du concours national d'architecture restreint maitrise d'oeuvre ainsi l'invitation des candidats présélectionnées
الزبون: aadl direction regionale d'alger est
النوع: avis d'annulation du concours national d'architecture restreint maitrise d'oeuvre ainsi l'invitation des candidats présélectionnées
موضوع: l'etude et suivi des travaux de realisation de 2000 logements site 01 location vente en tce
عدد الصفحات: 1/4
اعلان عن طلب عروض وطني مفتوح مع اشتراط قدرات دنيا رقم 06/2026
الزبون: مديرية الأشغال العمومية لولاية المدية
النوع: اعلان عن طلب عروض وطني مفتوح مع اشتراط قدرات دنيا رقم 06/2026
موضوع: صيانة الطرق الولائية لسنة 2026
عدد الصفحات: 1/4
إعلان عن طلب عروض وطني مفتوح مع اشتراط قدرات دنيا رقم 03/2026
الزبون: مديرية الأشغال العمومية لولاية المدية
النوع: إعلان عن طلب عروض وطني مفتوح مع اشتراط قدرات دنيا رقم 03/2026
موضوع: تقوية الطرق الوطنية لسنة 2026
عدد الصفحات: 1/4
إعذار رقم 01 لمقاولة بلقرشية خير
الزبون: ديوان الترقية والتسيير العقاري للبويرة
النوع: إعذار رقم 01 لمقاولة بلقرشية خير
موضوع: انجاز 20 مسكن ترقوي مدعم 2 LPA DGSN و 04 مسكن ترقوي حر بعين العلوي
عدد الصفحات: 1/2
AVIS D’ATTRIBUTION PROVISOIRE */
الزبون: WILAYA DE TIMIMOUN DIRECTION DES EQUIPEMENTS PUBLICS
النوع: AVIS D’ATTRIBUTION PROVISOIRE */
موضوع: Etude, Suivi Et Réalisation D’un Lycée Type 1000 Au Niveau Du Site 383L P L 130L S 1233 H.R.G, Commune de …
عدد الصفحات: 1/4
Mise en demeure n° 02 */
الزبون: Office de promotion et de gestion Immobilière de Médéa
النوع: Mise en demeure n° 02 */
موضوع: la réalisation de 30 logements VRD à DJOUAB ,(Programme 1000 logts LPL 2024 – 2er tranche) approuvé par le …
عدد الصفحات: 1/4
*إعلان عن إلغاء لمسابقة الهندسة المعمارية الوطنية المحدودة رقم 03/2026
الزبون: وكالة عدل عنابة
النوع: *إعلان عن إلغاء لمسابقة الهندسة المعمارية الوطنية المحدودة رقم 03/2026
موضوع: دراسة ومتابعة أشغال انجاز 1000/3800 مسكن عدل مع محلات تجارية مهنية …
عدد الصفحات: 1/4
إعلان عن منح مؤقت //
الزبون: مديرية الشباب والرياضة لولاية سوق أهراس
النوع: إعلان عن منح مؤقت //
موضوع: انجاز مسبح جواري ببلدية المراهنة
عدد الصفحات: 1/4
AVIS D'APPEL D'OFFRES OUVERT AVEC EXIGENCE DE CAPACITES MINIMALES */
الزبون: DIRECTION DE L'ADMINISTRATION LOCALE WILAYA DE BATNA
النوع: AVIS D'APPEL D'OFFRES OUVERT AVEC EXIGENCE DE CAPACITES MINIMALES */
موضوع: realisation des travaux de la réhabilitation de la salle d'honneur de l'aéroport international echahid mostafa ben …
عدد الصفحات: 3/4
إعادة الإعلان عن طلب العروض الوطني المفتوح مع اشتراط قدرات دنيا بعد عدم الجدوى رقم 02/2026
الزبون: عدل المديرية الجهوية ورقلة
النوع: إعادة الإعلان عن طلب العروض الوطني المفتوح مع اشتراط قدرات دنيا بعد عدم الجدوى رقم 02/2026
موضوع: اشغال انجاز 840/488 مسكن بصيغة البيع بالايجار فردي (طابق سطح) بجيمع …
عدد الصفحات: 1/2
إعلان عن منح مؤقت للصفقة */
الزبون: بلدية تماسين ولاية توقرت
النوع: إعلان عن منح مؤقت للصفقة */
موضوع: تأهيل وصيانة وتوسيع شبكة الصرف الصحي عبر حي البحور 400 م/ط
عدد الصفحات: 1/4
إعلان عن طلب عروض وطني مفتوح /*
الزبون: مديرية الادارة المحلية ولاية بسكرة
النوع: إعلان عن طلب عروض وطني مفتوح /*
موضوع: اشغال التهيئة اعادة الاعتبار والتحسين الحضري لساحة حي زواكة …
عدد الصفحات: 1/4
AVIS D’APPEL D’OFFRES NATIONAL OUVERT AVEC EXIGENCE DE CAPACITES MINIMALES N°07/DRORAN/AADL/2026
الزبون: -AADL- DIRECTION REGIONALE D’ORAN
النوع: AVIS D’APPEL D’OFFRES NATIONAL OUVERT AVEC EXIGENCE DE CAPACITES MINIMALES N°07/DRORAN/AADL/2026
موضوع: LA RÉALISATION DE 1000 LOGEMENTS EN LOCATION VENTE EN TCE AVEC LOCAUX A USAGE COMMERCIAL ET PROFESSIONNEL ET …
عدد الصفحات: 3/4
AVIS D’ATTRIBUTION PROVISOIRE /*
الزبون: WILAYA DE SIDI BEL ABBES DIRECTION DES EQUIPEMENTS PUBLICS
النوع: AVIS D’ATTRIBUTION PROVISOIRE /*
موضوع: l’ Etude et suivi pour la Réalisation d’un collège Type 06 au niveau du site 400 LLV 1630LPL route de …
عدد الصفحات: 1/4
الأربعاء 21 جانفي 2026
avis d'annulation du concours national d'architectures resstreint
الزبون: AADL DIRECTION regional est
النوع: avis d'annulation du concours national d'architectures resstreint
موضوع: l'etude et suivi des travaux de realisation de 2500 logements site 10 location-vente en tce avec locaux a usage …
عدد الصفحات: 1/4
إعلان عن إلغاء الاعلان عن مسابقة الهندسة المعمارية الوطنية المحدودة
الزبون: عدل المديرية الجهوية للجزائر شرق
النوع: إعلان عن إلغاء الاعلان عن مسابقة الهندسة المعمارية الوطنية المحدودة
موضوع: دراسة ومتابعة اشغال انجاز 2500 مسكن موقع 07 بيع بالايجار بكل المراحل …
عدد الصفحات: 1/4
AVIS D'ATTRIBUTION PROVISOIRE*/
الزبون: SOCIETE D'IMPRESSION D'ALGER
النوع: AVIS D'ATTRIBUTION PROVISOIRE*/
موضوع: COUVERTURE EN ASSURANCE DE L'ACTIVITE ET DU PATRIMOINE DE LA SOCIETE D'IMPRESSION D'ALGER
عدد الصفحات: 1/4
*/إعلان عن طلب عروض وطني مفتوح رقم 01/2026
الزبون: المديرية العامة للأمن الوطني
النوع: */إعلان عن طلب عروض وطني مفتوح رقم 01/2026
موضوع: اقتناء مواد تنظيف منزلية
عدد الصفحات: 1/2
اعلان عن مسابقة معمارية محدودة رقم 11/2026
الزبون: مديرية التجهيزات العمومية ولاية تيسمسيلت
النوع: اعلان عن مسابقة معمارية محدودة رقم 11/2026
موضوع: دراسة ومتابعة من اجل مدرسة ابتدائية نمط 02 رقم 02 على مستوى موقع 760LLV …
عدد الصفحات: 1/2
إعلان عن طلب العروض الوطني المفتوح مع اشتراط قدرات دنيا رقم 17/2026
الزبون: عدل المديرية الجهوية للجزائر شرق
النوع: إعلان عن طلب العروض الوطني المفتوح مع اشتراط قدرات دنيا رقم 17/2026
موضوع: دراسة الجيوتقنية لقاعدة الارض لمشروع 2000 مسكن موقع 02 بصيغة البيع …
عدد الصفحات: 1/2
إعلان عن طلب عروض مفتوح مع اشتراط قدرات دنيا رقم 01/2026
الزبون: بلدية الشبلي ولاية البليدة
النوع: إعلان عن طلب عروض مفتوح مع اشتراط قدرات دنيا رقم 01/2026
موضوع: انجاز مطعم بالمدرسة الابتدائية جابر بن يوسف حوش عمار
عدد الصفحات: 1/4
AVIS D'ANNULATION DE L'AVIS DU CONCOURS NATIONAL D'ARCHITECTURE RESREINT N 28/2025
الزبون: AADL ANNABA
النوع: AVIS D'ANNULATION DE L'AVIS DU CONCOURS NATIONAL D'ARCHITECTURE RESREINT N 28/2025
موضوع: ETUDE ET SUIVI DES TRAVAUX DE REALISATION DES 1000/4600 LOGEMENTS LOCATION-VENTE EN TCE LOCAUX A USAGE COMMERCIAL …
عدد الصفحات: 1/4
إعلان عن إلغاء مسابقة الهندسة المعمارية الوطنية المحدودة رقم 34/2025
الزبون: وكالة عدل
النوع: إعلان عن إلغاء مسابقة الهندسة المعمارية الوطنية المحدودة رقم 34/2025
موضوع: دراسة ومتابعة أشغال انجاز 500 مسكن صيغة البيع بالايجار مع محلات …
عدد الصفحات: 1/4
Avis d’Attribution Provisoire*/
الزبون: WILAYA D’AIN TEMOUCHENT DAIRA D’AIN - EL - ARBA COMMUNE D’OUED – SEBBAH
النوع: Avis d’Attribution Provisoire*/
موضوع: Transport scolaire année 2026
عدد الصفحات: 1/4
AVIS D’APPEL D’OFFRE NATIONAL OUVERT AVEC EXIGENCE DE CAPACITE MINIMALE N° 4 /SDIR/DTP/2026
الزبون: DIRECTION DES TRAVAUX PUBLICS DE LA WILAYA D’ORAN
النوع: AVIS D’APPEL D’OFFRE NATIONAL OUVERT AVEC EXIGENCE DE CAPACITE MINIMALE N° 4 /SDIR/DTP/2026
موضوع: TRAVAUX D’AMÉNAGEMENT DE LA ROUTE MENANT AU CENTRE MÉDICO-SOCIAL ET À LA CRÈCHE DE CANSTAL.
عدد الصفحات: 1/4
AVIS D’APPEL D’OFFRE OUVERT AVEC EXIGENCE DE CAPACITES MINIMALES N° 02/2026
الزبون: WILAYA D’EL BAYADH DAIRA DE BOUALEM COMMUNE DE STITTEN
النوع: AVIS D’APPEL D’OFFRE OUVERT AVEC EXIGENCE DE CAPACITES MINIMALES N° 02/2026
موضوع: انجاز بئر للمياه الصالحة للشرب بقرية واد الحجل
عدد الصفحات: 1/4
AVIS D’APPEL D’OFFRES NATIONAL OUVERT AVEC EXIGENCE DE CAPACITES MINIMALES N° : 02/2026
الزبون: OFFICE DE PROMOTION ET DE GESTION IMMOBILIERE DE LA WILAYA DE MASCARA
النوع: AVIS D’APPEL D’OFFRES NATIONAL OUVERT AVEC EXIGENCE DE CAPACITES MINIMALES N° : 02/2026
موضوع: réalisation des 20 50 Logements Promotionnels Aides 18 Logements Promotionnels Libres avec VRD à Ghriss En …
عدد الصفحات: 1/4
إعلان عن منح مؤقت/*
الزبون: ولاية ميلة
النوع: إعلان عن منح مؤقت/*
موضوع: اشغال الصيانة واعادة تاهيل لاقامة الضيوف مقابل مستشفى الاخوة …
عدد الصفحات: 1/4
CONCOURS RESTREINT
الزبون: DIRECTION DE FORMATION ET DE L'ENSEIGNEMENT PROFESSIONNELS WILAYA D'OUM EL BOUAGHI
النوع: CONCOURS RESTREINT
موضوع: ETUDES POUR LA REALISATION D'UN CENTRE DE FORMATION PROFESSIONNELLE ET D'APPRENTISSAGE 300PF/60 LITS A KSEUR SEBIHI OUM …
عدد الصفحات: 3/4
الثلاثاء 20 جانفي 2026
إعلان عن طلب عروض وطني مفتوح رقم 66/2025
الزبون: المديرية العامة للأمن الوطني
النوع: إعلان عن طلب عروض وطني مفتوح رقم 66/2025
موضوع: اقتناء vareuses et fourragéres
عدد الصفحات: 1/2
إعلان عن طلب عروض وطني مفتوح مع اشتراط قدرات دنيا رقم 49/2025
الزبون: المديرية العامة للأمن الوطني
النوع: إعلان عن طلب عروض وطني مفتوح مع اشتراط قدرات دنيا رقم 49/2025
موضوع: اقتناء وحدة جهاز تكسير الحصى بالموجات الصادمة لصالح الأمن الوطني
عدد الصفحات: 1/2
AVIS D'ATTRIBUTION PROVISOIRE/*
الزبون: COMMUNE D'AIN BESSEM WILAYA DE BOUIRA
النوع: AVIS D'ATTRIBUTION PROVISOIRE/*
موضوع: APPROVISIONNEMENT DES CANTINES SCOLAIRES EN DENREES ALIMENTAIRES POUR ANNEE 2026
عدد الصفحات: 1/4
إعلان عن طلب عروض وطني مفتوح مع اشتراط قدرات دنيا 02/2026
الزبون: مديرية التهيئة الحضرية وإعادة هيكلة الأحياء ولاية الجزائر
النوع: إعلان عن طلب عروض وطني مفتوح مع اشتراط قدرات دنيا 02/2026
موضوع: انجاز أشغال تدعيم الممرات المخصصة للراجلين الواقعة تحت الأقواس
عدد الصفحات: 1/4
AVIS D'ATTRIBUTION PROVISOIRE DU MARCHE*/
الزبون: كوسيدار
النوع: AVIS D'ATTRIBUTION PROVISOIRE DU MARCHE*/
موضوع: LA PRESTATION DE RESTAURATION DU PERSONNEL DE L'UNITE P33 SITUEE A OUED SEMAR WILAYA DE ALGER
عدد الصفحات: 1/4
//إعلان عن طلب عروض مفتوح مع اشتراط قدرات دنيا رقم 37/2025
الزبون: بلدية عين فارس ولاية معسكر
النوع: //إعلان عن طلب عروض مفتوح مع اشتراط قدرات دنيا رقم 37/2025
موضوع: انجاز شبكة الصرف الصحي بدوار سيدي أحمد بن يوسف عين فارس الشطر …
عدد الصفحات: 1/4
اعلان عن طلب العروض المفتوح مع اشتراط قدرات دنيا رقم 10/2025
الزبون: بلدية مديونة ولاية غليزان
النوع: اعلان عن طلب العروض المفتوح مع اشتراط قدرات دنيا رقم 10/2025
موضوع: اعادة تأهيل الطريق دوار اولاد الميسوم على مسافة 03 كلم بلدية …
عدد الصفحات: 1/4
/إعلان عن منح مؤقت /
الزبون: مؤسسة إعادة التربية والتأهيل لتيارت
النوع: /إعلان عن منح مؤقت /
موضوع: اقتناء المواد الغذائية
عدد الصفحات: 1/2
AVIS D'ATTRIBUTION PROVISOIRE DE L’APPEL D’OFFRE NATIONAL OUVERT AVEC EXIGENCE DE CAPACITÉS MINIMALES*/
الزبون: DIRECTION DES TRAVAUX PUBLICS DE LA WILAYA DE SOUK AHRAS
النوع: AVIS D'ATTRIBUTION PROVISOIRE DE L’APPEL D’OFFRE NATIONAL OUVERT AVEC EXIGENCE DE CAPACITÉS MINIMALES*/
موضوع: TRAVAUX D’ENTRETIEN DE 04 OUVRAGES D’ART SUR RN - PROG 2026
عدد الصفحات: 1/4
/*إعلان عن منح مؤقت/*
الزبون: ديوان الترقية والتسيير العقاري ولاية سكيكدة
النوع: /*إعلان عن منح مؤقت/*
موضوع: انجاز أشغال الطرق والشبكات المختلفة الثلاثية ل 70 مسكن عمومي …
عدد الصفحات: 1/4
إعلان عن طلب العروض المفتوح مع اشتراط قدرات دنيا رقم 03/2026
الزبون: مديرية الأشغال العمومية لولاية باتنة
النوع: إعلان عن طلب العروض المفتوح مع اشتراط قدرات دنيا رقم 03/2026
موضوع: صيانو الطرق الوطنية حصة 2026
عدد الصفحات: 1/2
إعلان عن المنح المؤقت للصفقة رقم 03/2026
الزبون: مديرية التجهيزات العمومية لولاية سطيف
النوع: إعلان عن المنح المؤقت للصفقة رقم 03/2026
موضوع: دراسة ومتابعة لانجاز متوسطة نمط 6 بموقع 600 مسكن بالقطب الحضري …
عدد الصفحات: 1/4
إعلان عن طلب عروض مفتوح مع اشتراط قدرات دنيا رقم 33/2025
الزبون: مديرية التجهيزات العمومية ولاية المنيعة
النوع: إعلان عن طلب عروض مفتوح مع اشتراط قدرات دنيا رقم 33/2025
موضوع: انجاز 05 BRIIC سكنات بالمنيعة
عدد الصفحات: 1/2
إعلان عن طلب العروض الوطني المفتوح مع اشتراط قدرات دنيا رقم 05/2026
الزبون: مديرية الأشغال العمومية ولاية ورقلة
النوع: إعلان عن طلب العروض الوطني المفتوح مع اشتراط قدرات دنيا رقم 05/2026
موضوع: تحديث الطريق الوطني رقم 03 بحاسي مسعود من ن ك 825 000 الى ن ك 871 000 على …
عدد الصفحات: 1/2
الإثنين 19 جانفي 2026
اعلان عن طلب عروض وطني مفتوح مع اشتراط قدرات دنيا رقم 02/2026
الزبون: بلدية اولاد عيسى ولاية تيميمون
النوع: اعلان عن طلب عروض وطني مفتوح مع اشتراط قدرات دنيا رقم 02/2026
موضوع: المراقبة والصيانة الجزئية للطرق البلدية مع انجاز ممهلات
عدد الصفحات: 1/2
AVIS D'APPEL D'OFFRES NATIONAL OUVERT AVEC EIGENCE DES CAPACITES MINIMALES N 24/2026
الزبون: DIRECTION DE L'ADMINISTRATION LOCALE WILAYA DE SETIF
النوع: AVIS D'APPEL D'OFFRES NATIONAL OUVERT AVEC EIGENCE DES CAPACITES MINIMALES N 24/2026
موضوع: LA REALISATION D'UN GRADIN DU STADE MUNICIPAL DE LA COMMUNE DE KASR EL ABTAL
عدد الصفحات: 1/2
AVIS D’APPEL D’OFFRES NATIONAL OUVERT AVEC EXIGENCE DE CAPACITES MINIMALES N°09/DRAE/AADL/2026
الزبون: -AADL - DIRECTION REGIONALE D’ALGER EST
النوع: AVIS D’APPEL D’OFFRES NATIONAL OUVERT AVEC EXIGENCE DE CAPACITES MINIMALES N°09/DRAE/AADL/2026
موضوع: l’étude géotechnique de l’assiette de terrain du projet des 2500 logements (site 06) location-vente en TCE …
عدد الصفحات: 1/2
إعلان عن طلب عروض وطني مفتوح رقم 69/2025
الزبون: المديرية العامة للأمن الوطني
النوع: إعلان عن طلب عروض وطني مفتوح رقم 69/2025
موضوع: اقتناء بذلات البحر
عدد الصفحات: 1/2
*إعلان عن المنح المؤقت للصفقة
الزبون: وزارة العمل والتشغيل والضمان الإجتماعي
النوع: *إعلان عن المنح المؤقت للصفقة
موضوع: اقتناء أجهزة الإعلام الألي لفائدة المصالح المركزية والمصالح …
عدد الصفحات: 1/4
إعلان عن إلغاء إجراء لطلب العروض المفتوح مع اشتراط قدرات دنيا رقم 3/2025
الزبون: الوكالة الوطنية للعقار السياحي
النوع: إعلان عن إلغاء إجراء لطلب العروض المفتوح مع اشتراط قدرات دنيا رقم 3/2025
موضوع: متابعة ومراقبة أشغال تهيئة عشر مناطق توسع ومواقع السياحية
عدد الصفحات: 1/4
CONCOURS NATIONAL D4ARCHITECTURE RESTREINT N 01/2026
الزبون: DIRECTION DES EQUIPEMENT PUBLICS DE LA WILAYA D'ELTAREF
النوع: CONCOURS NATIONAL D4ARCHITECTURE RESTREINT N 01/2026
موضوع: ETUDE ET SUIVI POUR LA REALISATION D'UNE COMPAGNIE D'INTERVENTION RAPIDE 06 LOGEMENTS A DREAN EL TARF
عدد الصفحات: 1/2
AVIS D'ATTRIBUTION PROVISOIRE ET D'INFRUCTUSIOTE
الزبون: DIRECTION DE L'HYDRAULIQUE
النوع: AVIS D'ATTRIBUTION PROVISOIRE ET D'INFRUCTUSIOTE
موضوع: REALISATION DES RESERVOIR AVEC RACCORDEMENT AUX RESEAUX A TRAVERS LES COMMUNES DE LA WILAYA BATNA
عدد الصفحات: 1/4
AVIS D'APPEL D'OFFRES NATIONAL OUVERT AVEC EXIGENCE DESµ CAPACITES MINIMALES N 15/2025
الزبون: UNIVERSITE CONSTANTNE 1 FRERES MENTOURI
النوع: AVIS D'APPEL D'OFFRES NATIONAL OUVERT AVEC EXIGENCE DESµ CAPACITES MINIMALES N 15/2025
موضوع: REALISATION DES TRAVAUX D'ETANCHEITE DU BATIMENT POLE DE RECHERCHE CHAAB ERSSAS AU PROFIT DE L'UNIVERSITE CONSTANTINE 1
عدد الصفحات: 1/2
Avis d’appel d’offres ouvert avec exigence de capacité minimales N°03 /2025
الزبون: DIRECTION DE LA CULTURE ET DES ARTS DE LA WILAYA DE MOSTAGANEM
النوع: Avis d’appel d’offres ouvert avec exigence de capacité minimales N°03 /2025
موضوع: « la restauration de l’ancienne muraille de SOUR à Mostaganem »
عدد الصفحات: 1/2
**AVIS D'APPEL D'OFFRES OUVERT AVEC EXIGENCE DE CAPACITES MINIMALES
الزبون: COMMUNE DE RAHOUIA WILAYA DE TIARET
النوع: **AVIS D'APPEL D'OFFRES OUVERT AVEC EXIGENCE DE CAPACITES MINIMALES
موضوع: REHABILITATION DU CC RELIANT RN 23 A ZAOUIA CHEIKH BENAISSA ET L'AXE DE L'ECOLE TURKI ALI SUR 05.600 KMS "2eme tranche …
عدد الصفحات: 1/4
AVIS D'APPEL D'OFFRES OUVERT AVEC EXIGENCE DE CAPACITES MINIMALES***
الزبون: COMMUNE ANCOR WILAYA D'ORAN
النوع: AVIS D'APPEL D'OFFRES OUVERT AVEC EXIGENCE DE CAPACITES MINIMALES***
موضوع: approvisionnement des cantines scolaires en produits alimentaires année 2026
عدد الصفحات: 1/4
إعلان عن طلب عروض مفتوح مع اشتراط قدرات دنيا ///
الزبون: بلدية الرحوية ولاية تيارت
النوع: إعلان عن طلب عروض مفتوح مع اشتراط قدرات دنيا ///
موضوع: انجاز خزان مائي بسعة 500 م3 وانجاز شبكة المياه الصالحة للشرب لدوار …
عدد الصفحات: 1/4
الأحد 18 جانفي 2026
AVIS D'ATTRIBUTION PROVISOIRE NIF 099826019002719
الزبون: WILAYA DE MÉDÉA DIRECTION DES ÉQUIPEMENTS PUBLICS
النوع: AVIS D'ATTRIBUTION PROVISOIRE NIF 099826019002719
موضوع: Etude et suivi pour la réalisation d'une école primaire type 2 au niveau du site des 1265 logements du pole urbain …
عدد الصفحات: 1/4
AVIS I)'APPEL D'OFFRE NATIONAL OUVERT AVEC EXIGENCE DE CAPACITE MINIMALE N°: 02/2026
الزبون: Wilaya : Blida Daïra : Ouled Yaich CoinmuiLe : Beni Mered
النوع: AVIS I)'APPEL D'OFFRE NATIONAL OUVERT AVEC EXIGENCE DE CAPACITE MINIMALE N°: 02/2026
موضوع: Aménagemeriî ET Revêtemeii± diirers quarier Khazroum beni mered
عدد الصفحات: 1/4
2em AVIS D'INFRUCTUOSITE
الزبون: DIRECTION DES TRAVAUX PUBLICS DE LA WILAYA DE LAGHOUAТ
النوع: 2em AVIS D'INFRUCTUOSITE
موضوع: Entretien des Routes Nationales Exercice 2025
عدد الصفحات: 1/4
*إعلان عن منح مؤقت للصفقة
الزبون: مديرية التجهيزات العمومية لولاية البويرة
النوع: *إعلان عن منح مؤقت للصفقة
موضوع: دراسة ومتابعة لانجاز متوسطة نوح 06 على مستوى 180LPL 320 LPL بئر اغبالو …
عدد الصفحات: 1/4
Avis d'Atti2ibution Provlsoire de Marché
الزبون: Ministère de l'Habitat de l'Urbanisme, de la Ville et de I'Aménagement du Territoire
النوع: Avis d'Atti2ibution Provlsoire de Marché
موضوع: Réalisation des Aménagements extérieurs au niveau du quartier 20, Commune de Rahmania
عدد الصفحات: 1/4
AVIS D'APPEL D'OFFRES NATIONAL OUVERT AVEC EXIGENCE DE CAPACITES MI NIMALES N°29/ADA/2024 (Relance) « ENTRETIEN DES AXES AUTOROUTIERS
الزبون: Ministèi.e des Travaux Publics et des lnfrastructures de Base AIGERIENNE DES AUTOROUTES
النوع: AVIS D'APPEL D'OFFRES NATIONAL OUVERT AVEC EXIGENCE DE CAPACITES MI NIMALES N°29/ADA/2024 (Relance) « ENTRETIEN DES AXES AUTOROUTIERS
موضوع: Acquisition des moyens de l'entretien : TROIS (03) MAclilNES DE MARQUAGE HORIZONTAL
عدد الصفحات: 1/4
Avis d’appel d'offres national ouvert avec exigence de capacités minimales N° 01/2026
الزبون: ILAYA DE SOUK AHRAS DIRECTION DE L’URBANISME, L’ARCHITECTURE ET LA CONSTRUCTION
النوع: Avis d’appel d'offres national ouvert avec exigence de capacités minimales N° 01/2026
موضوع: Réalisation des Travaux de VRD Primaires et Secondaires à travers la wilaya de Souk Ahras
عدد الصفحات: 1/2
***إعلان عن عدم جدوى***
الزبون: ديوان الترقية والتسيير العقاري ولاية سكيكدة
النوع: ***إعلان عن عدم جدوى***
موضوع: انجاز اشغال الاعدة الصاعدة للغاز على مستوى ولاية سكيكدة
عدد الصفحات: 1/4
مسابقة الهندسة المعمارية الوطنية المحدودة (التحكم في المشروع)
الزبون: عدل ورقلة
النوع: مسابقة الهندسة المعمارية الوطنية المحدودة (التحكم في المشروع)
موضوع: دراسة ومتابعة انجاز مشروع 250 مسكن بصيغة البيع بالايجار في جميع …
عدد الصفحات: 3/4
إعلان عن طلب عروض وطني مفتوح مع اشتراط قدرات دنيا رقم 2025/19
الزبون: مديرية التعمير والهندسة المعمارية والبناء لولاية المغير
النوع: إعلان عن طلب عروض وطني مفتوح مع اشتراط قدرات دنيا رقم 2025/19
موضوع: تهيئة محاور دوران
عدد الصفحات: 1/4
مسابقة معمارية وطنية محدودة رقم 44/2025
الزبون: مديرية التجهيزات العمومية ولاية سعيدة
النوع: مسابقة معمارية وطنية محدودة رقم 44/2025
موضوع: الدراسة والمتابعة من اجل ثانوية تعويضية لثانوية قاضي محمد نوع …
عدد الصفحات: 1/2
مسابقة معمارية وطنية محدودة رقم 43/ 2025
الزبون: مديرية التجهيزات العمومية ولاية سعيدة
النوع: مسابقة معمارية وطنية محدودة رقم 43/ 2025
موضوع: الدراسة والمتابعة من اجل انجاز ثانوية نوع 200/600 وجهة بسيدي عيسى …
عدد الصفحات: 1/2
CONCOURS NATIONAL D'ARCHITECTURE RESTREINT N 52/2025
الزبون: AADL CONSTANTINE
النوع: CONCOURS NATIONAL D'ARCHITECTURE RESTREINT N 52/2025
موضوع: ETUDE ET SUIVI DE LA REALISATION EN TCE DES 1000 LOGEMENTS EN LOCATION-VENTE AVEC LOCAUX A USAGE COMMERCIAL …
عدد الصفحات: 1/2
الخميس 15 جانفي 2026
الاعلان الثاني عن طلب عروض وطني مفتوح مع اشتراط قدرات دنيا رقم 22/2025
الزبون: مديرية الأشغال العمومية لولاية برج باجي مختار
النوع: الاعلان الثاني عن طلب عروض وطني مفتوح مع اشتراط قدرات دنيا رقم 22/2025
موضوع: انجاز عصرنة الطريق الوطني رقم 06 على مسافة 150 كلم من ن ك 000 2013 الى ن ك …
عدد الصفحات: 1/2
AVIS D’ATTRIBUTION PROVISOIRE N° 04/2026
الزبون: Direction des Equipements Publics de la Wilaya de Blida
النوع: AVIS D’ATTRIBUTION PROVISOIRE N° 04/2026
موضوع: l’Étude et Suivi pour la réalisation d’un collège N° 01 type 6 au niveau du site des …
عدد الصفحات: 1/4
AVIS D'ATTRIBUTION PROVISOIRE DE MARCHES
الزبون: DIRECTION DES OEUVRES UNIVERSITAIRE TIZI OUZOU TAMDA
النوع: AVIS D'ATTRIBUTION PROVISOIRE DE MARCHES
موضوع: L'APPROVISIONNEMENT DES RESIDENCES UNIVERSITAIRES EN DENREES ALIMENTAIRES
عدد الصفحات: 1/4
AVIS D'APPEL D'OFFRES NATIONAL RESTREINT N 78/2025
الزبون: COSIDER
النوع: AVIS D'APPEL D'OFFRES NATIONAL RESTREINT N 78/2025
موضوع: LA FOURNITURE ET POSE DE DE PORTES COUPE-FEU du projet situé a ouregla
عدد الصفحات: 1/4
إعلان عن المنح مؤقت للصفقة
الزبون: بلدية أوزلاقن ولاية بجاية
النوع: إعلان عن المنح مؤقت للصفقة
موضوع: تزويد المنتجات الغذائية لصالح المطاعم المدرسية لبلدية أوزلاقن …
عدد الصفحات: 1/4
إعلان رقم 01/2026 عن منح مؤقت للصفقة
الزبون: بلدية سيدي عيسى ولاية المسيلة
النوع: إعلان رقم 01/2026 عن منح مؤقت للصفقة
موضوع: تهيئة وتعبيد حي 08 ماي 1945 الجهة الغربية بسيدي عيسى
عدد الصفحات: 1/4
*إعلان عن طلب عروض وطني مفتوح رقم 01/2026
الزبون: المديرية العامة للأمن الوطني
النوع: *إعلان عن طلب عروض وطني مفتوح رقم 01/2026
موضوع: اقتناء مختلف أنواع أوراق الطباعة
عدد الصفحات: 1/2
إعلان عن طلب عروض وطني مفتوح مع اشتراط قدرات دنيا رقم 44/2025
الزبون: المديرية العامة للأمن الوطني
النوع: إعلان عن طلب عروض وطني مفتوح مع اشتراط قدرات دنيا رقم 44/2025
موضوع: اقتناء مخابز ومطابخ متنقلة
عدد الصفحات: 1/2
**إعلان عن طلب عروض وطني مفتوح رقم 01/2026
الزبون: المديرية العامة للأمن الوطني
النوع: **إعلان عن طلب عروض وطني مفتوح رقم 01/2026
موضوع: اقتناء الوراقة وأدوات المكتب
عدد الصفحات: 1/4
الاعلان عن المنح المؤقت وعدم جدوى **
الزبون: بلدية يلل ولاية غليزان
النوع: الاعلان عن المنح المؤقت وعدم جدوى **
موضوع: كراء حافلات النقل المدرسي للسنة المالية 2026
عدد الصفحات: 1/4
الاعلان عن طلب عروض مفتوح مع اشتراط قدرات دنيا رقم 50/2025
الزبون: مديرية الاشغال العمومية ولاية النعامة
النوع: الاعلان عن طلب عروض مفتوح مع اشتراط قدرات دنيا رقم 50/2025
موضوع: اعادة بناء منشأ فني على مستوى الطريق الولائي 05 من ن ك 17 600 واد …
عدد الصفحات: 1/2
AVIS D'UN APPEL D'OFFRES OUVERT AVEC EXIGENCE DE CAPACITES MINIMALES N 28/
الزبون: DIRECTION DE L'EDUCATION WILAYA DE TEBESSA
النوع: AVIS D'UN APPEL D'OFFRES OUVERT AVEC EXIGENCE DE CAPACITES MINIMALES N 28/
موضوع: ETUDE SUIVI AMENAGEMENT ET REHABILITATION DES ETABLISSEMENTS SCOLAIRES DU CYCLE MOYEN
عدد الصفحات: 3/4
إعلان عن طلب عروض وطني مفتوح مع اشتراط قدراد دنيا رقم 01/2025
الزبون: مديرية المصالح الفلاحية لولاية جيجل
النوع: إعلان عن طلب عروض وطني مفتوح مع اشتراط قدراد دنيا رقم 01/2025
موضوع: اعادة بعث النشاط الفلاحي تبعا للأضرار الناجمة عن الفياضانات …
عدد الصفحات: 1/4
إعلان عن منح مؤقت لصفقة */*/
الزبون: مديرية الشباب والرياضة
النوع: إعلان عن منح مؤقت لصفقة */*/
موضوع: تهيئة ملعب كرة القدم بتيمقاد
عدد الصفحات: 1/4
الأربعاء 14 جانفي 2026
قرار فسخ
الزبون: opgi باتنة
النوع: قرار فسخ
موضوع: انجاز 30/1500 مسكن عمومي إيجاري ببلدية تيغرغار ولاية باتنة
عدد الصفحات: 1/2
إعلان عن طلب عروض وطني مفتوح رقم 01/2026
الزبون: المديرية العامة للأمن الوطني
النوع: إعلان عن طلب عروض وطني مفتوح رقم 01/2026
موضوع: اقتناء قطع غيار المركبات الادارية لفائدة المصلحة الجهوية …
عدد الصفحات: 1/2
*AVIS D’INFRUCTUOSITÉ
الزبون: DIRECTION DES EQUIPEMENTS PUBLICS De la de WILAYA DE TIMIMOUN
النوع: *AVIS D’INFRUCTUOSITÉ
موضوع: Réalisation d’une Brigade Mobile de la police judiciaire avec (08) logements à Timimoun Dans le cadre de …
عدد الصفحات: 1/4
*/اعلان عن منح مؤقت */
الزبون: مديرية الري لولاية الشلف
النوع: */اعلان عن منح مؤقت */
موضوع: انجاز خزان 250 م3 بالقلالوة اولاد بن عبد القادر وخزان 250 م3 بالملح …
عدد الصفحات: 1/4
Avis d’appel d’offre national ouvert avec exigence de capacités minimales N° 03…/2026
الزبون: WILAYA DE TISSEMSILT Direction de l’urbanisme, de l’Architecture et de la construction
النوع: Avis d’appel d’offre national ouvert avec exigence de capacités minimales N° 03…/2026
موضوع: Amélioration Urbaine à Travers Les Wilaya, VRD Primaires Et Secondaires Des Nouveau Intitulé de …
عدد الصفحات: 1/2
AVIS D'ATTRIBUTION PROVISOIRE */
الزبون: INSTITUT NATIONAL DE FORMATION SUPERIEURE PARAMEDICALE CONSTANTINE
النوع: AVIS D'ATTRIBUTION PROVISOIRE */
موضوع: LA FOURNITURE DES DENREES ALIMENTAIRE
عدد الصفحات: 1/4
AVIS D'APPEL D'OFFRES OUVERT AVEC EXIGENCE DE CAPACITES MINIMALES POUR LA 2 EME FOIS
الزبون: COMMUNE DE TAMZA WILAYA DE KHENCHELA
النوع: AVIS D'APPEL D'OFFRES OUVERT AVEC EXIGENCE DE CAPACITES MINIMALES POUR LA 2 EME FOIS
موضوع: Réhabilitation chemin communal reliant entre tamza centre de foisonnement en passant par cimetiere islamique sur 3 klm
عدد الصفحات: 1/4
AVIS D’ATTRIBUTION PROVISOIRE DU MARCHE*
الزبون: WILAYA DE TLEMECEN DAIRA DE BENI SNOUS COMMUNE D’AZAILS
النوع: AVIS D’ATTRIBUTION PROVISOIRE DU MARCHE*
موضوع: Achèvement de Réalisation du siège Commune d’Azails « 3ème tranche »
عدد الصفحات: 1/4
إعلان عن طلب العروض المفتوح مع اشتراط قدرات دنيا رقم 10/2025
الزبون: مديرية الإدارة المحلية ولاية غليزان
النوع: إعلان عن طلب العروض المفتوح مع اشتراط قدرات دنيا رقم 10/2025
موضوع: تهيئة وتصليح دار الضيوف بالولاية
عدد الصفحات: 1/2
إعلان مسابقة وطنية محدودة في الهندسة المعمارية رقم 31/2025
الزبون: ديوان الترقية والتسيير العقاري المغير
النوع: إعلان مسابقة وطنية محدودة في الهندسة المعمارية رقم 31/2025
موضوع: مسابقة في الهندسة المعمارية
عدد الصفحات: 1/2
*إعلان عن طلب عروض وطني مفتوح مع اشتراط قدرات دنيا رقم 01/2026
الزبون: مديرية الإدارة المحلية لولاية ورقلة
النوع: *إعلان عن طلب عروض وطني مفتوح مع اشتراط قدرات دنيا رقم 01/2026
موضوع: انجاز مدرسة الشرطة بورقلة
عدد الصفحات: 1/2
*إعلان عن منح مؤقت*-
الزبون: مديرية التكوين والتعليم المهنيين سوق أهراس
النوع: *إعلان عن منح مؤقت*-
موضوع: اقتناء تكملة تجهيز لمركز التكوين المهني والتمهيين بالحدادة
عدد الصفحات: 1/4
إعلان عن المنح المؤقت للصفقات */
الزبون: مديرية الري لولاية سوق اهراس
النوع: إعلان عن المنح المؤقت للصفقات */
موضوع: اعادة تاهيل مقاطع من شبكة التزويد بالمياه الصالحة للشرب عبر …
عدد الصفحات: 1/4
اعلان عن عدم جدوى*/
الزبون: مديرية التكوين والتعليم المهنيين لولاية عنابة
النوع: اعلان عن عدم جدوى*/
موضوع: اشغال هدم واعادة بناء الجناح البيداغوجي والجناح الاداري واعادة …
عدد الصفحات: 1/4
الثلاثاء 13 جانفي 2026
إعلان عن ثاني طلب عروض وطني مفتوح مع اشتراط قدرات دنيا رقم 01/2026
الزبون: مؤسسة التسيير السياحي للوسط
النوع: إعلان عن ثاني طلب عروض وطني مفتوح مع اشتراط قدرات دنيا رقم 01/2026
موضوع: تزويد وتركيب وتشغيل معدات المطابخ المهنية ووحدات غرف التبريد / …
عدد الصفحات: 1/4
إعلان عن المنح المؤقت لطلب العروض الوطني المفتوح مع اشتراط قدرات دنيا رقم 33/2025
الزبون: المديرية العامة للأمن الوطني
النوع: إعلان عن المنح المؤقت لطلب العروض الوطني المفتوح مع اشتراط قدرات دنيا رقم 33/2025
موضوع: اقتناء مستهلكات خاصة بالمخبر العلمي والتقني
عدد الصفحات: 1/2
إعلان عن طلب عروض وطني مفتوح رقم 56/2025
الزبون: المديرية العامة للأمن الوطني
النوع: إعلان عن طلب عروض وطني مفتوح رقم 56/2025
موضوع: اقتناء مختلف الأقمشة
عدد الصفحات: 1/2
إعلان عن طلب عروض وطني مفتوح مع اشتراط قدرات دنيا رقم 31/2025
الزبون: مديرية التجهيزات العمومية لولاية البويرة
النوع: إعلان عن طلب عروض وطني مفتوح مع اشتراط قدرات دنيا رقم 31/2025
موضوع: انجاز 04 اقسام توسيعية بالابتدائية لاندري شعبان بلدية البويرة
عدد الصفحات: 1/2
avis d'appel d'offre national ouvert avec exigence de capacites minimales n 01/2026
الزبون: direction de l'administration locale wilaya d'illizi
النوع: avis d'appel d'offre national ouvert avec exigence de capacites minimales n 01/2026
موضوع: fournir les denrées alimentaires les évenements spéciales et les journées nationaux feries pour l'année 2026
عدد الصفحات: 1/4
اعلان عن المناقصة للتأهل المسبق الدولي المفتوحة رقم 02/2026
الزبون: جيزي
النوع: اعلان عن المناقصة للتأهل المسبق الدولي المفتوحة رقم 02/2026
موضوع: التاهل المسبق لتشكيل قائمة مختصرة من الشركاء المتخصصين
عدد الصفحات: 1/4
اعلان عن طلب عروض وطني مفتوح مع اشتراط قدرات دنيا رقم 01/2026
الزبون: بلدية وادي النجاء ولاية ميلة
النوع: اعلان عن طلب عروض وطني مفتوح مع اشتراط قدرات دنيا رقم 01/2026
موضوع: متابعة وانجاز
عدد الصفحات: 1/2
اعلان عن منح مؤقت */***
الزبون: بلدية غليزان ولاية غليزان
النوع: اعلان عن منح مؤقت */***
موضوع: تموين مطاعم المدارس الابتدائية
عدد الصفحات: 1/4
اعلان عن الغاء طلب العروض الوطني المفتوح مع اشتراط قدرات دنيا /*
الزبون: بلدية حرشون ولاية الشلف
النوع: اعلان عن الغاء طلب العروض الوطني المفتوح مع اشتراط قدرات دنيا /*
موضوع: تموين المطاعم المدرسية للسنة المالية 2026
عدد الصفحات: 1/4
Avis D'appel D'offres Ouvert Avec Exigence De Capacités Minimales N° 02/2025
الزبون: Wilaya De Mascara Daïra De Tighennif Commune De Sehailia
النوع: Avis D'appel D'offres Ouvert Avec Exigence De Capacités Minimales N° 02/2025
موضوع: Entretien Dun Chemin Reliant CV05 au Douar O/Kada sur 2,200 Km
عدد الصفحات: 1/4
إعذار أول *
الزبون: بلدية بوسمغون ولاية البيض
النوع: إعذار أول *
موضوع: تجديد شبكة الصرف الصحي بالاحياء القديمة ببوسمغون للقضاء على …
عدد الصفحات: 1/4
اعلان للمرة الثانية عن طلب العروض المفتوح مع اشتراط قدرات دنيا رقم 02/2025
الزبون: بلدية الحشم ولاية معسكر
النوع: اعلان للمرة الثانية عن طلب العروض المفتوح مع اشتراط قدرات دنيا رقم 02/2025
موضوع: كراء حافلات لنقل التلاميذ المتمدرسين لسنة 2026
عدد الصفحات: 1/4
AVIS POUR UN CONCOURS NATIONAL D'ARCHITECTURE RESTREINT AVEC EXIGENCE DES CAPACITES MINIMALES N° 30 /2025
الزبون: DIRECTION ADMINISTRATION LOCALE DE LA WILAYA D’OUARGLA
النوع: AVIS POUR UN CONCOURS NATIONAL D'ARCHITECTURE RESTREINT AVEC EXIGENCE DES CAPACITES MINIMALES N° 30 /2025
موضوع: ETUDE ET SUIVI POUR LA REALISATION D’UNE STRUCTURE ADMINISTRATIVE AU NIVEAU DU POLE URBAIN DU 27 FEVRIER 1962
عدد الصفحات: 1/4
اعلان عن تصحيح منح مؤقت لصفقة
الزبون: مديرية الري لولاية ان صالح
النوع: اعلان عن تصحيح منح مؤقت لصفقة
موضوع: انجاز خزان مائي بسعة 1000 م3 مع الربط بمحطة الضخ بان غار ولاية ان …
عدد الصفحات: 1/4
AVIS De Résultat des Candidatures Du Concours National D'architecture N 25 /2025
الزبون: WILAYA D' EL M’GHAIER DIRECTION DES EQUIPEMENTS PUBLICS
النوع: AVIS De Résultat des Candidatures Du Concours National D'architecture N 25 /2025
موضوع: ETUDE ET SUIVI POUR LA REALISATION D'UN LYCEE 1000 AU NIVEAU DU SITE LPL1160 POS 11 A COMMUNE ELMEGHAIER …
عدد الصفحات: 1/4
اعلان عن انتقاء أولي رقم 26/2025
الزبون: مديرية التجهيزات العمومية ولاية المغير
النوع: اعلان عن انتقاء أولي رقم 26/2025
موضوع: دراسة، متابعة لانجاز متوسطة نوع 6 على مستوى موقع LPL 1160 POS11 ببلدية …
عدد الصفحات: 1/4
الأحد 11 جانفي 2026
avis d'appel d'offre national ouvert n 90/2025
الزبون: direction de l'education wilaya de bejaia
النوع: avis d'appel d'offre national ouvert n 90/2025
موضوع: materiel de sport
عدد الصفحات: 1/4
avis d'appel d'offre national ouvert n 01/2025
الزبون: commune d'ain naga wilaya de biskra
النوع: avis d'appel d'offre national ouvert n 01/2025
موضوع: revetement du chemin communal n 230 reliant la rn 83 a la zone eldjallaia sur 5 km commune d'ain naga
عدد الصفحات: 1/4
إعلان عن طلب عروض وطني مفتوح مع اشتراط قدرات دنيا رقم 01/2026
الزبون: بلدية بوروبة ولاية الجزائر
النوع: إعلان عن طلب عروض وطني مفتوح مع اشتراط قدرات دنيا رقم 01/2026
موضوع: اشغال تهيئة وانجاز موزعة على حصص متفرقة
عدد الصفحات: 1/2
deuxieme avis d'appel d'offre ouvert avec exigence de capacites minimales n 70/2025
الزبون: direction des equipement publics wilaya de laghouat
النوع: deuxieme avis d'appel d'offre ouvert avec exigence de capacites minimales n 70/2025
موضوع: etude, suivi et realisation d'un collége type 06 au niveau lotissement sociaux 600 logement a la commune de laghouat
عدد الصفحات: 1/4
AVIS D’APPEL D’OFFRES NATIONAL OUVERT AVEC EXIGENCE DE CAPACITE MINIMAL N°02 / DEP/2026
الزبون: DIRECTION DES EQUIPEMENTS PUBLICS DE LA WILAYA DE TIZI OUZOU
النوع: AVIS D’APPEL D’OFFRES NATIONAL OUVERT AVEC EXIGENCE DE CAPACITE MINIMAL N°02 / DEP/2026
موضوع: RÉALISATION D’UN LYCÉE TYPE 800/200R AIT BOUADOU COMMUNE D’AIT BOUADOU
عدد الصفحات: 1/4
إعادة اعلان عن طلب عروض وطني مفتوح مع اشتراط قدرات دنيا رقم 03/2025
الزبون: مؤسسة مترو الجزائر
النوع: إعادة اعلان عن طلب عروض وطني مفتوح مع اشتراط قدرات دنيا رقم 03/2025
موضوع: انجاز خدمات التحضير لاستغلال نظام المصعد الهوائي لمدينة تيزي وزو
عدد الصفحات: 1/2
avis d'appel d'offres ouvert avec exigence de capacites minimales n 25/2025
الزبون: commune des eucalyptuswilaya d'alger
النوع: avis d'appel d'offres ouvert avec exigence de capacites minimales n 25/2025
موضوع: travaux de realisation d'une salle de sport a la cite dalia
عدد الصفحات: 1/4
INVITATION DES CANDIDATS PRESELECTIONNES AU CONCOURS NATIONAL D4ARCHITECTURE RESTREINT N 192/2025
الزبون: AADL D'ALGER EST
النوع: INVITATION DES CANDIDATS PRESELECTIONNES AU CONCOURS NATIONAL D4ARCHITECTURE RESTREINT N 192/2025
موضوع: etude et suivi des travaux de realisation de 2000 logements "site 01" location vente en tce avec locaux a usage …
عدد الصفحات: 1/4
مسابقة الهندسة المعمارية الوطنية المحدودة رقم 03/2026
الزبون: عدل عنابة
النوع: مسابقة الهندسة المعمارية الوطنية المحدودة رقم 03/2026
موضوع: دراسة ومتابعة اشغال انجاز 1000/3800 مسكن "صيغة البيع بالايجار جميع …
عدد الصفحات: 3/4
AVIS DAPPEL DOFFRE NATIONAM OUVERT
الزبون: COMMUNE DE MANSOURAH
النوع: AVIS DAPPEL DOFFRE NATIONAM OUVERT
موضوع: ALIMENTATION SCOLAIRE DUREE DE LANNEE 2026
عدد الصفحات: 1/4
اعلان عن طلب عروض وطني مفتوح مع اشتراط قدرات دنيا رقم 26/2025
الزبون: مديرية الاشغال العمومية ولاية تيارت
النوع: اعلان عن طلب عروض وطني مفتوح مع اشتراط قدرات دنيا رقم 26/2025
موضوع: تهيئة المنحدرات عبر مدينة تيارت
عدد الصفحات: 1/2
مسابقة الهندسة المعمارية الوطنية المحدودة رقم 44/2025
الزبون: عدل سطيف
النوع: مسابقة الهندسة المعمارية الوطنية المحدودة رقم 44/2025
موضوع: دراسة ومتابعة اشغال انجاز 1300 مسكن صيغة البيع بالايجار مع محلات …
عدد الصفحات: 1/2
إعلان عن طلب عروض مفتوح مع اشتراط قدرات دنيا رقم 11/2025
الزبون: بلدية توقرت
النوع: إعلان عن طلب عروض مفتوح مع اشتراط قدرات دنيا رقم 11/2025
موضوع: اعادة تأهيل ساحات لعب للمدارس الابتدائية -الطالب بابا- تاتاي محمد …
عدد الصفحات: 1/4
الخميس 08 جانفي 2026
إعلان عن طلب العروض الوطني المفتوح مع اشتراط قدرات دنيا رقم 82/2025
الزبون: المديرية العامة للأمن الوطني
النوع: إعلان عن طلب العروض الوطني المفتوح مع اشتراط قدرات دنيا رقم 82/2025
موضوع: انجاز اشغال اعادة تاهيل مقر المديرية العامة للأمن الوطني
عدد الصفحات: 1/2
اعذار رقم 01*/
الزبون: ديوان الترقية والتسيير العقاري للبويرة
النوع: اعذار رقم 01*/
موضوع: انجاز جميع الهياكل، الطرق والشبكات المختلفة + التجاري
عدد الصفحات: 1/4
إعلان عن إلغاء المنح المؤقت لصفقة
الزبون: بلدية عين بسام ولاية بويرة
النوع: إعلان عن إلغاء المنح المؤقت لصفقة
موضوع: تموين المطاعم المدرسية خلال سنة 2026: حصة رقم 03 اللحوم الحمراء …
عدد الصفحات: 1/4
اعلان عن طلب العروض المفتوح مع اشتراط قدرات دنيا رقم 2025/31
الزبون: مديرية الأشغال العمومية ولاية تندوف
النوع: اعلان عن طلب العروض المفتوح مع اشتراط قدرات دنيا رقم 2025/31
موضوع: صيانة المطارات 2026
عدد الصفحات: 1/4
طلب عروض وطني مفتوح مع اشتراط قدرات دنيا رقم 57/2025
الزبون: مديرية التعمير والهندسة المعمارية والبناء ولاية تيسمسيلت
النوع: طلب عروض وطني مفتوح مع اشتراط قدرات دنيا رقم 57/2025
موضوع: اشغال الطرق والشبكات المختلفة للتخصيصات المنشاة في اطار تطوير …
عدد الصفحات: 1/2
*/إعلان عن المنح المؤقت/*
الزبون: بلدية جليدة ولاية عين الدفلى
النوع: */إعلان عن المنح المؤقت/*
موضوع: نقل التلاميذ المتمدرسين لفائدة بلدية جليدة
عدد الصفحات: 1/2
إعلان عن ثالث طلب العروض المفتوح مع اشتراط قدرات دنيا رقم 16/2025
الزبون: مديرية الري لولاية المدية
النوع: إعلان عن ثالث طلب العروض المفتوح مع اشتراط قدرات دنيا رقم 16/2025
موضوع: اقتناء 12مولد كهربائي بقدرة 400 كيلو فولط من اجل مناقب حقل الالتقاط …
عدد الصفحات: 1/2
ثاني إعلان عن طلب العروض الوطني المفتوح مع اشتراط قدرات دنيا بعد الإعلان عن عدم جدوى رقم 92/2025
الزبون: ديوان الترقية والتسيير العقاري لولاية معسر
النوع: ثاني إعلان عن طلب العروض الوطني المفتوح مع اشتراط قدرات دنيا بعد الإعلان عن عدم جدوى رقم 92/2025
موضوع: 19 سكن ترقوي مدعم بسيدي عبد المومن 05 سكن ترقوي مع الطرقات والشبكات …
عدد الصفحات: 1/4
AVIS D'APPEL D'OFFRE NATIONAL OUVERT AVEC EXIGENCVµCE DE CAPACITES MINIMALES N 92/2025
الزبون: COMMUNE DE MEDROUSSA WILAYA DE TIARET
النوع: AVIS D'APPEL D'OFFRE NATIONAL OUVERT AVEC EXIGENCVµCE DE CAPACITES MINIMALES N 92/2025
موضوع: realisation d'une cantine scolaire a l'école khattel abdelkader 200 repas medroussa centre
عدد الصفحات: 1/4
AVIS DAPPEL D'OFFRE OUVERT AVEC EXIGENCE DE CAPACITES MINIMALES **
الزبون: COMMUNE DE AIN NOUISSY WLAYA DE MOSTAGANEM
النوع: AVIS DAPPEL D'OFFRE OUVERT AVEC EXIGENCE DE CAPACITES MINIMALES **
موضوع: EXTENSION DE RESEAU D'ASSAINISSEMENT A DOUAR DENDEN ET OULED HAMDANE ET CHERAIFIA
عدد الصفحات: 1/4
إعلان عن طلب عروض وطني مفتوح مع اشتراط قدرات دنيا رقم 94/2025
الزبون: بلدية مدروسة ولاية تيارت
النوع: إعلان عن طلب عروض وطني مفتوح مع اشتراط قدرات دنيا رقم 94/2025
موضوع: انجاز ملحق بلدي بالمطمر لبيض
عدد الصفحات: 1/4
**إعلان عن المنح المؤقت للصفقة**
الزبون: مديرية الأشغال العمومية لولاية قالمة
النوع: **إعلان عن المنح المؤقت للصفقة**
موضوع: اقتناء اللوازم الخاصة بصيانة الطرق الوطنية في اربع حصص منفصلة …
عدد الصفحات: 1/4
AVIS d'APPEL D'OFFRES NATIONAL OUVERT AVEC EXIGENCE DE CAPACITES MINIMALES N 24/2025
الزبون: direction des travaux publics de la wilaya d'annaba
النوع: AVIS d'APPEL D'OFFRES NATIONAL OUVERT AVEC EXIGENCE DE CAPACITES MINIMALES N 24/2025
موضوع: installation et mise en service de la protection cathodique des quais en palplanche et en pieux du port commercial …
عدد الصفحات: 1/2
**AVIS D'ATTRIBUTION PROVISOIRE***
الزبون: COMMUNE DE SETTARA WILAYA DE JIJEL
النوع: **AVIS D'ATTRIBUTION PROVISOIRE***
موضوع: ALIMENTATION SCOLAIRE DE L'ANNEE 2026
عدد الصفحات: 1/4
إعلان عن تصحيح المنح المؤقت للصفقة رقم 2026/01
الزبون: المؤسسة الإستشفائية المتخصصة في الأمراض العقلية الدكتور بلعمري محمود قسنطينة
النوع: إعلان عن تصحيح المنح المؤقت للصفقة رقم 2026/01
موضوع: التزود بالمواد الغذائية المتكونة من 04 حصص للسنة 2026
عدد الصفحات: 1/4
الأربعاء 07 جانفي 2026
AVIS D’APPEL D’OFFRES NATIONAL N° 09/AT/SDFS/DAL/SA/2025
الزبون: Algérie Télécom Direction Opérationnelle des Télécommunications de Sétif
النوع: AVIS D’APPEL D’OFFRES NATIONAL N° 09/AT/SDFS/DAL/SA/2025
موضوع: Fourniture et Installation des Pylônes Ainsi Que leurs Accessoires appropriés y compris les Travaux de Génie …
عدد الصفحات: 1/2
Appel d’Offres National Ouvert avec exigences de capacités minimales N° 01/2025/10/DIR
الزبون: OPTIMUM TELECOM ALGERIE SPA
النوع: Appel d’Offres National Ouvert avec exigences de capacités minimales N° 01/2025/10/DIR
موضوع: Réalisation de services informatiques et technologiques
عدد الصفحات: 1/4
AVIS D'ATTRIBUTION PROVISOIRE DE MARCHE N 191 /2025
الزبون: DIRECTION DES EQUIPEMENTS PUBLICS DE LA WILAYA DE DJELFA
النوع: AVIS D'ATTRIBUTION PROVISOIRE DE MARCHE N 191 /2025
موضوع: la réalisation du Lot 03 DEMI PENTION 200 R dans le cadre de la réalisation d’un collège base 07/200 repas …
عدد الصفحات: 1/4
*إعلان عن طلب عروض مفتوح مع اشتراط قدرات دنيا رقم 09/2025
الزبون: بلدية الحوامد ولاية المسيلة
النوع: *إعلان عن طلب عروض مفتوح مع اشتراط قدرات دنيا رقم 09/2025
موضوع: صيانة الطريق الرابط بين طريق لمريق ومعيزة على مسافة 03 كلم
عدد الصفحات: 1/4
إعلان عن المنح المؤقت */
الزبون: بلدية تيكستار ولاية برج بوعريريج
النوع: إعلان عن المنح المؤقت */
موضوع: التغذية المدرسية لسنة 2026
عدد الصفحات: 1/4
AVIS DES RESULTATS DE LA PREMIERE PHASE DU CONCOURS NATIONAL RESTREINT D’ARCHITCTURE N° 60/25
الزبون: WILAYA DE BATNA DIRECTION DES EQUIPEMENTS PUBLICS
النوع: AVIS DES RESULTATS DE LA PREMIERE PHASE DU CONCOURS NATIONAL RESTREINT D’ARCHITCTURE N° 60/25
موضوع: ETUDE, SUIVI ET REALISATION D’UNE ECOLE PRIMAIRE TYPE 2 AU NIVEAU DE LA CITE LAARARA 388 LOGEMENTS COMMUNE …
عدد الصفحات: 1/4
إعلان عن طلب عروض وطني مفتوح رقم 55/2025
الزبون: المديرية العامة للأمن الوطني
النوع: إعلان عن طلب عروض وطني مفتوح رقم 55/2025
موضوع: اقتناء سراويل للقتال
عدد الصفحات: 1/2
طلب عروض وطني مفتوح مع اشتراط قدرات دنيا رقم 01/2026
الزبون: مديرية التعمير والهندسة المعمارية والبناء ولاية تيسمسيلت
النوع: طلب عروض وطني مفتوح مع اشتراط قدرات دنيا رقم 01/2026
موضوع: متابعة وانجاز أشغال التهيئة الحضرية بحي الإخوة نادي ببلدية …
عدد الصفحات: 1/4
AvIS D’AppEL D’OffRES NATIONAL ouvert avec exigences des capacités minimales N ° : 22 /2025
الزبون: WILAYA D’IN GUEZZAM DIRECTION DE L’URBANISME, DE L’ARCHITECTURE ET DE LA CONSTRUCTION
النوع: AvIS D’AppEL D’OffRES NATIONAL ouvert avec exigences des capacités minimales N ° : 22 /2025
موضوع: étude de POS du nouveau pôle urbain à la commune d’In Guezzam
عدد الصفحات: 1/4
إعلان عن طلب العروض المفتوح مع اشتراط قدرات دنيا رقم 17/2025
الزبون: بلدية غرداية ولاية غرداية
النوع: إعلان عن طلب العروض المفتوح مع اشتراط قدرات دنيا رقم 17/2025
موضوع: انجاز الانارة العمومية بالطاقة الشمسية على الطريق المدخل …
عدد الصفحات: 1/4
AVIS D'ATTRIBUTION PROVISOIRE D'UN MARCHE
الزبون: COMMUNE DE GUELMA WILAYA DE GUELMA
النوع: AVIS D'ATTRIBUTION PROVISOIRE D'UN MARCHE
موضوع: approvisionnement des cantines des écoles primaire commune de guelma année 2026 en légumes et fruits
عدد الصفحات: 1/4
إعلان عن طلب عروض وطني مفتوح مع اشتراط قدرات دنيا رقم 02/2026 للمرة الثانية
الزبون: المؤسسة العمومية الاستشفائية بوقرة بولعراس تبسة
النوع: إعلان عن طلب عروض وطني مفتوح مع اشتراط قدرات دنيا رقم 02/2026 للمرة الثانية
موضوع: الصيانة الوقائية والعلاجية للعتاد الطبي
عدد الصفحات: 1/4
إعلان عن طلب عروض وطني مفتوح مع اشتراط قدرات دنيا رقم 19/2025
الزبون: مديرية الأشغال العمومية لولاية عنابة
النوع: إعلان عن طلب عروض وطني مفتوح مع اشتراط قدرات دنيا رقم 19/2025
موضوع: أشغال إصلاح الأرصفة المينائية المتدهورة "المناطق 01 و02 " ميناء …
عدد الصفحات: 1/4
الإعلان عن الإنتقاء الأولى
الزبون: مديرية التجهيزات العمومية ولاية أم البواقي
النوع: الإعلان عن الإنتقاء الأولى
موضوع: متوسطة نوع 06 بحي بوعكوز بلدية عين البيضاء ولاية أم البواقي
عدد الصفحات: 1/2
APPEL D’OFFRES NATIONAL OUVERT AVEC EXIGENCE DE CAPACITES MINIMALES N° 09/2025
الزبون: Wilaya de Tlemcen Centre Hospitalo-Universitaire
النوع: APPEL D’OFFRES NATIONAL OUVERT AVEC EXIGENCE DE CAPACITES MINIMALES N° 09/2025
موضوع: ACQUISITION D’UN CAISSON HYPERBARE 12 PLACES (10 2)
عدد الصفحات: 3/4
الثلاثاء 06 جانفي 2026
Avis d'attribution provisoire de marché*
الزبون: Commune de dar elbeida wilaya d'Alger
النوع: Avis d'attribution provisoire de marché*
موضوع: Travaux de réalisation extension de 9 classe
عدد الصفحات: 1/4
اعلان عن منح مؤقت لصفقة"
الزبون: ديوان الترقية والتسيير العقاري للدار البيضاء
النوع: اعلان عن منح مؤقت لصفقة"
موضوع: انجاز الحصة رقم 01: 158/318 مسكن ترقوي مدعم مع 30 محلا تجاريا و 10 خدمات …
عدد الصفحات: 1/4
,اعلان عن منح مؤقت لصفقة
الزبون: مديرية التجهيزات العمومية لولاية بجاية
النوع: ,اعلان عن منح مؤقت لصفقة
موضوع: انجاز مدرسة ابتدائية رقم 2 صنف d على مستوى موقع 9100 مسكن llv و 6920 مسكن …
عدد الصفحات: 1/4
اعلان عن منح مؤقت لصفقة رقم 20/2025
الزبون: بلدية الكاليتوس ولاية الجزائر
النوع: اعلان عن منح مؤقت لصفقة رقم 20/2025
موضوع: انجاز قاعة علاج على مستوى حي 400 مسكن القصر الاحمر
عدد الصفحات: 1/4
اعلان عن طلب عروض وطني مفتوح رقم 54/2025
الزبون: المديرية العامة للأمن الوطني
النوع: اعلان عن طلب عروض وطني مفتوح رقم 54/2025
موضوع: اقتناء قبعات مطرزة
عدد الصفحات: 1/2
Avis d'appel d'offres national ouvert avec exigences de capacités minimale
الزبون: Direction de lhydraulique
النوع: Avis d'appel d'offres national ouvert avec exigences de capacités minimale
موضوع: .
عدد الصفحات: 1/4
اعلان عن طلب عروض مفتوح مع اشتراط قدرات دنيا
الزبون: بلدية عزابة ولاية سكيكدة
النوع: اعلان عن طلب عروض مفتوح مع اشتراط قدرات دنيا
موضوع: تموين المطاعم المدرسية
عدد الصفحات: 1/2
الإعلان عن الانقاء الاولي للمسابقة الوطنية المحدودة رقم 13/2025
الزبون: بلدية العلمة ولاية سطيف
النوع: الإعلان عن الانقاء الاولي للمسابقة الوطنية المحدودة رقم 13/2025
موضوع: انجاز مجمع مدرسي نمط 2
عدد الصفحات: 1/4
اعلان عن منح مؤقت '
الزبون: بلدية تازولت ولاية باتنة
النوع: اعلان عن منح مؤقت '
موضوع: التهيئة العمرانية لمختلف احياء بلدية تازولت
عدد الصفحات: 1/4
اعلان عن منح مؤقت لصفقة ..
الزبون: Opgi قسنطينة
النوع: اعلان عن منح مؤقت لصفقة ..
موضوع: 200 مسكن ترقوي مدعم
عدد الصفحات: 1/4
AVIS D'APPEL D'OFFRES NATIONAL OUVERT AVEC EXIGENCE DE CAPACITÉ MINIMALE N°25/2025
الزبون: CENTRE HOSPITALO – UNIVERSITAIRE D’ORAN
النوع: AVIS D'APPEL D'OFFRES NATIONAL OUVERT AVEC EXIGENCE DE CAPACITÉ MINIMALE N°25/2025
موضوع: Prestations De Nettoyage et D’entretien au profit du CHUO Pour l’année 2026
عدد الصفحات: 3/4
AVIS D’ATTRIBUTION PROVISOIRE DE L’AVIS D’APPEL D’OFFRES NATIONAL OUVERT AVEC EXIGENCE DE CAPACITE MINIMALE N° 52 /2025
الزبون: DIRECTION DES EQUIPEMENTS PUBLICS DE LA WILAYA D’ORAN
النوع: AVIS D’ATTRIBUTION PROVISOIRE DE L’AVIS D’APPEL D’OFFRES NATIONAL OUVERT AVEC EXIGENCE DE CAPACITE MINIMALE N° 52 /2025
موضوع: REALISATION D’UN LYCEE 1000 N°02 AU NIVEAU DU SITE DES 38000 LOGEMENTS AADL AU POLE URBAIN AHMED ZABANA – …
عدد الصفحات: 1/4
CONCOURS NATIONAL D'ARCHITECTURE RESREINT N 50/2025
الزبون: AADL CONSTANTINE
النوع: CONCOURS NATIONAL D'ARCHITECTURE RESREINT N 50/2025
موضوع: ETUDE ET SUIVI DE LA REALISATION EN TCE DES 300 LOGEMENTS EN LOCATION VENTE AVEC LOCAUX A USAGE COMMERCIAL …
عدد الصفحات: 3/4
اعلان عن طلب عروض وطني مفتوح رقم 04/2025
الزبون: بلدية عين الذهب ولاية تيارت
النوع: اعلان عن طلب عروض وطني مفتوح رقم 04/2025
موضوع: تهيئة محطة نقل المسافرين الشطر الاول
عدد الصفحات: 1/4
الإثنين 05 جانفي 2026
إعلان عن المنح المؤقت للصفقات في اطار طلب العروض الوطني المفتوح رقم 06/2025
الزبون: المديرية العامة للأمن الوطني
النوع: إعلان عن المنح المؤقت للصفقات في اطار طلب العروض الوطني المفتوح رقم 06/2025
موضوع: تموين مصالح الشرطة التابعة لناحية تامنغست بمادة الخبز المحسن
عدد الصفحات: 1/2
AVIS DE PROROGATION DE DELAI DE L’APPEL D’OFFRES NATIONAL ET INTERNATIONAL OUVERT AVEC EXIGENCE DE CAPACITES MINIMALES N°42/AT/DG/DAMP/DAM/2025
الزبون: Algérie Télécom
النوع: AVIS DE PROROGATION DE DELAI DE L’APPEL D’OFFRES NATIONAL ET INTERNATIONAL OUVERT AVEC EXIGENCE DE CAPACITES MINIMALES N°42/AT/DG/DAMP/DAM/2025
موضوع: L’ACQUISITION D’UNE SOLUTION DNS CACHE COMPRENANT L’ETUDE, L’ACQUISITION D’EQUIPEMENTS, INSTALLATION, …
عدد الصفحات: 1/4
إعلان عن طلب عروض وطني مفتوح رقم 2025/57
الزبون: المديرية العامة للأمن الوطني
النوع: إعلان عن طلب عروض وطني مفتوح رقم 2025/57
موضوع: اقتناء مختلف الأحزمة الجلدية
عدد الصفحات: 1/2
إعلان عن الإسناد المؤقت لطلب العروض الوطني المفتوح مع اشتراط قدرات دنيا رقم 2025/28
الزبون: المديرية العامة للأمن الوطني
النوع: إعلان عن الإسناد المؤقت لطلب العروض الوطني المفتوح مع اشتراط قدرات دنيا رقم 2025/28
موضوع: اقتناء، تركيب، وتشغيل على شكل حصتين منفصلتين / 01: ثلاث الات PLOTTERS …
عدد الصفحات: 1/2
إعلان عن منح مؤقت للصفقة *-*
الزبون: ديوان الترقية والتسيير العقاري الأغواط
النوع: إعلان عن منح مؤقت للصفقة *-*
موضوع: دراسة ومتابعة 350 سكن عمومي إيجاري ببلدية افلو (برنامج 2000 سكن الشطر …
عدد الصفحات: 1/4
AVIS D'ATTRIBUTION PROVISOIRE DU MARCHE*/*
الزبون: commune de m'sila wilaya de m'sila
النوع: AVIS D'ATTRIBUTION PROVISOIRE DU MARCHE*/*
موضوع: aménagement urbain à travers le territoire de la commune de msila
عدد الصفحات: 1/4
**إعلان عن عدم جدوى**
الزبون: المديرية الجهوية لعدل للجزائر شرق
النوع: **إعلان عن عدم جدوى**
موضوع: انجاز 50 مسكن ترقوي مدعم و07 مسكن ترقوي حر بجميع هياكله مع 08 محل ذات …
عدد الصفحات: 1/4
/AVIS D'ATTRIBUTION PROVISOIRE//
الزبون: COMMUNE DE BELKHIER WILAYA DE GUELMA
النوع: /AVIS D'ATTRIBUTION PROVISOIRE//
موضوع: APPROVISIONNEMENT CANTINES SCOLAIRES POUR L'ANNEE 2026
عدد الصفحات: 1/4
/*AVIS D'ATTRIBUTION PROVISOIRE D'UN MARCHE/*
الزبون: COMMUNE DE CHEURFA WILAYA D'ANNABA
النوع: /*AVIS D'ATTRIBUTION PROVISOIRE D'UN MARCHE/*
موضوع: formi des cantines scolaire primaire a la municipalité de cheurfa pour l'exercice 2026
عدد الصفحات: 1/4
الإعلان عن المنح المؤقت */
الزبون: مديرية التعمير والهندسة المعمارية والبناء لولاية إن قزام
النوع: الإعلان عن المنح المؤقت */
موضوع: انجاز أشغال التهيئة للسكنات الريفية المجمعة HRG عبر ولاية إن قزام
عدد الصفحات: 1/4
الاعلان عن المنح المؤقت*/
الزبون: مديرية التعمير والهندسة المعمارية والبناء لولاية إن قزام
النوع: الاعلان عن المنح المؤقت*/
موضوع: تكملة أشغال الشبكات والطرق المختلفة الأولية والثانوية لحي 450 …
عدد الصفحات: 1/4
-إعلان عن المنح المؤقت-
الزبون: مديرية الأشغال العمومية ولاية أم البواقي
النوع: -إعلان عن المنح المؤقت-
موضوع: صيانة الطرق الوطنية شطر 2024
عدد الصفحات: 1/4
*AVIS D'ATTRIBUTION PROVISOIRE DU MARCHE*
الزبون: DIRECTION DES EQUIPEMENTS PUBLICS DE LA WILAYA DE SETIF
النوع: *AVIS D'ATTRIBUTION PROVISOIRE DU MARCHE*
موضوع: realisation d'une demi pension 200 repas au cem lehlou houcine bir haddada programme 2023
عدد الصفحات: 1/4
*مسابقة الهندسة المعمارية الوطنية المحدودة التحكم في المشروع
الزبون: الوكالة الوطنية لتحسين السكن وتطويره عدل
النوع: *مسابقة الهندسة المعمارية الوطنية المحدودة التحكم في المشروع
موضوع: دراسة ومتابعة انجاز مشروع 1500 سكن بصيغة البيع بالايجار في جميع …
عدد الصفحات: 3/4
إعلان عن المتأهلين في عروض الترشح
الزبون: مديرية التجهيزات العمومية لولاية تيارت
النوع: إعلان عن المتأهلين في عروض الترشح
موضوع: دراسة ومتابعة لانجاز مدرسة ابتدائية نوع 2 على مستوى موقع (LPL270 …
عدد الصفحات: 1/4
الأحد 04 جانفي 2026
إعلان عن طلب عروض وطني مفتوح رقم 47/2025
الزبون: المديرية العامة للأمن الوطني
النوع: إعلان عن طلب عروض وطني مفتوح رقم 47/2025
موضوع: اقتناء مستهلكات كيميائية تحليلية
عدد الصفحات: 1/2
إعلان عن الاسناد المؤقت لطلب العروض الوطني المفتوح رقم 2025/30
الزبون: المديرية العامة للأمن الوطني
النوع: إعلان عن الاسناد المؤقت لطلب العروض الوطني المفتوح رقم 2025/30
موضوع: اقتناء 20000 فراش
عدد الصفحات: 1/2
اعلان عن طلب العروض الوطني المفتوح مع اشتراط قدرات دنيا رقم 36/2025
الزبون: مديرية الاشغال العمومية لولاية تمنراست
النوع: اعلان عن طلب العروض الوطني المفتوح مع اشتراط قدرات دنيا رقم 36/2025
موضوع: الصيانة العادية للطرق الوطنية شطر 2026
عدد الصفحات: 1
*-*إعلان عن منح مؤقت *-*
الزبون: ولاية أدرار
النوع: *-*إعلان عن منح مؤقت *-*
موضوع: تهيئة مقر المجلس الشعبي الولائي
عدد الصفحات: 1/4
** إعذار رقم 02 **
الزبون: ديوان الترقية والتسيير العقاري بالبويرة
النوع: ** إعذار رقم 02 **
موضوع: 20/2000 سكن عمومي إيجاري عين الترك
عدد الصفحات: 1/4
*1ere Mise en Demeure
الزبون: OFFICE DE PROMOTION ET GESTION IMMOBILIERE DE LA WILAYA DE TIPASA
النوع: *1ere Mise en Demeure
موضوع: l’étude et le suivi des travaux de réalisation en TCE VRD des 48/1000 logements public locatifs PA 2024 2éme …
عدد الصفحات: 1/4
AVIS D’APPEL D’OFFRES NATIONAL OUVERT AVEC EXIGENCE DE CAPACITES MINIMALES N°38/2025
الزبون: DIRECTION DE L’URBANISME, DE L’ARCHITECTURE ET DE LA CONSTRUCTION DE LA WILAYA DE GUELMA
النوع: AVIS D’APPEL D’OFFRES NATIONAL OUVERT AVEC EXIGENCE DE CAPACITES MINIMALES N°38/2025
موضوع: RESTE A REALISER LOTN°01 : ZONE A ; VOIRIE ET TROTTOIRS ECLAIRGE PUBLIC SITE: POS SUD EXTENSION COMMUNE …
عدد الصفحات: 1/2
AVIS D'ATTRIBUTION PROVISOIRE*/*
الزبون: WILAYA D'ELTAREF
النوع: AVIS D'ATTRIBUTION PROVISOIRE*/*
موضوع: travaux d'amenagement et de refection au niveau nouveau siége de la wilaya siege apw batiments administratifs annexés
عدد الصفحات: 1/4
إعلان عن منح مؤقت---
الزبون: مديرية التجهيزات العمومية لولاية أم البواقي
النوع: إعلان عن منح مؤقت---
موضوع: دراسة، متابعة وانجاز مدرستين ابتدائيتين نوع 02
عدد الصفحات: 1/4
إعلان عن طلب عروض مفتوح مع اشتراط قدرات دنيا رقم 03/2025
الزبون: بلدية فم الطوب ولاية باتنة
النوع: إعلان عن طلب عروض مفتوح مع اشتراط قدرات دنيا رقم 03/2025
موضوع: انجاز وتوسيع شبكة التطهير وتدعيم شبكة المياه الصالحة للشرب عبر …
عدد الصفحات: 1/4
إعلان عن طلب عروض مع اشتراط قدرات دنيا رقم 2025/13
الزبون: بلدية بن عبد المالك رمضان ولاية مستغانم
النوع: إعلان عن طلب عروض مع اشتراط قدرات دنيا رقم 2025/13
موضوع: --
عدد الصفحات: 1/2
اعلان عن مسابقة وطنية محدودة في الهندسة المعمارية رقم 31/2025
الزبون: مديرية التجهيزات العمومية لولاية معسكر
النوع: اعلان عن مسابقة وطنية محدودة في الهندسة المعمارية رقم 31/2025
موضوع: دراسة ومتابعة لانجاز متوسطة نمط 06 على مستوى موقع LPL1164 LLV2400 القطب …
عدد الصفحات: 1/2
الأربعاء 31 ديسمبر 2025
AVIS D'ANNULATI0N D'ATTFHBUTI0N PROVIS0IRE
الزبون: societe d'impression d'alger
النوع: AVIS D'ANNULATI0N D'ATTFHBUTI0N PROVIS0IRE
موضوع: couverture en assurances de l'activité et du patrimoine de la société d'impression d'alger
عدد الصفحات: 1/4
2ème MISE EN DEMEURE
الزبون: DIRECTION DES TRAVAUX PUBLICS DE LA WILAYA DE TIZI OUZOU,
النوع: 2ème MISE EN DEMEURE
موضوع: 2/entretien périodique (Travaux à l’entreprise), travaux sur la chaussée et dépendance
عدد الصفحات: 1/4
اعلان عن منح مؤقت لمشروع الصفقة
الزبون: بلدية سي مصطفى ولاية بومرداس
النوع: اعلان عن منح مؤقت لمشروع الصفقة
موضوع: تموين المطاعم المدرسية بالمواد الغذائية للمدارس الابتدائية لسنة …
عدد الصفحات: 1/4
AVIS D'APPEL D'OFFRE NATIONAL OUVERT N 10/2025
الزبون: commune d'aomar wilaya de bouira
النوع: AVIS D'APPEL D'OFFRE NATIONAL OUVERT N 10/2025
موضوع: amenagement urbain de la ville d'aomar boulevard -RN N 05
عدد الصفحات: 1/4
avis d'appel d'offre ouvert avec exigence des capacites minimales n 63/2025
الزبون: wilaya de laghouat
النوع: avis d'appel d'offre ouvert avec exigence des capacites minimales n 63/2025
موضوع: realisation d'un collége type 7/300 ration a la cite abbane ramdane wilaya de laghouat
عدد الصفحات: 1/4
***MISE EN DEMEURE N 01
الزبون: WILAYA DE BORDJ BADJI MOKHTAR
النوع: ***MISE EN DEMEURE N 01
موضوع: la réalisation d'un lycée types 800/200 a bordj badji mokhtar
عدد الصفحات: 1/4
مسابقة الهندسة المعمارية الوطنية المحدودة التحكم في المشروع رقم 200/2025
الزبون: المديرية الحهوية للجزائر شرق عدل
النوع: مسابقة الهندسة المعمارية الوطنية المحدودة التحكم في المشروع رقم 200/2025
موضوع: دراسة ومتابعة اشغال انجاز 2500 مسكن موقع 7 بيع بالايجار بكل المراحل …
عدد الصفحات: 1/2
اعلان عن الغاء المنح المؤقت
الزبون: المديرية العامة للأمن الوطني
النوع: اعلان عن الغاء المنح المؤقت
موضوع: اقتناء أدوات الطبية لفائدة المؤسسة الاستشفائية للامن الوطني …
عدد الصفحات: 1/4
AVIS D’APPEL D’OFFRE OUVERT AVEC EXIGENCE DE CAPACITES MINIMALES
الزبون: W WILAYA DE TLEMCEN D DD CC DAIRA D’HENNAYA C COMMUNE D’HEN
النوع: AVIS D’APPEL D’OFFRE OUVERT AVEC EXIGENCE DE CAPACITES MINIMALES
موضوع: « REALISATION D’UNE CANTINE SCOLAIRE A L’ECOLE LABLACK TAYEB A HAI KHEMISTI ».
عدد الصفحات: 1/2
إعلان عن منح مؤقت لصفقات
الزبون: ديوان الترقية والتسيير العقاري لولاية سعيدة
النوع: إعلان عن منح مؤقت لصفقات
موضوع: التامين على الممكتلكات المنقولة غير المنقولة تلك المتصلة بانشطة …
عدد الصفحات: 1/4
avis d'appel d'offre national ouvert avec exigence de capacites minimales n 74/2025
الزبون:
النوع: avis d'appel d'offre national ouvert avec exigence de capacites minimales n 74/2025
موضوع: realisation d'un college type 3/200 r a minar zarrera w mila
عدد الصفحات: 3/4
avis d'appel d'offres national ouvert avec exigence de capacites minimale n20/2025
الزبون: wilaya de annaba
النوع: avis d'appel d'offres national ouvert avec exigence de capacites minimale n20/2025
موضوع: modernisation du cw20 entre oued el aneb au PK 00 000 ET SERAIDI AU PK 16 000 SUR 16KM W ANNABA
عدد الصفحات: 3/4
*****avis d'attribution provisoire de marche
الزبون: opgi ain salah
النوع: *****avis d'attribution provisoire de marche
موضوع: la realisation des travaux de vrd tertiaires (l'aménagemnt extérieur, l'éclairage public et reseau des canalisations …
عدد الصفحات: 1/4
الاعلان عن المنح المؤقت
الزبون: مديرية التعمير والهندسة المعمارية والبناء لولاية إن قزام
النوع: الاعلان عن المنح المؤقت
موضوع: إنجاز أشغال التهيئة للسكنات الريفية المجمعة HRG عبر ولاية إن قزام
عدد الصفحات: 1/4
الثلاثاء 30 ديسمبر 2025
إعلان عن طلب عروض وطني مفتوح مع اشتراط قدرات دنيا رقم 22/2025 الحصة رقم 04 نشر ثاني
الزبون: المديرية العامة للأمن الوطني
النوع: إعلان عن طلب عروض وطني مفتوح مع اشتراط قدرات دنيا رقم 22/2025 الحصة رقم 04 نشر ثاني
موضوع: اقتناء تركيب ووضع حيز الخدمة تجهيزات طبية لفائدة الهياكل الصحية …
عدد الصفحات: 1/2
avis d'appel d'offre national ouvert avec exigence de capacites minimales n 01/2025
الزبون: commune ait abi youcef wilaya de tizi ouzou
النوع: avis d'appel d'offre national ouvert avec exigence de capacites minimales n 01/2025
موضوع: prise en charge des frais de l'alimentation scolaire année 2026
عدد الصفحات: 1/2
إعذار رقم 02*-*
الزبون: المديرية العامة للأمن الوطني
النوع: إعذار رقم 02*-*
موضوع: تموين مصالح الامن الوطني بقطع الغيار، مجموعات ميكانيكية، اجهزة …
عدد الصفحات: 1/4
طلب العروض الوطني المفتوح مع اشتراط قدرات دنيا رقم 24/2025
الزبون: ولاية الجزائر
النوع: طلب العروض الوطني المفتوح مع اشتراط قدرات دنيا رقم 24/2025
موضوع: تجديد التجهيز المدرسي ولواحقه للطور المتوسط الجزائر غرب
عدد الصفحات: 1/4
coucours national d'architecture restreint
الزبون: direction regionale aadl alger est
النوع: coucours national d'architecture restreint
موضوع: etude, suivi des travaux de realisation de 2500 logements site 10 location vente en TCE avec locaux a usage commercial …
عدد الصفحات: 1/2
إعلان عن طلب عروض وطني مفتوح مع اشتراط قدرات دنيا رقم 22/2025
الزبون: وزارة السكن والعمران والمدينة والتهيئة العمرانية
النوع: إعلان عن طلب عروض وطني مفتوح مع اشتراط قدرات دنيا رقم 22/2025
موضوع: خدمة الحراسة والامن لمقر وزارة السكن والعمران والمدينة والتهيئة …
عدد الصفحات: 1/2
اعلان عن طلب عروض وطني مفتوح مع اشتراط قدرات دنيا رقم 03/2025
الزبون: عدل للتسيير العقاري
النوع: اعلان عن طلب عروض وطني مفتوح مع اشتراط قدرات دنيا رقم 03/2025
موضوع: اقتناء أربعة عشر سيارة سياحية لفرع عدل للتسيير العقاري
عدد الصفحات: 1/4
PROGRAMME DE LOGEMENTS LOCATION-VENTE CONCOURS NATIONAL D'ARCHITECTURE RESTREINT (MAITRISE D'ŒUVRE) N° 34/2025/DR05/AADL
الزبون: AADL Sidi Achour, w1 –Annaba
النوع: PROGRAMME DE LOGEMENTS LOCATION-VENTE CONCOURS NATIONAL D'ARCHITECTURE RESTREINT (MAITRISE D'ŒUVRE) N° 34/2025/DR05/AADL
موضوع: Etude Et Suivi Des Travaux De Réalisation De 500 Logements Location-vente En TCE Avec Locaux A Usage Commercial, …
عدد الصفحات: 3/4
إعلان عن طلب العروض الوطني المفتوح رقم 01/2026
الزبون: المؤسسة العمومية الإستشفائية محمد مداحي فرجيوة
النوع: إعلان عن طلب العروض الوطني المفتوح رقم 01/2026
موضوع: تموين المؤسسة بمواد التغذية
عدد الصفحات: 1/2
إعلان عن المؤهلين في عروض الترشح رقم 172/2025
الزبون: ولاية سيدي بلعباس
النوع: إعلان عن المؤهلين في عروض الترشح رقم 172/2025
موضوع: دراسة ومتابعة لانجاز مدرسة ابتدائية نمط 02 على مستوى موقع LLV 490 …
عدد الصفحات: 1/2
مسابقة الهندسة المعمارية الوطنية المحدودة التحكم في المشروع
الزبون: وكالة عدل
النوع: مسابقة الهندسة المعمارية الوطنية المحدودة التحكم في المشروع
موضوع: دراسة ومتابعة اشغال انجاز 1090 مسكن صيغة البيع بالايجار مع محلات …
عدد الصفحات: 1/2
الإثنين 29 ديسمبر 2025
إعلان عن مناقصة وطنية مفتوحة مع اشتراط قدرات دنيا رقم 05/2025
الزبون: بلدية أوزلاقن ولاية بجاية
النوع: إعلان عن مناقصة وطنية مفتوحة مع اشتراط قدرات دنيا رقم 05/2025
موضوع: تزويد المنتجات الغذائية لصالح المطاعم المدرسية لبلدية أوزلاقن …
عدد الصفحات: 1/4
2ème MISE EN DEMEURE AVANT RESILIATION
الزبون: Agence Nationale de l’Amélioration Et du Développement du Logement -AADL- Direction Régionale Alg
النوع: 2ème MISE EN DEMEURE AVANT RESILIATION
موضوع: 2ème étage Draria Wilaya d’ALGER, titulaire des marchés N°47/DRAO/2024 du 25/09/2024 portant sur La …
عدد الصفحات: 1/4
avis d'appel d'offres national avec exigence de capacites minimales n 07/2025
الزبون: algerie presse service
النوع: avis d'appel d'offres national avec exigence de capacites minimales n 07/2025
موضوع: climatisation et de detection / extinction automatique d'incendie du data center de l'algerie presse service
عدد الصفحات: 1/2
avis d'appel d'offres ouvert avec exigence de capacites minimales n 65/2025
الزبون: direction des equipement publics wilaya de laghouat
النوع: avis d'appel d'offres ouvert avec exigence de capacites minimales n 65/2025
موضوع: realisation d'un lycée 600/200 a oued mzi
عدد الصفحات: 1/4
إعلان عن مناقصة وطنية محدودة رقم 17/2025
الزبون: كوسيدار
النوع: إعلان عن مناقصة وطنية محدودة رقم 17/2025
موضوع: توريد عتاد
عدد الصفحات: 1/4
2EME MISE EN DEMEURE AVANT REALISATION
الزبون: UNIVERCITE D'ALGER 3
النوع: 2EME MISE EN DEMEURE AVANT REALISATION
موضوع: realisation des travaux d'aménagement de l'espace vert au campus de l'université d'alger 03
عدد الصفحات: 1/4
CONCOURS NATIONAL D4ARCHITECTURE RESTREINT N 192/2025
الزبون: DIRECTION GENERALE AADL ALGER EST
النوع: CONCOURS NATIONAL D4ARCHITECTURE RESTREINT N 192/2025
موضوع: etude et suivi des travaux de realisation de 2000 logementssite 1 location vente en TCE avec locaux a usage commercial, …
عدد الصفحات: 1/2
CONCOURS NATIONAL D'architecture restreint n 28/2025
الزبون: aadl annaba
النوع: CONCOURS NATIONAL D'architecture restreint n 28/2025
موضوع: etude et suivi des travaux de ralisation des 1000/4600 logements location-vente en TCE avec locaux a usage commercial, …
عدد الصفحات: 3/4
avis d'attreibution provisoire n04/205
الزبون: direction de la culture wilaya d4el mghaier
النوع: avis d'attreibution provisoire n04/205
موضوع: realisation d'un conservatoire de musique commune d'el m'ghaier wilaya d'elmghaier
عدد الصفحات: 1/4
إعلان عن منح مؤقت لمشروع صفقة
الزبون: مديرية الخدمات الجامعية بورقلة
النوع: إعلان عن منح مؤقت لمشروع صفقة
موضوع: نقل الطلبة الجامعيين خلال سنة 2026
عدد الصفحات: 1/4
**AVIS d'attribution provisoire de marche
الزبون: direction de l'hydraulique de la wilaya de jijel
النوع: **AVIS d'attribution provisoire de marche
موضوع: realisation d'une station d'épuration des eaux usées d'el kennar w.jijel
عدد الصفحات: 1/4
**اعلان عن المنح المؤقت للصفقة
الزبون: المؤسسة الإستشفائية المتخصصة في الأمراض العقلية الدكتور بلعمري محمود قسنطينة
النوع: **اعلان عن المنح المؤقت للصفقة
موضوع: التزود بالمواد الغذائية لسنة 2026
عدد الصفحات: 1/4
إعلان عن طلب العروض الوطني المفتوح مع اشتراط قدرات رقم 29/2025
الزبون: مديرية الري ولاية معسكر
النوع: إعلان عن طلب العروض الوطني المفتوح مع اشتراط قدرات رقم 29/2025
موضوع: انجاز، تجديد شبكة المياه الصالحة للشرب على مستوى عدة بلديات
عدد الصفحات: 1/2
اعلان عن طلب عروض وطني مفتوح مع اشتراط قدرات دنيا ****
الزبون: بلدية حرشون ولاية الشلف
النوع: اعلان عن طلب عروض وطني مفتوح مع اشتراط قدرات دنيا ****
موضوع: تموين المطاعم المدرسية للسنة المالية 2026
عدد الصفحات: 1/2
الأحد 28 ديسمبر 2025
avis d'attribution provisoire n 18/2025 du marche
الزبون: commune des eucalyptus ilaya d'alger
النوع: avis d'attribution provisoire n 18/2025 du marche
موضوع: travaux realisation reseau d'alimentation eaux potable a la cite zouaoui
عدد الصفحات: 1/4
***إعلان عن منح مؤقت ***
الزبون: مؤسسة إعادة التربية ببسكرة
النوع: ***إعلان عن منح مؤقت ***
موضوع: تموين مؤسسة إعادة التربية بالمواد الغذائية لسنة 2026
عدد الصفحات: 1/4
إعلان عن المنح المؤقت عدم جدوى
الزبون: بلدي بلعانبة ولاية المسيلة
النوع: إعلان عن المنح المؤقت عدم جدوى
موضوع: صيانة مقاطع طرق بقرى ومداشر البلدية ووسط المدينة
عدد الصفحات: 1/4
**اعلان عن منح مؤقت لصفقة
الزبون: مديرية الصحة والسكان ولاية الشلف
النوع: **اعلان عن منح مؤقت لصفقة
موضوع: إقتناء تجهيزات لمركز مكافحة السرطان بالشلف
عدد الصفحات: 1/4
طلب عروض مفتوح مع اشتراط قدرات دنيا رقم 02/2025
الزبون: جامعة الجلفة
النوع: طلب عروض مفتوح مع اشتراط قدرات دنيا رقم 02/2025
موضوع: اشغال تجديد التدفئة المركزية لفائدة جامعة الجلفة
عدد الصفحات: 1/4
الإعلان عن منح مؤقت
الزبون: مديرية الإدارة المحلية ولاية الشلف
النوع: الإعلان عن منح مؤقت
موضوع: تجديد تجهيزات محطات الرفع
عدد الصفحات: 1/4
AVIS DE PRESELECTION
الزبون: DIRECTION DES ÉQUIPEMENTS PUBLICS WILAYA DE MÉDÉA
النوع: AVIS DE PRESELECTION
موضوع: Etude et suivi pour la réalisation d'une école primaire type 2 au niveau du site des 1265 logements du pôle …
عدد الصفحات: 1/4
**Avis D’attribution Provisoire Du Marché
الزبون: Wilaya de Biskra Daira de Biskra Commune de Biskra
النوع: **Avis D’attribution Provisoire Du Marché
موضوع: Services De Balayage A Travers La Ville De Biskra ( La Zone de l’est la zone de l’ouest )
عدد الصفحات: 1/4
إعلان عن منح مؤقت *-*
الزبون: بلدية بسكرة ولاية بسكرة
النوع: إعلان عن منح مؤقت *-*
موضوع: 500 إنجاز منقب بعمق 500 مط بجوار خزان مائي الجديد بالعالية …
عدد الصفحات: 1/4
** إعلان عن منح مؤقت للصفقة **
الزبون: بلدية الدار البيضاء ولاية الجزائر
النوع: ** إعلان عن منح مؤقت للصفقة **
موضوع: إنجاز مطعم مدرسي ومكتبة بحي الشهيد سواعدية خالد الحميز 04 سابقا …
عدد الصفحات: 1/4
إعلان عن طلب العروض المفتوح مع اشتراط قدرات دنيا رقم 33/2025
الزبون: مديرية الاشغال العمومية لولاية تيزي وزو
النوع: إعلان عن طلب العروض المفتوح مع اشتراط قدرات دنيا رقم 33/2025
موضوع: صيانة الطرق الولائية سنة 2026
عدد الصفحات: 3/4
*إعلان عن طلب عروض وطني مفتوح مع اشتراط قدرات دنيا رقم 2025/09
الزبون: بلدية زيامة منصورية ولاية جيجل
النوع: *إعلان عن طلب عروض وطني مفتوح مع اشتراط قدرات دنيا رقم 2025/09
موضوع: التهيئة الحضرية بزيامة مركز
عدد الصفحات: 1/4
AVIS DE PRE QUALIFICATION
الزبون: WILAYA DE SIDI BEL ABBES DIRECTION DES EQUIPEMENTS PUBLICS
النوع: AVIS DE PRE QUALIFICATION
موضوع: Etude et suivi pour la réalisation d’un collège type 06 au niveau du site des 400 LLV 1630 LPL à la commune …
عدد الصفحات: 1/2
Avis complimentaire De Pré-Qualification
الزبون: DIRECTION DES EQUIPEMENTS PUBLICS de RELIZANE
النوع: Avis complimentaire De Pré-Qualification
موضوع: ETUDE, SUIVI POUR REALISATION D’UNE ECOLE PRIMAIRE TYPE 2 AU NIVEAU DU SITE 490 LPL LS COMMUNE DE MENDES WILAYA …
عدد الصفحات: 1/4
A V I S D’ ANNULATION DE L’ATTRIBUTION PROVISOIRE DE LA CONVENTION
الزبون: DIRECTION DES SERVICES AGRICOLES DE LA WILAYA DE SIDI BEL ABBES
النوع: A V I S D’ ANNULATION DE L’ATTRIBUTION PROVISOIRE DE LA CONVENTION
موضوع: Acquisition en équipement pour le centre de formation et de vulgarisation agricole de Sidi Bel Abbes
عدد الصفحات: 1/4
***AVIS D'ATTRIBUTION PROVISOIRE***
الزبون: DIRECTION DE L'EDUCATION DE LA WILAYA DE BATNA
النوع: ***AVIS D'ATTRIBUTION PROVISOIRE***
موضوع: ACQUISITION DES EQUIPEMENTS SCOLAIRE AU PROFIT D'UN LYCEE TYPE 100 AU NIVEAU DU SITE DES 500 LOGEMENTS EN LOCATION …
عدد الصفحات: 1/4
AVIS D'APPEL D'OFFRES NATIONAL OUVERT AVEC EXIGENCE DE CAPACITES MINIMALES N23/2025
الزبون: COMMUNE ELKHROUB WILAYA DE CANSTANTINE
النوع: AVIS D'APPEL D'OFFRES NATIONAL OUVERT AVEC EXIGENCE DE CAPACITES MINIMALES N23/2025
موضوع: REHABILITATION DE LA CITE ZEGHIDA TAHER 1ER TRANCHE
عدد الصفحات: 1/4
السبت 27 ديسمبر 2025
APPEL D'OFFRES NATIONAL OUVERT AVEC EXIGENCE DE CAPACITÉ MINIMALES N° 24 /2025
الزبون: DIRECTION DES EQUIPEMENTS PUBLICS DE LA WILAYA DE CHLEF
النوع: APPEL D'OFFRES NATIONAL OUVERT AVEC EXIGENCE DE CAPACITÉ MINIMALES N° 24 /2025
موضوع: RESTE A REALISER D'UNE ECOLE PRIMAIRE TYPE 3 A LA CNE DE EL MARSA CENTRE
عدد الصفحات: 1/4
إعلان عن مناقصة وطنية مفتوحة مع اشتراط قدرات دنيا رقم 01/2025
الزبون: بلدية ذراع الميزان ولاية تيزي وزو
النوع: إعلان عن مناقصة وطنية مفتوحة مع اشتراط قدرات دنيا رقم 01/2025
موضوع: تمويل المطاعم المدرسية بالمواد الغذائية لسنة 2026
عدد الصفحات: 1/2
الإعلان عن طلب عروض وطني مفتوح مع اشتراط قدرات دنيا رقم 04/2025
الزبون: بلدية ولاد فايت ولاية الجزائر
النوع: الإعلان عن طلب عروض وطني مفتوح مع اشتراط قدرات دنيا رقم 04/2025
موضوع: تنظيف المدارس الابتدائية ومقر البلدية وملحقات البلدية لفائدة …
عدد الصفحات: 1/4
*اعلان عن طلب عروض وطني مفتوح مع اشتراط قدرات دنيا
الزبون: بلدية خراطة ولاية الجزائر
النوع: *اعلان عن طلب عروض وطني مفتوح مع اشتراط قدرات دنيا
موضوع: دراسة، متابعة، انجاز وتجهيز مدرسة صنف ب بحي الاخوة عمور الهواء …
عدد الصفحات: 1/2
الإعلان عن طلب العروض الوطني المفتوح مع اشتراط قدرات دنيا رقم 01/2025
الزبون: الاقامة الجامعية بن زهرة فاطمة الزهراء البليدة
النوع: الإعلان عن طلب العروض الوطني المفتوح مع اشتراط قدرات دنيا رقم 01/2025
موضوع: حراسة وأمن بالاقامة الجامعية بن زهرة فاطمة الزهراء البليدة خلال …
عدد الصفحات: 3/4
إعلان عن عدم جدوى المناقصة الوطنية المفتوحة رقم 18/2025
الزبون: المؤسسة العمومية للتلفزيون
النوع: إعلان عن عدم جدوى المناقصة الوطنية المفتوحة رقم 18/2025
موضوع: استئجاز معدات الاضاءة
عدد الصفحات: 1/4
AVIS D'INFRUCTUOSITE DE L'APPEL D'OFFRES NATIONAL OUVERT AVEC EXIGENCE DE CAPACITES MINIMALES N 14/2025
الزبون: ETABLISSEMENT PUBLIC DE TELEVISION
النوع: AVIS D'INFRUCTUOSITE DE L'APPEL D'OFFRES NATIONAL OUVERT AVEC EXIGENCE DE CAPACITES MINIMALES N 14/2025
موضوع: ACQUISITION D'UN SYSTEME DE GRUE CAMERA LOUMA
عدد الصفحات: 1/4
إعلان عن المنح المؤقت للصفقة ***
الزبون: المدرسة الوطنية العليا للتكنولوجيا والهندسة عنابة
النوع: إعلان عن المنح المؤقت للصفقة ***
موضوع: acquisition des équipements pour le FAB LAB de l'école nationale superieure de technologie et d'ingénierie annaba
عدد الصفحات: 1/4
***AVIS D'ATTRIBUTION PROVISOIRE DE MARCHE
الزبون: COMMUNE DE CHBAITA MOKHTAR WILAYA D'EL TARF
النوع: ***AVIS D'ATTRIBUTION PROVISOIRE DE MARCHE
موضوع: approvisionnement avec des produits alimentaires généraux et légumes et fruits les cantines scolaires dans des lots …
عدد الصفحات: 1/4
طلب العروض الوطني المفتوح مع اشتراط قدرات دنيا رقم 2025/28
الزبون: مديرية الري ولاية عنابة
النوع: طلب العروض الوطني المفتوح مع اشتراط قدرات دنيا رقم 2025/28
موضوع: انجاز محطة تصفية للمياه الملوثة لذراع الريش برحال
عدد الصفحات: 1/4
CONCOURS NATIONAL RESTREINT DE LA MAITRISE D’ŒUVRE N° 61 /2025
الزبون: DIRECTION DES EQUIPEMENTS PUBLICS DE LA WILAYA D’ORAN
النوع: CONCOURS NATIONAL RESTREINT DE LA MAITRISE D’ŒUVRE N° 61 /2025
موضوع: ETUDE ET SUIVI POUR LA REALISATION D'UNE POLYCLINIQUE AU NIVEAU DU SITE DES 5000/8000 LLV POLE AHMED ZABANA …
عدد الصفحات: 1/2
Avis d’Appel d’Offres National ouvert avec exigence de capacités minimales N° 15 DJS/2025
الزبون: WILAYA D’ORAN DIRECTION DE LA JEUNESSE ET DES SPORTS
النوع: Avis d’Appel d’Offres National ouvert avec exigence de capacités minimales N° 15 DJS/2025
موضوع: REALISATION D’UN VESTIAIRE, MUR DE CLOTURE DU STADE COMMUNAL ET AMENAGEMENT …
عدد الصفحات: 1/2
الإعلان عن طلب عرض وطني مفتوح مع اشتراط قدرات دنيا رقم 2025/18
الزبون: مديرية التعمير الهندسة المعمارية والبناء ولاية إن قزام
النوع: الإعلان عن طلب عرض وطني مفتوح مع اشتراط قدرات دنيا رقم 2025/18
موضوع: تكملة أشغال الشبكات والطرق المختلفة الأولية والثانوية لحي 450 …
عدد الصفحات: 1/2
الخميس 25 ديسمبر 2025
avis d'appel d'offres national ouvert avec exigence de capacites minimales n 98/2025
الزبون: direction des equipement publics de la wilaya de timimoun
النوع: avis d'appel d'offres national ouvert avec exigence de capacites minimales n 98/2025
موضوع: suivi realisation d'une brigade mobile de la police judiciaire avec 08 logements a timimoun
عدد الصفحات: 1/2
APPEL D’OFFRES NATIONAL OUVERT N° 04/2025 AVEC EXIGENCES DE CAPACITES MINIMALES
الزبون: WILAYA DE BEJAIA DAIRA DE CHEMINI COMMUNE D’AKFADOU
النوع: APPEL D’OFFRES NATIONAL OUVERT N° 04/2025 AVEC EXIGENCES DE CAPACITES MINIMALES
موضوع: Transport scolaire année 2026
عدد الصفحات: 1/2
AVIS D'ANNULATION
الزبون: université des sciences et de la technologie houari boumediene
النوع: AVIS D'ANNULATION
موضوع: acquisition d'equipements pour les travaux pratiques pour l'ecole des systemes autonome
عدد الصفحات: 1/4
*إعلان عن عدم جدوى*
الزبون: مديرية الادارة المحلية ولاية الجلفة
النوع: *إعلان عن عدم جدوى*
موضوع: انجاز مركز عقاري ما بين البلديات بالادريسية مع 02 سكنين الزاميين
عدد الصفحات: 1/4
إعلان عن منح مؤقت للصفقة ***
الزبون: ديوان الترقية والتسيير العقاري لولاية بومرداس
النوع: إعلان عن منح مؤقت للصفقة ***
موضوع: ما تبقى من أشغال كل هياكل الدولة المجتمعة بدون أشغال الطرق …
عدد الصفحات: 1/4
إعلان عن طلب العروض الوطني المفتوح مع اشتراط قدرات دنيا رقم 27/2025
الزبون: مديرية الأشغال العمومية لولاية تندوف
النوع: إعلان عن طلب العروض الوطني المفتوح مع اشتراط قدرات دنيا رقم 27/2025
موضوع: تتمة أشغال تقوية المدرج الرئيسي وملاحقه لمطار تندوف
عدد الصفحات: 3/4
إعلان عن مناقصة وطنية مفتوحة مع اشتراط الحد الادنى من القدرات رقم 2025/09
الزبون: اتصالات الجزائر
النوع: إعلان عن مناقصة وطنية مفتوحة مع اشتراط الحد الادنى من القدرات رقم 2025/09
موضوع: اشغال التوصيل النهائي للزبائن بالالياف البصرية / اشغال التوصيل …
عدد الصفحات: 1/4
avis d'annulation de l'attribution provisoire du marche relatif au 3eme avis d'appel d'offre national ouvert avec exigence de capacites minimales n 16 /2025
الزبون: opgi de dar elbeida alger
النوع: avis d'annulation de l'attribution provisoire du marche relatif au 3eme avis d'appel d'offre national ouvert avec exigence de capacites minimales n 16 /2025
موضوع: la realisation en tous corps d'état TCE du projet des 160 logements promotionnel aidés LPA avec commerces et …
عدد الصفحات: 1/4
اعلان عن طلب عروض مفتوح مع اشتراط قدرات دنيا ***
الزبون: بلدية الجلفة ولاية الجلفة
النوع: اعلان عن طلب عروض مفتوح مع اشتراط قدرات دنيا ***
موضوع: رفع القمامة 12 م3 BENNE TASSEUSE اقتناء 02 شاحنات
عدد الصفحات: 1/4
avis pour un concours national d'architecture restreint N°38/2025
الزبون: WILAYA D’ILLIZI LA DIRECTION DES EQUIPEMENTS PUBLICS
النوع: avis pour un concours national d'architecture restreint N°38/2025
موضوع: Etude et Suivi pour réalisation d'une compagnie d'intervention rapide 06 logements a Illizi
عدد الصفحات: 1/2
**إعلان عن طلب عروض مفتوح مع اشتراط قدرات دنيا رقم 2025/08
الزبون: بلدية الامير عبد القادر ولاية جيجل
النوع: **إعلان عن طلب عروض مفتوح مع اشتراط قدرات دنيا رقم 2025/08
موضوع: تموين المطاعم المدرسية بالمواد الغذائية لسنة 2026
عدد الصفحات: 1/2
APPEL D'OFFRES NATIONAL OUVERT AVEC EXIGENCE DE CAPACITES MINIMALES N° : 36 /2025
الزبون: Wilaya de Sétif Direction des Travaux Publics
النوع: APPEL D'OFFRES NATIONAL OUVERT AVEC EXIGENCE DE CAPACITES MINIMALES N° : 36 /2025
موضوع: Entretien de deux OA sur RN28 au pk 33 480 et pk 38 148
عدد الصفحات: 1/2
إعلان عن المنح المؤقت رقم 23/2025
الزبون: بلدية فلفلة ولاية سكيكدة
النوع: إعلان عن المنح المؤقت رقم 23/2025
موضوع: كراء حافلات نقل تلاميذ الطور الابتدائي لسنة 2026
عدد الصفحات: 1/4
الأربعاء 24 ديسمبر 2025
*إعلان عن المنح المؤقت*
الزبون: مديرية الأشغال العمومية لولاية تيميمون
النوع: *إعلان عن المنح المؤقت*
موضوع: انجاز طريق يربط بين الطريق الوطني رقم 51 ومنطقة تيميمون الكبرى 1 …
عدد الصفحات: 1/4
إعلان عن طلب عروض مفتوح مع اشتراط قدرات دنيا رقم 09/2025
الزبون: بلدية بومرداس ولاية بومرداس
النوع: إعلان عن طلب عروض مفتوح مع اشتراط قدرات دنيا رقم 09/2025
موضوع: LOCATION DES BUS POUR LE TRANSPORT SCOLAIRE AU PROFIT DU NIVEAU PRIMAIRE L'ANNEE 2026
عدد الصفحات: 1/4
إعلان عن مسابقة وطنية محدودة في الهندسة المعمارية رقم 74/2025
الزبون: المديرية العامة للأمن الوطني
النوع: إعلان عن مسابقة وطنية محدودة في الهندسة المعمارية رقم 74/2025
موضوع: انجاز مقر جديد للمديرية العامة للأمن الوطني والمديريات المركزية …
عدد الصفحات: 1/2
Avis d'appel d'offres national ouverlavec exigence de capacités minimales N28/2025
الزبون: Direction des Travaux Publics de la wilaya de Tipasa
النوع: Avis d'appel d'offres national ouverlavec exigence de capacités minimales N28/2025
موضوع: Lot 01 : Assistance Technique des travaux de Modernisation de la liaison entre Douaouda et Bouismail sur 10 Kms (W …
عدد الصفحات: 1/2
AVIS DES RESULTATS DE LA PREMIERE PHASE DU CONCOURS NATIONALE RESTREINT D’ARCHITECTURE N° 96 /2025
الزبون: DIRECTION DES EQUIPEMENTS PUBLICS DE WILAYADE TIMIMOUN
النوع: AVIS DES RESULTATS DE LA PREMIERE PHASE DU CONCOURS NATIONALE RESTREINT D’ARCHITECTURE N° 96 /2025
موضوع: : Etude, Suivi Et Réalisation D’un Lycée Type 1000 Au Niveau Du Site 383L P L 130L S 1233 H.R.G, Commune de …
عدد الصفحات: 1/4
إعلان عن طلب عروض وطنية مفتوحة مع اشتراط قدرات دنيا رقم 2025/30
الزبون: بلدية دلس ولاية بومرداس
النوع: إعلان عن طلب عروض وطنية مفتوحة مع اشتراط قدرات دنيا رقم 2025/30
موضوع: تهيئة منتزه المطل دلس
عدد الصفحات: 1/4
إعلان عن ثاني مناقصة وطنية ودولية مفتوحة مع اشتراط قدرات دنيا رقم 17/2025
الزبون: مطار الجزائر
النوع: إعلان عن ثاني مناقصة وطنية ودولية مفتوحة مع اشتراط قدرات دنيا رقم 17/2025
موضوع: اقتناء أربعة ألاف عربة الأمتعة
عدد الصفحات: 1/4
Avis d’appel d’offre ouvert N° :02 /2025
الزبون: WILAYA DE TIARET DAIRA D’AIN DEHEB COMMUNE D’AIN DEHEB
النوع: Avis d’appel d’offre ouvert N° :02 /2025
موضوع: LOCATION D’AUTOBUS DESTINES AU TRANSPORT SCOLAIRE POUR L’ANNEE 2025
عدد الصفحات: 1/2
APPEL D’OFFRES NATIONAL OUVERT AVEC EXIGENCE DE CAPACITES MINIMALES N° 19 / DSP / 2025
الزبون: WILAYA DE TLEMCEN DIRECTION DE LA SANTE ET DE LA POPULATION
النوع: APPEL D’OFFRES NATIONAL OUVERT AVEC EXIGENCE DE CAPACITES MINIMALES N° 19 / DSP / 2025
موضوع: Acquisition d’équipements pour la nouvelle UMC Maghnia
عدد الصفحات: 1/2
إعلان عن طلب عروض وطني مفتوح مع اشتراط قدرات دنيا للمرة الثانية بعد عدم جدوى رقم 2025/15
الزبون:
النوع: إعلان عن طلب عروض وطني مفتوح مع اشتراط قدرات دنيا للمرة الثانية بعد عدم جدوى رقم 2025/15
موضوع: اعادة الاعتبار لساحة عمومية بحي النصر حديقة لاند ببلدية المغير
عدد الصفحات: 1/4
إعلان عن طلب العروض وطني مفتوح مع اشتراط قدرات دنيا رقم 2025/54
الزبون: مديرية الادارة المحلية ولاية بسكرة
النوع: إعلان عن طلب العروض وطني مفتوح مع اشتراط قدرات دنيا رقم 2025/54
موضوع: اشغال التهيئة، اعادة الاعتبار والتحسين الحضري لساحة حيزواكة …
عدد الصفحات: 1/4
إعلان عن طلب عروض وطني مفتوح مع اشتراط قدرات رقم 37/2025
الزبون: مديرية الأشغال العمومية لولاية قالمة
النوع: إعلان عن طلب عروض وطني مفتوح مع اشتراط قدرات رقم 37/2025
موضوع: اقتناء ونقل العتاد الصغير الخردوات والدهن
عدد الصفحات: 1/2
إعلان عدم جدوى
الزبون: المجمع الصناعي سيدار
النوع: إعلان عدم جدوى
موضوع: إنجاز خبرة من أجل تحديد وجرد أصول الممتلكات العقارية والأراضي …
عدد الصفحات: 1/4
AVIS D'APPEL D'OFFRES OUVERT AVEC EXIGENCE DE CAPACITES MINIMALEW N 05/2025
الزبون: COMMUNE DE MCHOUNECHE WILAYA DE BISKRA
النوع: AVIS D'APPEL D'OFFRES OUVERT AVEC EXIGENCE DE CAPACITES MINIMALEW N 05/2025
موضوع: REVETEMENT DES RUES DANS LES QUARTIERS DE MCHOUNECHE ET BANIANE
عدد الصفحات: 1/4
***-AVIS D'ATTRIBUTION PROVISOIRE DU MARCHE
الزبون: UNIVERSITE SETIF 1 FERHAT ABBAS
النوع: ***-AVIS D'ATTRIBUTION PROVISOIRE DU MARCHE
موضوع: ACQUISITION D'OUTILS ET DE FOURNITURES DE LABORATOIRES D'ENSEIGNEMENTS ET DE RECHERCHE AU PROFIT DE LA FACULTE DE …
عدد الصفحات: 1/4
الثلاثاء 23 ديسمبر 2025
إعذار رقم 02*
الزبون: مديرية الري لولاية بسكرة
النوع: إعذار رقم 02*
موضوع: اعادة تأهيل خزان مائي بسعة 500 م3 بالدروع بلدية شتمة
عدد الصفحات: 1/4
*إعلان عن منح مؤقت**
الزبون: مديرية الأشغال العمومية لولاية جانت
النوع: *إعلان عن منح مؤقت**
موضوع: مشروع إنجاز معابر مائية على الطريق المزدوج اغوم برنامج رقم 26/2019 …
عدد الصفحات: 1/4
***AVIS D'ATTRIBUTION PROVISOIRE DU MARCHE
الزبون: COMMUNE DE MSILA WILAYA DE MSILA
النوع: ***AVIS D'ATTRIBUTION PROVISOIRE DU MARCHE
موضوع: TRANSPORT SCOLAIRE ANNEE 2026 COMMUNE DE MSILA
عدد الصفحات: 1/4
إعذار 02 قبل الفسخ
الزبون: بلدية اولاد خضير ولاية بني عباس
النوع: إعذار 02 قبل الفسخ
موضوع: انجاز ممر مغمور بالطريق البلدي رقم 220 الرابط بين الحي الجديد …
عدد الصفحات: 1/4
اعلان عن طلب عروض مفتوح مع اشتراط قدرات دنيا رقم 15/2025
الزبون: بلدية سيدي عيسى
النوع: اعلان عن طلب عروض مفتوح مع اشتراط قدرات دنيا رقم 15/2025
موضوع: تهيئة وتعبيد حي 08 ماي 1945 الجهة الغربية سيدي عيسى
عدد الصفحات: 1/4
avis d'attribution provisoire ****
الزبون: direction des oeuvre univerrsitaire d'alger centre
النوع: avis d'attribution provisoire ****
موضوع: transports des etudiants en mode urbain durant l'année 2026
عدد الصفحات: 1/4
avvec exigence de capacité minimales n 34/2025avis d'appel d'offre national ouvert
الزبون: direction des equipements publics wilaya d'illizi
النوع: avvec exigence de capacité minimales n 34/2025avis d'appel d'offre national ouvert
موضوع: etude suivi et realisation d'une sureté urbain au niveau du POS 15 commune d'illizi wilaya d'illizi
عدد الصفحات: 1/4
الإعلان عن منح مؤقت لصفقة **
الزبون: بلدية عين الدفلى ولاية عين الدفلى
النوع: الإعلان عن منح مؤقت لصفقة **
موضوع: تموين المطاعم المدرسية
عدد الصفحات: 1/4
إعلان عن الإسناد المؤقت لطلب العروض الوطني المفتوح رقم 2025/35
الزبون: المديرية العامة للأمن الوطني
النوع: إعلان عن الإسناد المؤقت لطلب العروض الوطني المفتوح رقم 2025/35
موضوع: اقتناء أفرشة وأغطية
عدد الصفحات: 1/2
اعلان رقم 2025/16 عن منح مؤقت للصفقات
الزبون: بلدية سيدي عيسى ولاية المسيلة
النوع: اعلان رقم 2025/16 عن منح مؤقت للصفقات
موضوع: القضاء على النقاط السوداء تطهير ومياه عبر احياء بلدية سيدي عيسى
عدد الصفحات: 1/4
AVIS D'ATTRIBUTION PROVISOIRE***
الزبون: COMMUNE D'AIN BESSEM WILAYA DE BOUIRA
النوع: AVIS D'ATTRIBUTION PROVISOIRE***
موضوع: Approvisionement des cantines scolaires en denrées alimentaires pour année 2026
عدد الصفحات: 1/4
ثاني إعلان عن طلب العروض مفتوح مع اشتراط قدرات دنيا بعد الاعلان عن عدم جدوى رقم 25/73
الزبون: مديرية التجهيزات العمومية ولاية باتنة
النوع: ثاني إعلان عن طلب العروض مفتوح مع اشتراط قدرات دنيا بعد الاعلان عن عدم جدوى رقم 25/73
موضوع: تهيئة، توسيع وتجهيز المؤسسة الاستشفائية المتخصصة الامومة …
عدد الصفحات: 1/4
AVIS D'APPEL D'OFFRE NATIONAL OUVERT AVEC EXIGENCE DES CAPACITES MINIMALES N 2025/02
الزبون: COMMUNE DE CHEURFA WILAYA D'ANNABA
النوع: AVIS D'APPEL D'OFFRE NATIONAL OUVERT AVEC EXIGENCE DES CAPACITES MINIMALES N 2025/02
موضوع: FORMI DES CANTINES SCOLAIRES PRIMAIRE A LA MUNICIPALITE DE CHEURFA POUR L'EXERCICE 2026
عدد الصفحات: 1/4
إعلان عن المنح المؤقت رقم 2025/22
الزبون: بلدية فلفلة ولاية سكيكدة
النوع: إعلان عن المنح المؤقت رقم 2025/22
موضوع: التهيئة العمرانية بحي الإخوة عياشي بمحاذاة الدرك الوطني بلدية …
عدد الصفحات: 1/4
AVIS D'ATTRIBUTION PROVISOIRE ***
الزبون: COMMUNE DE BIR D'HEB WILAYA DE TEBESSA
النوع: AVIS D'ATTRIBUTION PROVISOIRE ***
موضوع: FOURNITURE DE PRODUITS ALIMENTAIRE POUR LES CANTINES SCOLAIRES POUR L'ANNEE 2026
عدد الصفحات: 1/4
avis d'appel d'offres ouvert avec exigence de capacites minimales n 17/2025
الزبون: direction des travaux publics de la wilaya de batna
النوع: avis d'appel d'offres ouvert avec exigence de capacites minimales n 17/2025
موضوع: etude pour le developpement du reseau routier de la wilaya de batna
عدد الصفحات: 3/4
aViS d’attribution ProViSoire de marcHé *
الزبون: WillaYa d'oum el bouagHi daYra de fKrina commune d'oued nini
النوع: aViS d’attribution ProViSoire de marcHé *
موضوع: «Marché a Commande concernant l alimentation scolaire pour l année 2026 renouvelable
عدد الصفحات: 1/4
الإثنين 22 ديسمبر 2025
اعلان عن المنح المؤقت للصفقة رقم 01/2026
الزبون: المؤسسة العمومية الاستشفائية بالأخضرية ولاية البويرة
النوع: اعلان عن المنح المؤقت للصفقة رقم 01/2026
موضوع: تموين المؤسسة بالمواد الغذائية واللحوم والخبز لسنة 2026
عدد الصفحات: 1/4
إعلان عن المنح المؤقت ****
الزبون: بلدية القصبة ولاية الجزائر
النوع: إعلان عن المنح المؤقت ****
موضوع: اشغال ترميم وتهيئة الرصيف على مستوى نهج محمد طالب وترميم الحائط …
عدد الصفحات: 1/4
*اعلان عن المنح المؤقت للصفقة*
الزبون: المدرسة الوطنية العليا للتكنولوجيات المتقدمة
النوع: *اعلان عن المنح المؤقت للصفقة*
موضوع: اقتناء، تركيب ووضع حيز الخدمة تجهيزات بيداغوجية لفائدة المدرسة …
عدد الصفحات: 1/4
AVIS D’ATTRIBUTION PROVISOIRE DU MARCHE
الزبون: WILAYA DE TIZI-OUZOU DAIRA DE TIZI-OUZOU COMMUNE DE TIZI-OUZOU
النوع: AVIS D’ATTRIBUTION PROVISOIRE DU MARCHE
موضوع: Réhabilitation du carrefour et le pont 20 Avril Tizi-Ouzou
عدد الصفحات: 1/4
...إعذار رقم 01...
الزبون: مديرية الري لولاية بني عباس
النوع: ...إعذار رقم 01...
موضوع: انجاز وتجهيز مقر مديرية الري لولاية بني عباس
عدد الصفحات: 1/4
AVIS DE PROROGATION DE DELAI N°03 DE L’APPEL D’OFFRES NATIONAL OUVERT AVEC EXIGENCE DE CAPACITES MINIMALES N°40/AT/DG/DAMP/DAM/2025
الزبون: Algérie Télécom
النوع: AVIS DE PROROGATION DE DELAI N°03 DE L’APPEL D’OFFRES NATIONAL OUVERT AVEC EXIGENCE DE CAPACITES MINIMALES N°40/AT/DG/DAMP/DAM/2025
موضوع: Acquisition de solutions audiovisuelles (Room Vidéo Call)
عدد الصفحات: 1/4
اعلان عن طلب عروض وطني مفتوح رقم 12/2025
الزبون: مجمع الحليب جيبلي
النوع: اعلان عن طلب عروض وطني مفتوح رقم 12/2025
موضوع: توريد 120 طن من المستحضرات الفاكهية للياغورت الفاكهي
عدد الصفحات: 1/4
طلب ثاني عروض وطني مفتوح مع اشتراط قدرات دنيا رقم 11/2024
الزبون: المركز الاستشفائي الجامعي تيجاني دمرجي تلمسان
النوع: طلب ثاني عروض وطني مفتوح مع اشتراط قدرات دنيا رقم 11/2024
موضوع: دراسة متابعة تهيئة وتاهيل مصلحة المسالك البولية للمركز …
عدد الصفحات: 3/4
AVIS D’APPEL D’OFFRES NATIONAL OUVERT AVEC EXIGENCE DES CAPACITES MINIMALE DEP/ 59 /2025
الزبون: DIRECTION DES EQUIPEMENTS PUBLICS De la Wilaya de Tlemcen
النوع: AVIS D’APPEL D’OFFRES NATIONAL OUVERT AVEC EXIGENCE DES CAPACITES MINIMALE DEP/ 59 /2025
موضوع: ETUDE, REALISATION ET EQUIPEMENT D’UNE POLYCLINIQUE A HAI ROSTOMIYINE POUR LA REALISATION DES LOTS SUIVANT : …
عدد الصفحات: 1/4
إعلان عن مسابقة وطنية محدودة في الهندسة المعمارية رقم 25/2025
الزبون: مديرية التجهيزات العمومية ولاية المغير
النوع: إعلان عن مسابقة وطنية محدودة في الهندسة المعمارية رقم 25/2025
موضوع: انجاز ثانوية نوع 1000 على مستوى موقع 1160 LPL 11 POS بلدية المغير ولاية …
عدد الصفحات: 1/4
إعلان عن مسابقة وطنية محدودة في الهندسة المعمارية رقم 26/2025
الزبون: مديرية التجهيزات العمومية ولاية المغير
النوع: إعلان عن مسابقة وطنية محدودة في الهندسة المعمارية رقم 26/2025
موضوع: دراسة متابعة وانجاز متوسطة نوع 06 على مستوى موقع 1160 LPL POS11 بلدية …
عدد الصفحات: 1/4
*إعلان عن منح مؤقت للصفقات**
الزبون: المؤسسة العمومية الاستشفائية صروب الخثير بالعلمة
النوع: *إعلان عن منح مؤقت للصفقات**
موضوع: توريد المواد المتعلفة بالتغذية لسنة 2026
عدد الصفحات: 1/4
*AVIS D'APPEL D'OFFRES NATIONAL OUVERT AVEC EXIGENCE DE CAPACITES MINIMALES N 08/2025
الزبون: COMMUNE DE TERRAI-BEINEN WILAYA DE MILA
النوع: *AVIS D'APPEL D'OFFRES NATIONAL OUVERT AVEC EXIGENCE DE CAPACITES MINIMALES N 08/2025
موضوع: realisation de forage au profit commune de terrai beinen
عدد الصفحات: 1/2
AVIS N 100/2025 D'ATTRIBUTION PROVISOIRE DU MARCE
الزبون: COMMUNE D'OUED TAGA WILAYA DE BATNA
النوع: AVIS N 100/2025 D'ATTRIBUTION PROVISOIRE DU MARCE
موضوع: APPROVISIONNEMENT DES CANTINES SCOLAIRES EN PRODUITS ALIMENTAIRES DURANT L'annee 2026
عدد الصفحات: 1/4
Avis d’Appel d’Offres National Ouvert avec exigence de capacités minimales
الزبون: DIRECTION DES TRAVAUX PUBLICS DE LA WILAYA DE SOUK AHRAS
النوع: Avis d’Appel d’Offres National Ouvert avec exigence de capacités minimales
موضوع: LOT 11 :TRAVAUX D’ENTRETIEN D’UN OUVRAGE D’ART SUR RN 16 AU PK 141 000 (EX 144 000) LOT 12: TRAVAUX …
عدد الصفحات: 1/2
AVIS D'ATTRIBUTION PROVISOIREDE MARCHE***
الزبون: COMMUNE DOUM LADHAM WILAYA DE SOUK AHRAS
النوع: AVIS D'ATTRIBUTION PROVISOIREDE MARCHE***
موضوع: LA FOURNITURES DES CANTINES SCOLAIRE EN PRODUITS ALIMENTAIRES LEGUMES ET FRUITS VIANDE ET OEUFS ET PAIN
عدد الصفحات: 1/4
الأحد 21 ديسمبر 2025
Avis D’appel D’offre ouvert Avec Exigence de Capacités Minimales N° : 16/2025
الزبون: Wilaya de RELIZANE Direction des travaux Publics
النوع: Avis D’appel D’offre ouvert Avec Exigence de Capacités Minimales N° : 16/2025
موضوع: REALISATION D’UN OUVRAGE D’ART SUR LE CW14 (OUED TELATA) AU PK 46 950
عدد الصفحات: 1
اعذار رقم 02/2025
الزبون: بلدية عين البيضاء احريش ولاية ميلة
النوع: اعذار رقم 02/2025
موضوع: انجاز شبكة التطهير لمشتة أولاد مساعد
عدد الصفحات: 1/4
إعلان عن طلب عروض وطني مفتوح مع اشتراط قدرات دنيا رقم 2025-15
الزبون: مديرية الشباب والرياضة ولاية أم البواقي
النوع: إعلان عن طلب عروض وطني مفتوح مع اشتراط قدرات دنيا رقم 2025-15
موضوع: انجاز وتجهيز قاعة متخصصة بأم البواقي
عدد الصفحات: 1/2
avis d'attribution provisoire--
الزبون: ecole nationale superieure des forets khenchella
النوع: avis d'attribution provisoire--
موضوع: prestation de nettoyage au profit de l'ecole nationale superieure des forets
عدد الصفحات: 1/4
AVIS D'ATTRIBUTION PROVISOIRE DES MARCHES6
الزبون: DIRECTION DE L'URBANISME DE L4ARCHITECTURE ET DE LA CONSTRUCTION WILAYA DE GUELMA
النوع: AVIS D'ATTRIBUTION PROVISOIRE DES MARCHES6
موضوع: P
عدد الصفحات: 1/4
MISE EN DEMEURE N01-
الزبون: service de mobilisation des ressources des eaux wilaya de tebessa
النوع: MISE EN DEMEURE N01-
موضوع: réalisation 3 forages
عدد الصفحات: 1/4
AVIS D'ATTRIBUTION PROVISOIRE DU CONTRAT
الزبون: DIRECTION DES EQUIPEMENTS PUBLICS WILAYA DE TAREF
النوع: AVIS D'ATTRIBUTION PROVISOIRE DU CONTRAT
موضوع: AMENAGEMENT ET REHABILITATION DES ETABLISSEMENTS DU CYCLE PRIMAIRE
عدد الصفحات: 1/4
Avis d'attribution provisoire de marche-
الزبون: circonscription administrative de dar elbeida wilaya d'alger
النوع: Avis d'attribution provisoire de marche-
موضوع: travaux d'aménagement d'un espace vert aire de jeux pour enfants equipements sis a haouch attar commune de dar el …
عدد الصفحات: 1/4
إعذار رقم 02-
الزبون: المركز الاستشفائي الجامعي لبجاية
النوع: إعذار رقم 02-
موضوع: ح
عدد الصفحات: 1/4
CONCOURS NATIONAL RESTREINT DE MAITRISE D'OEUVRES N 11-2025
الزبون: DIRECTION DES EQUIPEMENT PUBLIQUES WILAYA DE BORDJ BOU ARRERIDJ
النوع: CONCOURS NATIONAL RESTREINT DE MAITRISE D'OEUVRES N 11-2025
موضوع: ETUDE ET SUIVI POUR LA REALISATION D'UN COLLEGE TYPE 06 AU NIVEAU DU POS R02 COMMUNE DE EL ANNASSER
عدد الصفحات: 1/2
اعلان عن مناقصة وطنية مفتوحة مع اشتراط قدرات دنيا رقم 2025-27
الزبون: بلدية بجاية ولاية بجاية
النوع: اعلان عن مناقصة وطنية مفتوحة مع اشتراط قدرات دنيا رقم 2025-27
موضوع: travaux de rehabilitation et aménagement site des aiguades
عدد الصفحات: 1/2
اعلان عن طلب عروض وطني مفتوح مع اشتراط قدرات دنيا رقم 2025-04
الزبون: المديرية العامة للأمن الوطني
النوع: اعلان عن طلب عروض وطني مفتوح مع اشتراط قدرات دنيا رقم 2025-04
موضوع: اشغال وتصليح أنظمة الكشف عن الحرائق على مستوى مصالح الشرطة …
عدد الصفحات: 1/2
اعلان عن مسابقة وطنية محدودة في الهندسة المعمارية رقم 06-2025
الزبون: مديرية التجهيزات العمومية لولاية الشلف
النوع: اعلان عن مسابقة وطنية محدودة في الهندسة المعمارية رقم 06-2025
موضوع: دراسة ومتابعة لانجاز مدرسة ابتدائية نوع 2 على مستوى موقع 200LPL 160LPL
عدد الصفحات: 1/4
السبت 20 ديسمبر 2025
avis d'appel d'offre national ouvert n2025/09 aprés l'annulation d'attribution provisoire du marche
الزبون: commune d'aomar wilaya de bouira
النوع: avis d'appel d'offre national ouvert n2025/09 aprés l'annulation d'attribution provisoire du marche
موضوع: fourniture ecoles primaires de la commune d'aomar des produits alimentaire année 2026
عدد الصفحات: 1/4
avis d'appel d'offre national ouvert avec exigences de capacités minimales
الزبون: etablissemnt de la ville nouvelle de sidi abdellah
النوع: avis d'appel d'offre national ouvert avec exigences de capacités minimales
موضوع: réalisation des aménagemnts extérieures du quartier 20, commune de rahmania
عدد الصفحات: 1/2
اعلان عن طلب عروض وطني مفتوح مع اشتراط قدرات دنيا رقم 2025-49
الزبون: مديرية الري لولاية بسكرة
النوع: اعلان عن طلب عروض وطني مفتوح مع اشتراط قدرات دنيا رقم 2025-49
موضوع: انجاز نظام التزويد بالمياه الصالحة للشرب لمنطقة التوسع "مخططات …
عدد الصفحات: 1/4
avis d'appel d'offres national ouvert avec exigence de capacites minimales n 06-2025
الزبون: direction de la protection civile de la wilaya de msila
النوع: avis d'appel d'offres national ouvert avec exigence de capacites minimales n 06-2025
موضوع: réhabilitation des structures de la protection civile a msila
عدد الصفحات: 1/4
دعوة فتح الأظرفة المالية
الزبون: ديوان الترقية والتسيير العقاري الأغواط
النوع: دعوة فتح الأظرفة المالية
موضوع: دراسة ومتابعة 350 سكن عمومي إيجاري ببلدية أفلو برنامج 2024
عدد الصفحات: 1/4
_AVIS D'ATTRIBUTION PROVISOIRE
الزبون: شركة الطباعة بالجزائر
النوع: _AVIS D'ATTRIBUTION PROVISOIRE
موضوع: couverture en assurance de l'activité et du patrimoine de la société d'impression d'Alger
عدد الصفحات: 1/4
avis d'un concours national restreint n 80-2025
الزبون: direction des equipement publics de la wilaya de constantine
النوع: avis d'un concours national restreint n 80-2025
موضوع: etude et suivi pour la réalisation d'un collége type 6 N 2 au niveau de sissaoui 8050LLV 800LPL commune de …
عدد الصفحات: 1/2
avis d'un concours national restreint n 81- 2025
الزبون: direction des équipement publics de la wilaya de Constantine
النوع: avis d'un concours national restreint n 81- 2025
موضوع: etude et suivi pour la réalisation d'un collége type 6 au niveau du site zouaghi 1172 385 logements individuels …
عدد الصفحات: 1/2
Avis De Pré-Qualification
الزبون: DIRECTION DES EQUIPEMENTS PUBLICS de RELIZANE
النوع: Avis De Pré-Qualification
موضوع: : ETUDE, SUIVI POUR REALISATION D’UNE POLYCLINIQUE AU NIVEAU DU SITE 720 LPL LS POLE URBAIN BELASSEL BOUZEGZA …
عدد الصفحات: 1/4
Avis De Pré-Qualification.
الزبون: DIRECTION DES EQUIPEMENTS PUBLICS de RELIZANE
النوع: Avis De Pré-Qualification.
موضوع: ETUDE, SUIVI POUR REALISATION D’UNE ECOLE PRIMAIRE TYPE 2 AU NIVEAU
عدد الصفحات: 1/4
اعلان ثاني عن طلب عروض وطني مفتوح مع اشتراط قدرات دنيا
الزبون: مديرية الري ولاية البيض
النوع: اعلان ثاني عن طلب عروض وطني مفتوح مع اشتراط قدرات دنيا
موضوع: انجاز6 خزانات مائية على مستوى بلديات ولاية البيض بوقطب 1، الغاسول …
عدد الصفحات: 1/2
اعلان عن طلب عروض وطني مفتوح مع اشتراط قدرات دنيا رقم 01-2025
الزبون: مديرية التكوين والتعليم المهنيين لولاية عنابة
النوع: اعلان عن طلب عروض وطني مفتوح مع اشتراط قدرات دنيا رقم 01-2025
موضوع: اشغال هدم واعادة بناء الجناح البيداغوجي والجناح الاداري واعادة …
عدد الصفحات: 1/4
_اعلان عن طلب عروض مفتوح مع اشتراط قدرات دنيا _
الزبون: مديرية الشباب والرياضة ولاية سوق أهراس
النوع: _اعلان عن طلب عروض مفتوح مع اشتراط قدرات دنيا _
موضوع: انجاز مسبح جواري ببلدية المراهنة
عدد الصفحات: 1/4
_اعلان عن المنح المؤقت_
الزبون: بلدية بوشقوف ولاية قالمة
النوع: _اعلان عن المنح المؤقت_
موضوع: تموين المطاعم المدرسية بالمواد الغذائية للسنة المالية 2026
عدد الصفحات: 1/4
إعلان عن المنح المؤقت -
الزبون: بلدية ابن ناصر ولاية توقرت
النوع: إعلان عن المنح المؤقت -
موضوع: توسيع شبكة الصرف الصحي بحي 20 أوت 1956 على مسافة 01 كلم
عدد الصفحات: 1/4
إعلان عن المنح المؤقت لطلب العروض الوطني المفتوح مع اشتراط قدرات دنيا رقم 2025-06
الزبون: مديرية الأشغال العمومية لولاية توقرت
النوع: إعلان عن المنح المؤقت لطلب العروض الوطني المفتوح مع اشتراط قدرات دنيا رقم 2025-06
موضوع: صيانة الطرق الوطنية لسنة اقتناء الوسائل 2026
عدد الصفحات: 1/4
الخميس 18 ديسمبر 2025
Avis aux concurrents qui ont participés dans le concours national d’architecture N° 09/2025
الزبون: DIRECTION DES EQUIPEMENTS PUBLICS DE LA WILAYA DE BLIDA
النوع: Avis aux concurrents qui ont participés dans le concours national d’architecture N° 09/2025
موضوع: l’étude et suivi pour la réalisation d’un collège N° 01 type 6 au niveau du site des …
عدد الصفحات: 1/4
إعلان عن مناقصة وطنية مفتوحة مع اشتراط قدرات دنيا رقم 2025/06
الزبون: محافظة الغابات ولاية تيزي وزو
النوع: إعلان عن مناقصة وطنية مفتوحة مع اشتراط قدرات دنيا رقم 2025/06
موضوع: أشغال حراجية على مساحة 369.2 هكتار ناتج عن فسخ عقود
عدد الصفحات: 1/2
**إعلان عن المنح المؤقت**
الزبون: بلدية مزغنة ولاية المدية
النوع: **إعلان عن المنح المؤقت**
موضوع: تموين المطاعم المدرسية بالمواد الغذائية لسنة 2026
عدد الصفحات: 1/4
إعلان عن إلغاء الإجراء*
الزبون: بلدية الدار البيضاء ولاية الجزائر
النوع: إعلان عن إلغاء الإجراء*
موضوع: تموين المطاعم المدرسية بالمواد الغذائية
عدد الصفحات: 1/4
اعلات عن عدم جدوى المناقصة الوطنية المفتوحة مع اشتراط قدرات دنيا رقم 11/2025
الزبون: العيادة الطبية الجراحية للاطفال ببوسماعيل
النوع: اعلات عن عدم جدوى المناقصة الوطنية المفتوحة مع اشتراط قدرات دنيا رقم 11/2025
موضوع: انجاز اشغال اصلاح وتاهيل شبكة الوقاية من الحرائق
عدد الصفحات: 1/4
إعلان المنح المؤقت خاص بطلب العروض الوطني والدولي المحدود رقم 2025/03
الزبون: مؤسسة إستغلال مناجم الذهب ENOR
النوع: إعلان المنح المؤقت خاص بطلب العروض الوطني والدولي المحدود رقم 2025/03
موضوع: توريد المواد الكيميائية
عدد الصفحات: 1/4
AVIS D’APPEL D’OFFRES OUVERT CONCERNANT L’APPROVISIONNEMENT DE L’ETABLISSEMENT PUBLIC HOSPITALIER MENDES EN DIVERS PRODUITS ALIMENTAIRES DURANT L’ANNEE 2026
الزبون: LA WILAYA DE RELIZANE ETABLISSEMENT PUBLIC HOSPITALIER Mendes
النوع: AVIS D’APPEL D’OFFRES OUVERT CONCERNANT L’APPROVISIONNEMENT DE L’ETABLISSEMENT PUBLIC HOSPITALIER MENDES EN DIVERS PRODUITS ALIMENTAIRES DURANT L’ANNEE 2026
موضوع: la fourniture de produits alimentaires
عدد الصفحات: 1/2
AVIS D’APPEL D’OFFRES NATIONAL OUVERT AVEC EXIGENCE DE CAPACITES MINIMALES APRES INFRUCTUOSITE N° 166 /2025
الزبون: WILAYA DE SIDI BEL ABBES DIRECTION DES EQUIPEMENTS PUBLICS
النوع: AVIS D’APPEL D’OFFRES NATIONAL OUVERT AVEC EXIGENCE DE CAPACITES MINIMALES APRES INFRUCTUOSITE N° 166 /2025
موضوع: La Réalisation D’un Collège Type B6/200R A Oued Taourira Commune de Oued Taourira-Wilaya de Sidi Bel Abbés
عدد الصفحات: 1/2
avis d'appel d'offre national ouvert avec exigence de capacites minimales n 2025/01
الزبون: direction des services agricoles de la wilaya de jijel
النوع: avis d'appel d'offre national ouvert avec exigence de capacites minimales n 2025/01
موضوع: relance de l'activité agricole suite aux dégats occasionnés par les intempéries suvenues du 28 février au premier …
عدد الصفحات: 1/4
annonce d'un appel d'offres national ouvert avec des exigences minimales de capacite
الزبون: cour de khenchela ministere de la justice
النوع: annonce d'un appel d'offres national ouvert avec des exigences minimales de capacite
موضوع: travaux de nettoyage du nouveau siége de la cour de justice de khenchela et du tribunal de kais
عدد الصفحات: 1/2
avis d'attribution provisoire de l'avis d'appel d'offres ouvertb avec exigence de capacites minimales n 2025/02
الزبون: DIRECTION DE LA PROTECTION CIVILE DE LA WILAYA D'OUM ELBOUAGHI
النوع: avis d'attribution provisoire de l'avis d'appel d'offres ouvertb avec exigence de capacites minimales n 2025/02
موضوع: l'approvisionnement des unités opérationnelles de la protection civile en denrées alimentaires au titre de l'année …
عدد الصفحات: 1/4
إعلان عن تصحيح المنح المؤقت
الزبون: بلدية سطيف ولاية سطيف
النوع: إعلان عن تصحيح المنح المؤقت
موضوع: تهيئة وتعبيد حي كانغاز SNTR أمام متوسطة كاتب ياسين
عدد الصفحات: 1/4
إعلان عن طلب عروض وطني مفتوح مع اشتراط قدرات دنيا بعد عدم جدوى رقم 05/2025
الزبون: مديرية السكن ولاية تبسة
النوع: إعلان عن طلب عروض وطني مفتوح مع اشتراط قدرات دنيا بعد عدم جدوى رقم 05/2025
موضوع: اعادة الاعتبار للحضيرة العقارية لبلديات الولاية في إطار حساب …
عدد الصفحات: 1/2
إعلان عن المنح المؤقت لطلب عروض وطني مفتوح رقم 2025/04
الزبون: المصلحة الجهوية للمالية والتجهيز ورقلة
النوع: إعلان عن المنح المؤقت لطلب عروض وطني مفتوح رقم 2025/04
موضوع: اقتناء قطع غيار لمختلف المركبات
عدد الصفحات: 1/4
إعلان عن طلب عروض مفتوح مع إشتراط قدرات دنيا رقم 2025/176
الزبون: بلدية النزلة ولاية توقرت
النوع: إعلان عن طلب عروض مفتوح مع إشتراط قدرات دنيا رقم 2025/176
موضوع: إعادة تأهيل قناة الضخ لحي النصر النزلة على مسافة 1200 م ط
عدد الصفحات: 1/4
الأربعاء 17 ديسمبر 2025
avis d'attribution provisoire *
الزبون: WILAYA DE SETIF *** DAIRA DE HAMMAM GUERGOUR *** COMMUNE DE DRAA-KEBILA
النوع: avis d'attribution provisoire *
موضوع: garantir le transport scolaire a travers le territoire de la commune draa kebila pour l’année 2026
عدد الصفحات: 1/2
طلب العروض المفتوح مع اشتراط القدرات الدنيا للمرة الثانية رقم 2025/07
الزبون: بلدية حاسي الرمل ولاية الأغواط
النوع: طلب العروض المفتوح مع اشتراط القدرات الدنيا للمرة الثانية رقم 2025/07
موضوع: تمديد المصب الرئيسي على مسافة 500 م/ط مع انجاز حوض لتجميع المياه …
عدد الصفحات: 1/4
الإعلان الثاني عن طلب العروض الوطني المفتوح رقم 2025/02
الزبون: وزارة الشؤون الدينية والأوقاف
النوع: الإعلان الثاني عن طلب العروض الوطني المفتوح رقم 2025/02
موضوع: تجهيز المركز السمعي البصري على مستوى وزارة الشؤون الدينية …
عدد الصفحات: 1/2
AVIS D’APPEL D’OFFRES NATIONAL ET INTERNATIONAL OUVERT AVEC EXIGENCE DE CAPACITES MINIMALES N°42/AT/DG/DAMP/DAM/2025
الزبون: EPE - Algérie Télécom - SPA Direction Générale
النوع: AVIS D’APPEL D’OFFRES NATIONAL ET INTERNATIONAL OUVERT AVEC EXIGENCE DE CAPACITES MINIMALES N°42/AT/DG/DAMP/DAM/2025
موضوع: L’ACQUISITION D’UNE SOLUTION DNS CACHE COMPRENANT L’ETUDE, L’ACQUISITION D’EQUIPEMENTS, INSTALLATION, …
عدد الصفحات: 1
*إعلان عن طلب عروض مفتوح مع اشتراط قدرات دنيا
الزبون: مديرية التربية لولاية سكيكدة
النوع: *إعلان عن طلب عروض مفتوح مع اشتراط قدرات دنيا
موضوع: تهيئة واعادة الاعتبار لمؤسسات التعليم المتوسط
عدد الصفحات: 3/4
avis d'attribution provisoire du marche n 2025/182
الزبون: direction des equipements publics de la wilaya de setif
النوع: avis d'attribution provisoire du marche n 2025/182
موضوع: realisation d'un college base 200/05 repas remplacement a ain azel (cem mouhamed gheloussi)
عدد الصفحات: 1/4
APPEL D'OFFRE NATIONAL OUVERT AVEC EXIGENCE DE CAPACITES MINIMALES N 03/2025
الزبون: OPGI CONSTANTINE
النوع: APPEL D'OFFRE NATIONAL OUVERT AVEC EXIGENCE DE CAPACITES MINIMALES N 03/2025
موضوع: l'acquisition à commandes de divers fournitures des articles de quincaillerie générale au profit de l'opgi de …
عدد الصفحات: 1/4
إعلان عن مزايدة وطنية مفتوحة بتعهدات مختومة رقم 2025/04
الزبون: ولاية قسنطينة
النوع: إعلان عن مزايدة وطنية مفتوحة بتعهدات مختومة رقم 2025/04
موضوع: تأجير حضيرة التسلية بجبل الوحش ببلدية قسنطينة
عدد الصفحات: 1/4
إعلان رقم 2025/203
الزبون: مديرية التجهيزات العمومية لولاية سطيف
النوع: إعلان رقم 2025/203
موضوع: دراسة ومتابعة لإنجاز متوسطة نمط 6 رقم 01 بالقطب الحضري 4000 مسكن بيع …
عدد الصفحات: 1/4
Avis D’appel D’offre Ouvert Avec Exigence de Capacités Minimales pour la 2éme fois N°78 /2025
الزبون: Wilaya de RELIZANE DIRECTION DES EQUIPEMENTS PUBLICS
النوع: Avis D’appel D’offre Ouvert Avec Exigence de Capacités Minimales pour la 2éme fois N°78 /2025
موضوع: Etude, Suivi, et réalisation des classes d’extension des écoles primaires
عدد الصفحات: 1/2
إعلان عن طلب العروض المفتوح مع اشتراط قدرات الدنيا رقم 2025/21
الزبون: مديرية التعمير الهندسة المعمارية والبناء لولاية وهران
النوع: إعلان عن طلب العروض المفتوح مع اشتراط قدرات الدنيا رقم 2025/21
موضوع: أشغال تزويد المياه الصالحة للشرب 5000 مسكن عدل القطب العمراني أحمد …
عدد الصفحات: 1/2
الثلاثاء 16 ديسمبر 2025
اعلان عن طلب عروض وطني مفتوح مع اشتراط قدرات دنيا رقم 77/2025 بعد عدم جدوى
الزبون: مديرية التجهيزات العمومية لولاية ورقلة
النوع: اعلان عن طلب عروض وطني مفتوح مع اشتراط قدرات دنيا رقم 77/2025 بعد عدم جدوى
موضوع: انجاز مقر الأمن التبديلي بحاسي مسعود مع اقتناء مولد كهربائي
عدد الصفحات: 1/2
AVIS D'attribution provisoire de l'avis d'appel d'offre n 17/2025
الزبون: direction de la jeunesse et des sports wilaya de tebessa
النوع: AVIS D'attribution provisoire de l'avis d'appel d'offre n 17/2025
موضوع: réhabilitation des infrastructures de jeunesse
عدد الصفحات: 1/4
AVIS D’ INFRUCTUOSITE DU 3EME L’APPEL D’OFFRE NATIONAL OUVERT AVEC EXIGENCES DE CAPACITES MINIMALES N° 08 /2025
الزبون: MINISTRE DE LA CULTURE ET DES ARTS
النوع: AVIS D’ INFRUCTUOSITE DU 3EME L’APPEL D’OFFRE NATIONAL OUVERT AVEC EXIGENCES DE CAPACITES MINIMALES N° 08 /2025
موضوع: EQUIPEMENT DU THEATRE REGIONAL - SKIKDA
عدد الصفحات: 1/4
تصحيح الإعلان عن منح مؤقت
الزبون: مديرية الادارة المحلية ولاية باتنة
النوع: تصحيح الإعلان عن منح مؤقت
موضوع: اعادة الاعتبار للحدائق العمومية ومحاور الدوران ببلدية باتنة
عدد الصفحات: 1/4
avis d'appel d'offres national ouvert avec exigence de cpacites minimales
الزبون: commune ain m'lila wilaya d'oum bouaghi
النوع: avis d'appel d'offres national ouvert avec exigence de cpacites minimales
موضوع: fourniture produit alimentaire au cantines scolaires pour l'annéé 2026
عدد الصفحات: 1/2
MISE EN DEMEURE*
الزبون: OPGI WILAYA DE CONSTANTINE
النوع: MISE EN DEMEURE*
موضوع: réalisation des travaux en TCE des 40 logements LPA avec 06 locaux de commerce localisés a sarkina commune de …
عدد الصفحات: 1/4
إعلان رقم 2025/183
الزبون: مديرية التجهيزات العمومية لولاية سطيف
النوع: إعلان رقم 2025/183
موضوع: دراسة ومتابعة لإنجاز متوسطة نمط 6 بموقع 600 مسكن بالقطب الحضري …
عدد الصفحات: 1/4
AVIS APPEL D’0FFRE NATIONAL OUVERT AVEC EXIGENCE DE CAPACITES MINIMALES N° 13/2025
الزبون: DAIRA DE BETHIOUA COMMUNE DE BETHIOUA
النوع: AVIS APPEL D’0FFRE NATIONAL OUVERT AVEC EXIGENCE DE CAPACITES MINIMALES N° 13/2025
موضوع: Etude et Suivi et Travaux d’Aménagement De Stade Communal avec réalisation Des gradins à Araba
عدد الصفحات: 1/2
AVIS D’APPEL D’OFFRES NATIONAL OUVERT AVEC EXIGENCE DES CAPACITES MINIMALE DEP/ 44 /2025
الزبون: DIRECTION DES EQUIPEMENTS PUBLICS De la Wilaya de Tlemcen
النوع: AVIS D’APPEL D’OFFRES NATIONAL OUVERT AVEC EXIGENCE DES CAPACITES MINIMALE DEP/ 44 /2025
موضوع: REALISATION DE 120 CLASSES DANS LES ETABLISSEMENT PRIMAIRES A TRAVERS LA WILAYA DE TLEMCEN (EXTENSION ET …
عدد الصفحات: 1/2
AVIS D’ATTRIBUTION PROVISOIRE N° 173 /2025
الزبون: DIRECTION DES EQUIPEMENTS PUBLICS DE LA WILAYA DE DJELFA
النوع: AVIS D’ATTRIBUTION PROVISOIRE N° 173 /2025
موضوع: la réalisation d’un hôpital de 120 lits (en remplacement) à Messad
عدد الصفحات: 1/4
ouvert avec exigence de capacites minimales n 2025/08avis d'appel d'offres national
الزبون: Wilaya de Jijel Commune de ziama mansouriah
النوع: ouvert avec exigence de capacites minimales n 2025/08avis d'appel d'offres national
موضوع: CONTRÔLE ET AMÉNAGEMENT ROUTE AKHEMKHAM (2èmeT) SUR 1,6 KM
عدد الصفحات: 1/4
avis d'infructuosité de l'avis appel d'offre national ouvert avec exigence de capacités minimales
الزبون: direction de la jeunesse et des sports de la wilaya de ain defla
النوع: avis d'infructuosité de l'avis appel d'offre national ouvert avec exigence de capacités minimales
موضوع: etude pour la réhabilitation et la mise a niveau du stade OMS a khemis miliana
عدد الصفحات: 1/4
إعلان ع مسابقة وطنية محدودة رقم 21/2025
الزبون: مديرية التجهيزات العمومية ولاية بومرداس
النوع: إعلان ع مسابقة وطنية محدودة رقم 21/2025
موضوع: دراسة ومتابعة انجاز متوسطة نوع 6 على مستوى، القطب الحضري سيدي …
عدد الصفحات: 1/2
avis d'attribution provisoire**
الزبون: l'établissement hospitalier spécialsé en transplantation d'organces et de tissus de blida
النوع: avis d'attribution provisoire**
موضوع: l'acquisition des equipements médicaux au profit de l'EHS TOT blida
عدد الصفحات: 1/4
*AVIS D'ATTRIBUTION PROVISOIRE**
الزبون: COMMUNE D'IMSOUHAL WILAYA DE TIZI OUZOU
النوع: *AVIS D'ATTRIBUTION PROVISOIRE**
موضوع: aménagement et revetement d'une aire de jeux en gazon synthétique a tizi guefres
عدد الصفحات: 1/4
الإثنين 15 ديسمبر 2025
**avis d'attribution provisoire du marche
الزبون: etablissement hospitalier specialisé ait idir ali
النوع: **avis d'attribution provisoire du marche
موضوع: l'acquisition d'equipement médicaux pour le bloc opératoire au profit de l'EHS ALI AIT IDIR
عدد الصفحات: 1/4
اعلان عن طلب عروض وطني مفتوح مع اشتراط قدرات دنيا رقم 04/2025
الزبون: جامعة امحمد بوقرة بومرداس
النوع: اعلان عن طلب عروض وطني مفتوح مع اشتراط قدرات دنيا رقم 04/2025
موضوع: اقتناء ووضع حيز الخدمة اجهزة علمية لمخبر البحث هندسة الانظمة …
عدد الصفحات: 1/2
avis d'un concours national d'architecture restreint n 2025/09
الزبون: direction des equipement public wilaya de médéa
النوع: avis d'un concours national d'architecture restreint n 2025/09
موضوع: etude et suivi pour la réalisation d'une école primaire type 02 au niveau du site des 1265 logements du pole urbain …
عدد الصفحات: 1/4
إعلان عن تمديد أجال تحضير العروض المتعلقة بطلب العروض الوطني المفتوح رقم 20/25
الزبون: موبيليس
النوع: إعلان عن تمديد أجال تحضير العروض المتعلقة بطلب العروض الوطني المفتوح رقم 20/25
موضوع: LA maintenance préventive et curative des groupes éléctrogénes sur les sites d'ATM MOBILIS
عدد الصفحات: 1/4
اعلان عن الإسناد المؤقت لطلب العروض الوطني المفتوح رقم 2025/01
الزبون: المديرية العامة للأمن الوطني
النوع: اعلان عن الإسناد المؤقت لطلب العروض الوطني المفتوح رقم 2025/01
موضوع: اقتناء مختلف المواد الأولية
عدد الصفحات: 1/2
*AVIS D'INFRUCTUOSITE
الزبون: RECTORAT DE DJAMAA EL DJAZAIR
النوع: *AVIS D'INFRUCTUOSITE
موضوع: l'acquisition de 08 véhicules de service au profit du rectorat de djmaa el djazair
عدد الصفحات: 1/4
اعلان عن طلب عروض وطني مفتوح رقم 14/2025
الزبون: مجمع الحليب جيبلي
النوع: اعلان عن طلب عروض وطني مفتوح رقم 14/2025
موضوع: توريد وتركيب وتشغيل معدات شبكات الكمبيوتر السلكية
عدد الصفحات: 1/4
**AVIS D'ATTRIBUTION PROVISOIRE
الزبون: DIRECTION DU LOGEMENT WILAYA DE TEBESSA
النوع: **AVIS D'ATTRIBUTION PROVISOIRE
موضوع: Réalisa on des travaux du VRD des lo ssements sociaux des communes de la wilaya dans le cadre de l'apport de la …
عدد الصفحات: 1/4
اعلان عن المنح المؤقت وعدم جدوى
الزبون: بلدية سطيف ولاية سطيف
النوع: اعلان عن المنح المؤقت وعدم جدوى
موضوع: اقتناء مواد ولوازم وعتاد صغير ومعدات لفائدة الورشات لبلدية سطيف …
عدد الصفحات: 1/4
اعلان عن منح مؤقت لصفقة**
الزبون: مؤسسة اعادة التربية عين البيضاء
النوع: اعلان عن منح مؤقت لصفقة**
موضوع: التموين بالمواد الغذائية لسنة 2026
عدد الصفحات: 1/4
مسابقة وطنية محدودة رقم 07/2025
الزبون: مديرية التجهيزات العمومية لولاية أم البواقي
النوع: مسابقة وطنية محدودة رقم 07/2025
موضوع: دراسة، متابعة وانجاز متوسطة نوع 6 بحي بوعكوز بلدية عين البيضاء …
عدد الصفحات: 1/2
*إعلان عن طلب عروض وطني مفتوح مع اشتراط قدرات دنيا رقم 2025/03
الزبون: المديرية العامة للأمن الوطني
النوع: *إعلان عن طلب عروض وطني مفتوح مع اشتراط قدرات دنيا رقم 2025/03
موضوع: تركيب صيانة وتصليح تجهيزات جماعية ومعدات التبريد
عدد الصفحات: 1/4
إعلان عن طلب عروض وطني مفتوح مع اشتراط قدرات دنيا رقم 2025/04
الزبون: المديرية العامة للأمن الوطني
النوع: إعلان عن طلب عروض وطني مفتوح مع اشتراط قدرات دنيا رقم 2025/04
موضوع: اشغال الصيانة والتهيئة على مستوى مرقد العزاب التابع لأمن ولاية …
عدد الصفحات: 1/4
2 eme AVISD’ADJUDICATION AUX ENCHERES PUBLIQUES Marche Hebdomadaire A Caractère National
الزبون: COMMUNE DE MESRA WILAYA DE MOSTAGANEM
النوع: 2 eme AVISD’ADJUDICATION AUX ENCHERES PUBLIQUES Marche Hebdomadaire A Caractère National
موضوع: DROIT DE PLACE - DE STATIONNEMENT ET L’ABATTAGE
عدد الصفحات: 1/4
*إعلان عن طلب عروض وطني مفتوح مع اشتراط قدرات دنيا رقم 2025/02
الزبون: المديرية العامة للأمن الوطني
النوع: *إعلان عن طلب عروض وطني مفتوح مع اشتراط قدرات دنيا رقم 2025/02
موضوع: اقتناء مواد التنظيف للمباني
عدد الصفحات: 1/4
الأحد 14 ديسمبر 2025
2eme appel d'offre ouvert avrc exigence de capacites minimales n20/2025
الزبون: direction des travaux publics wilaya de laghouat
النوع: 2eme appel d'offre ouvert avrc exigence de capacites minimales n20/2025
موضوع: realisation de dedoublement de la RN 23DU PK 397 AU PK 368 SUR 29 KM à ELHADJEB
عدد الصفحات: 1/2
مسابقة وطنية محدودة في الهندسة المعمارية رقم 94/2025
الزبون: مديرية التجهيزات العمومية لولاية أدرار
النوع: مسابقة وطنية محدودة في الهندسة المعمارية رقم 94/2025
موضوع: دراسة ومتابعة من اجل انجاز ثانوية نمط 1000 على مستوى موقع الحافظ …
عدد الصفحات: 1/2
اعلان عن طلب عروض وطني مفتوح مع اشتراط قدرات دنيا رقم 42/2025
الزبون: مديرية التجهيزات العمومية لولاية برج بوعريريج
النوع: اعلان عن طلب عروض وطني مفتوح مع اشتراط قدرات دنيا رقم 42/2025
موضوع: انجاز مستشفى 240 سرير برأس الوادي
عدد الصفحات: 3/4
AVIS D'APPEL D'OFFRE OUVERT Nº 12/2025
الزبون: COMMUNE DE SETTARA WILAYA DE JIJEL
النوع: AVIS D'APPEL D'OFFRE OUVERT Nº 12/2025
موضوع: L'ALIMENTATION SCOLAIRE DE L'ANNEE 2026
عدد الصفحات: 1/4
2eme AVIS D’APPEL D’OFFRES OUVERT Avec exigence de capacités minimales N° 26/2025 après l’annulation
الزبون: Wilaya d’OUM EL BOUAGHI Direction de l’Urbanisme, de l’Architecture Et de la Construction
النوع: 2eme AVIS D’APPEL D’OFFRES OUVERT Avec exigence de capacités minimales N° 26/2025 après l’annulation
موضوع: VRD PRIMAIRES ET SECONDAIRES
عدد الصفحات: 1/2
اعلان عن المنح المؤقت للصفقة في اطار الاستشارة بعد التفاوض رقم 01/2025 لطلب العروض الوطني المفتوح مع اشتراط قدرات دنيا رقم 11/2024
الزبون: المديرية العامة للأمن الوطني
النوع: اعلان عن المنح المؤقت للصفقة في اطار الاستشارة بعد التفاوض رقم 01/2025 لطلب العروض الوطني المفتوح مع اشتراط قدرات دنيا رقم 11/2024
موضوع: صيانة، تصليح وتركيب معدات التدفئة المركزية التابعة لمصالح …
عدد الصفحات: 1/4
إعلان عن مسابقة وطنية محدودة
الزبون: مديرية التجهيزات العمومية ولاية تيارت
النوع: إعلان عن مسابقة وطنية محدودة
موضوع: دراسة زمتابعة لانجاز مدرسة ابتدائية نوع 02 على مستوى موقع 250LLV 270LPL . …
عدد الصفحات: 3/4
الاعلان عن طلب عرض وطني مفتوح مع اشتراط قدرات دنيا رقم 16/2025
الزبون: مديرية التعمير، الهندسة المعمارية والبناء ولاية ان قزام
النوع: الاعلان عن طلب عرض وطني مفتوح مع اشتراط قدرات دنيا رقم 16/2025
موضوع: انجاز أشغال التهيئة للسكنات الريفية المجمعة عبر ولاية إن قزام
عدد الصفحات: 1/2
اعلان عن طلب عروض مفتوح مع اشتراط قدرات دنيا رقم 2025/39
الزبون: مديرية التجهيزات العمومية لولاية سوق اهراس
النوع: اعلان عن طلب عروض مفتوح مع اشتراط قدرات دنيا رقم 2025/39
موضوع: انجاز متوسطة 200/03 وجبة الماجن بلدية الحنانشة
عدد الصفحات: 1/4
اعلان عن منح مؤقت *-*
الزبون: مديرية التعمير الهندسة المعمارية والبناء ولاية سوق اهراس
النوع: اعلان عن منح مؤقت *-*
موضوع: انجاز اشغال الطرق والشبكات المختلفة للتحصيصات الاجتماعية
عدد الصفحات: 1/4
الخميس 11 ديسمبر 2025
DEUXIEME APPEL D’OFFRES NATIONAL OUVERT AVEC EXIGENCE DE CAPACITES MINIMALES APRES RESILIATION
الزبون: WILAYA D’ADRAR DIRECTION DES TRAVAUX PUBLICS
النوع: DEUXIEME APPEL D’OFFRES NATIONAL OUVERT AVEC EXIGENCE DE CAPACITES MINIMALES APRES RESILIATION
موضوع: Réhabilitation des routes à travers les cités de la commune d’Aoulef
عدد الصفحات: 1/2
*AVIS D'ATTRIBUTION PROVISOIRE DE MARCHE
الزبون: ETABLISSEMENT DE REEDUCATUON ET READAPTATION LAGHOUAT
النوع: *AVIS D'ATTRIBUTION PROVISOIRE DE MARCHE
موضوع: FOURNITURE DE DENREE ALIMENTAIRE
عدد الصفحات: 1/4
AVIS D'INFRUCTUOSITE CONSULTATION N 16/2025
الزبون: AADL DIRECTION GENERAL
النوع: AVIS D'INFRUCTUOSITE CONSULTATION N 16/2025
موضوع: entretien et réparation de véhicules du parc auto de la direction générale de l'AADL
عدد الصفحات:
AVIS D'ATTRIBUTION PROVISOIRE DE MARCHE N 03/2025
الزبون: COMMUNE DE MELAAB WILAYA DE TISSEMSILT
النوع: AVIS D'ATTRIBUTION PROVISOIRE DE MARCHE N 03/2025
موضوع: REALISATION DES 07 KIOSQUES COMMERCIAUX A MELAAB CENTRE
عدد الصفحات: 1/4
AVIS D'APPEL D'OFFRES NATIONAL OUVERT AVEC EXIGENCE DE CAPACITES MINIMALES N 49/2025
الزبون: DIRECTION DE L'URBANISME DE L'ARCHITECTURE ET DE LA CONSTRUCTION DE LA WILAYA DE M'SILA
النوع: AVIS D'APPEL D'OFFRES NATIONAL OUVERT AVEC EXIGENCE DE CAPACITES MINIMALES N 49/2025
موضوع: ETUDE PDAU ETUDE DES POS ET DES ETUDES GEOTECHNIQUES GENERALES ET SPECIALISE
عدد الصفحات: 1/2
إعذار رقم 01**
الزبون: المديرية العامة للأمن الوطني
النوع: إعذار رقم 01**
موضوع: تموين مصالح الامن الوطني بقطع غيار، مجموعات ميكانيكية، أجهزة …
عدد الصفحات: 1/4
اعلان عن طلب العروض الوطني المفتوح مع اشتراط قدرات دنيا رقم 51/2025
الزبون: مديرية التجهيزات العمومية حي الساسي بولفعة ولاية الأغواط
النوع: اعلان عن طلب العروض الوطني المفتوح مع اشتراط قدرات دنيا رقم 51/2025
موضوع: دراسة ومتابعة لانجاز متوسطة نوع 5/200 وجبة بحي بوقدرة الطاهر بقلتة …
عدد الصفحات: 1/4
إعلان عن طلب عروض مفتوح مع اشتراط الحد الأدنى من القدرات رقم 08/2025
الزبون: اتصالات الجزائر عين الدفلى
النوع: إعلان عن طلب عروض مفتوح مع اشتراط الحد الأدنى من القدرات رقم 08/2025
موضوع: اقتناء أعمدة هاتفية حديدية بواسطة عقد طلبيات
عدد الصفحات: 1/4
CONCOURS NATIONAL D’ARCHITECTURE RESTREINT N°60 /2025
الزبون: WILAYA DE BATNA DIRECTION DES EQUIPEMENTS PUBLICS
النوع: CONCOURS NATIONAL D’ARCHITECTURE RESTREINT N°60 /2025
موضوع: ETUDE , SUIVI ET REALISATION D’UNE ECOLE PRIMAIRE TYPE 2 AU NIVEAU DE LA CITE LAARARA 388 LOGEMENTS COMMUNE DE …
عدد الصفحات: 1/2
إعذار ثاني
الزبون: بلدية شهاني ولاية الطارف
النوع: إعذار ثاني
موضوع: التهيئة والتحسين الحضري لحي المحطة الشطر الاول
عدد الصفحات: 1/4
AVIS D'ATTRIBUTION PROVISOIRE DES MARCHES N 25/2025
الزبون: OFFICE DE PROMOTION ET DE GESTION IMMOBILIERE DE LA WILAYA DE JIJEL
النوع: AVIS D'ATTRIBUTION PROVISOIRE DES MARCHES N 25/2025
موضوع: realisation 100/1500 LPL pr 2024 commune kaous wilaya de jijel
عدد الصفحات: 1/4
AVIS D'APPEL D'OFFRES NATIONAL OUVER AVEC EXIGENCE DES CAPACITE MINIMALES N°01/2026
الزبون: INSTITUT NATIONAL DE FORMATION SUPERIEURE PARAMEDICALE LAHMAR ABDELKADER- CONSTANTINE.
النوع: AVIS D'APPEL D'OFFRES NATIONAL OUVER AVEC EXIGENCE DES CAPACITE MINIMALES N°01/2026
موضوع: la fourniture de la denrée alimentaire au titre de l’année 2026
عدد الصفحات: 1
الأربعاء 10 ديسمبر 2025
إعلان عن المنح المؤقت للصفقة *
الزبون: مديرية الأشغال العمومية لولاية بجاية
النوع: إعلان عن المنح المؤقت للصفقة *
موضوع: اصلاح الأضرار الناجمة عن سوء الأحوال الجوية على الطريق الولائي 18 …
عدد الصفحات: 1/4
AVIS D'APPEL D'OFFRES NATIONAL OUVERT AVEC EXIGENCE DE CAPACITES MINIMALES 38/2025
الزبون: AGENCE NATIONALE D'ETUDES ET DE SUIVI DE LA REALISATION DES INVESTISSEMENTS FERROVIAIRES
النوع: AVIS D'APPEL D'OFFRES NATIONAL OUVERT AVEC EXIGENCE DE CAPACITES MINIMALES 38/2025
موضوع: ETUDE DE 11 PASSERELLES 08 A CHLEF , 02 a BLIDA ET 01 A JIJEL
عدد الصفحات: 1
*MISE EN DEMEURE N 01
الزبون: DIRECTION DE LA SANTE ET DE LA POPULATION WILAYA DE M'SILA
النوع: *MISE EN DEMEURE N 01
موضوع: acquisition d'equipements médicaux au profit de l'hopital de 240 lits de m'sila
عدد الصفحات: 1/4
إعذار رقم 01***
الزبون: المديرية العامة للأمن الوطني
النوع: إعذار رقم 01***
موضوع: تموين مصالح الأمن الوطني بقطع الغيار، مجموعات ميكانيكية، أجهزة …
عدد الصفحات: 1/4
إعلان طلب عروض وطني مفتوح
الزبون: بلدية إن صالح ولاية إن صالح
النوع: إعلان طلب عروض وطني مفتوح
موضوع: اقتناء شاحنات ضاغطة للنفايات المنزلية لسنة 2025
عدد الصفحات: 1/4
*إعلان عن منح مؤقت *
الزبون: مديرية التجهيزات العمومية ولاية المنيعة
النوع: *إعلان عن منح مؤقت *
موضوع: انجاز مقر امن الولاية بالمنيعة
عدد الصفحات: 1/4
CONCOURS D'ARCHITECTURE RESTREINT N 161/2025Z
الزبون: DIRECTION DES EQUIPEMENTS PUBLICS WILAYA DE SIDI BEL ABBES
النوع: CONCOURS D'ARCHITECTURE RESTREINT N 161/2025Z
موضوع: etude, suivi pour la realisation d'un college type 06 au niveau du site 400 LLV 1630 LPL route de SFISEF A LA COMMUNE …
عدد الصفحات: 3/4
avis d'appel d'offre national ouvert avec exigence des capacites minimales n 06/2025
الزبون: commune d'oued sebaa wilaya d'ain temouchente
النوع: avis d'appel d'offre national ouvert avec exigence des capacites minimales n 06/2025
موضوع: transport scolaire année 2026
عدد الصفحات: 1/4
طلب العروض الوطني المفتوح مع اشتراط قدرات دنيا برقم 28/2025
الزبون: مديرية الري ولاية عنابة
النوع: طلب العروض الوطني المفتوح مع اشتراط قدرات دنيا برقم 28/2025
موضوع: انجاز محطة تصفية للمياه الملوثة لذراع الريش -برحال-
عدد الصفحات: 1/2
إعلان عن المنح المؤقت لطلب العروض المفتوح مع اشتراط قدرات دنيا رقم 2025/03
الزبون: بلدية الحمادية ولاية برج بوعريريج
النوع: إعلان عن المنح المؤقت لطلب العروض المفتوح مع اشتراط قدرات دنيا رقم 2025/03
موضوع: تزويد البلدية بمختلف اللوازم والحاجات لسنة 2025
عدد الصفحات: 1/4
إعلان عن طلب عروض وطنية مفتوحة مع اشتراط قدرات دنيا رقم 01/2026
الزبون: المؤسسة الإستشفائية المتخصصة في الأمراض العقلية د. محمود بلعمري بجبل الوحش قسنطينة
النوع: إعلان عن طلب عروض وطنية مفتوحة مع اشتراط قدرات دنيا رقم 01/2026
موضوع: التزود بالمواد الغذائية للسنة 2026
عدد الصفحات: 1/2
الثلاثاء 09 ديسمبر 2025
AVIS D’ATTRIBUTION PROVISOIRE **
الزبون: DIRECTION DE L’HYDRAULIQUE
النوع: AVIS D’ATTRIBUTION PROVISOIRE **
موضوع: Réalisation des ouvrages de stockage à travers14 communes (w.M’sila)
عدد الصفحات: 1/4
avis d'appel d'offres national ouvert avec exigence de capacites minimales n 23/2025
الزبون: commune de dar elbeida wilaya d'alger
النوع: avis d'appel d'offres national ouvert avec exigence de capacites minimales n 23/2025
موضوع: travaux de realisation extension de 09 sisie ecole farida sahnoune
عدد الصفحات: 1/4
إعلان عن طلب العروض الوطني المفتوح مع اشتراط قدرات دنيا رقم 50/2025
الزبون: مديرية التجهيزات العمومية حي الساسي بولفعة ولاية الأغواط
النوع: إعلان عن طلب العروض الوطني المفتوح مع اشتراط قدرات دنيا رقم 50/2025
موضوع: متابعة لإنجاز ثانوية نوع 200/600 وجبة بواد مزي/ متابعة لإنجاز ثانوية …
عدد الصفحات: 1/4
CONCOURS NATIONAL RESTREINT D’ARCHITECTURE N° 96 /2025
الزبون: WILAYA DE TIMIMOUN DIRECTION DES EQUIPEMENTS PUBLICS
النوع: CONCOURS NATIONAL RESTREINT D’ARCHITECTURE N° 96 /2025
موضوع: Etude, Suivi Et Réalisation D’un Lycée Type 1000 Au Niveau Du Site 383L P L 130L S 1233 H.R.G, Commune de …
عدد الصفحات: 1/2
اعلان عن مناقصة وطنية مفتوحة مع اشتراط الحد الأدنى من القدرات رقم 10/2025
الزبون: اتصالات الجزائر المديرية العملياتية بشار
النوع: اعلان عن مناقصة وطنية مفتوحة مع اشتراط الحد الأدنى من القدرات رقم 10/2025
موضوع: اشغال توسعة مركز الاتصالات تاغيت الخاصة بقاعة الطاقة
عدد الصفحات: 1/4
اعلان عن المنح المؤقت **
الزبون: مديرية الري لولاية البويرة
النوع: اعلان عن المنح المؤقت **
موضوع: اعادة تأهيل محطات الضخ عبر الولاية
عدد الصفحات: 1/4
اعذار رقم 25/02
الزبون: مديرية الأشغال العمومية لولاية الوادي
النوع: اعذار رقم 25/02
موضوع: ازدواجية الطريق الوطني رقم 48 بين الحماية والفولية على مسافة 60 كلم …
عدد الصفحات: 1/4
*اعلان عن منح مؤقت*
الزبون: مديرية التكوين والتعليم المهنيين ولاية سوق أهراس
النوع: *اعلان عن منح مؤقت*
موضوع: اشغال التهيئة وربط السكنات الوظيفية بالغاز الطبيعي أشغال …
عدد الصفحات: 1/4
MISE EN DEMEURE N°02
الزبون: AGENCE DE GESTION ET DE REGULATION FONCIERES URBAINES DE LA WILAYA DE SKIKDA
النوع: MISE EN DEMEURE N°02
موضوع: N 100 LOGEMENT LPA AVEC 46 LOCAUX DE COMMERCES COMMUNE DE BENAZZOUZ
عدد الصفحات: 1/4
*إعلان عن منح مؤقت للصفقة *
الزبون: مؤسسة تهيئة مدينتي عين النحاس وعلي منجلي ولاية قسنطينة
النوع: *إعلان عن منح مؤقت للصفقة *
موضوع: اشغال الطرق والصرف الصحي على مستوى المجمعات رقم 08 و09 والانارة …
عدد الصفحات: 1/4
* اعلان عن منح مؤقت**
الزبون: مديرية الري لولاية أم البواقي
النوع: * اعلان عن منح مؤقت**
موضوع: انجاز وتجديد شبكة التطهير عبر مدن أم البواقي وعين البيضاء
عدد الصفحات: 1/4
*إعلان عن منح مؤقت*
الزبون: بلدية ترعي باينان ولاية ميلة
النوع: *إعلان عن منح مؤقت*
موضوع: تموين المطاعم المدرسية بالمواد الغذائية
عدد الصفحات: 1/4
مسابقة في الهندسة المعمارية محدودة رقم 159/2025
الزبون: مديرية التجهيزات العمومية ولاية سيدي بلعباس
النوع: مسابقة في الهندسة المعمارية محدودة رقم 159/2025
موضوع: دراسة متابعة انجاز مدرسة ابتدائية نمط 02 على مستوى الموقع LLV 490 …
عدد الصفحات: 3/4
اعلان عن طلب العروض المفتوح مع اشتراط قدرات دنيا رقم 04/2025
الزبون: بلدية يلل ولاية غليزان
النوع: اعلان عن طلب العروض المفتوح مع اشتراط قدرات دنيا رقم 04/2025
موضوع: كراء حافلات النقل المدرسي للسنة المالية 2026
عدد الصفحات: 1/4
الإثنين 08 ديسمبر 2025
الاعلان عن الغاء المنح المؤقت رقم 2024/05
الزبون: الدائرة الادارية للدرارية ولاية الجزائر
النوع: الاعلان عن الغاء المنح المؤقت رقم 2024/05
موضوع: انجاز مجمع الصرف الصحي وشبكة تصريف الامطار الثانوية باتجاه …
عدد الصفحات: 1/4
MISE EN DEMEURE N 02 AVANT RESILIATION
الزبون: COMMUNE OUELD KHODEIR WILAYA DE BENI ABBES
النوع: MISE EN DEMEURE N 02 AVANT RESILIATION
موضوع: LES TRAVAUX DE REALISATION D'UN CAMP DE JEUNES AU NOUVEAU SITE
عدد الصفحات: 1/4
إعلان عن مناقصة وطنية مفتوحة مع اشتراط قدرات دنيا رقم 80/2025
الزبون: مديرية التجهيزات العمومية لولاية تيزي وزو
النوع: إعلان عن مناقصة وطنية مفتوحة مع اشتراط قدرات دنيا رقم 80/2025
موضوع: انجاز ثانوية 1000 على مستوى موقع 1819 مسكن قطب عقوني اوشاركي بلدية …
عدد الصفحات: 1/4
اعلان عن طلب عروض وطني مفتوح مع اشتراط قدرات دنيا رقم 2025/20
الزبون: الجزائرية للمياه
النوع: اعلان عن طلب عروض وطني مفتوح مع اشتراط قدرات دنيا رقم 2025/20
موضوع: مراقبة ومتابعة انجاز اشغال تزويد بمياه الشرب بلديات بتوجة وبني …
عدد الصفحات: 1/2
AVIS DE PROROGATION DE DELAI N°02 DE L’APPEL D’OFFRES NATIONAL OUVERT AVEC EXIGENCE DE CAPACITES MINIMALES N°40/AT/DG/DAMP/DAM/2025
الزبون: Algérie Télécom
النوع: AVIS DE PROROGATION DE DELAI N°02 DE L’APPEL D’OFFRES NATIONAL OUVERT AVEC EXIGENCE DE CAPACITES MINIMALES N°40/AT/DG/DAMP/DAM/2025
موضوع: Acquisition de solutions audiovisuelles (Room Vidéo Call)
عدد الصفحات: 1/4
اعلان عن طلب العروض المفتوح مع اشتراط القدرات الدنيا
الزبون: بلدية مغنية ولاية تلمسان
النوع: اعلان عن طلب العروض المفتوح مع اشتراط القدرات الدنيا
موضوع: التغذية المطاعم المدرسية 2026
عدد الصفحات: 1/4
اعلان عن طلب العروض المفتوح مع اشتراط قدرات دنيا رقم بعد الغاء الاجراء رقم 2025/43
الزبون: بلدية غليزان ولاية غليزان
النوع: اعلان عن طلب العروض المفتوح مع اشتراط قدرات دنيا رقم بعد الغاء الاجراء رقم 2025/43
موضوع: تموين مطاعم المدارس الابتدائية "المجاهد العارف بن عودة، المجاهد …
عدد الصفحات: 1/4
اعلان عن طلب عروض مفتوح مع اشراط قدرات دنيا
الزبون: بلدية ندرومة ولاية تلمسان
النوع: اعلان عن طلب عروض مفتوح مع اشراط قدرات دنيا
موضوع: التهيئة والتكسية بالخرسانة الزفتية للطرقات
عدد الصفحات: 1/4
اعذار رقم 01*
الزبون: مديرية الصحة والسكان ولاية سعيدة
النوع: اعذار رقم 01*
موضوع: اقتناء المستهلكات لفائدة وحدات تشخيص سرطان عنق الرحم
عدد الصفحات: 1/4
اعلان عن عدم جدوى*
الزبون: مديرية الادارة المحلية لولاية باتنة
النوع: اعلان عن عدم جدوى*
موضوع: اعادة الاعتبار للحدائق العمومية ومحاور الدوران ببلدية باتنة
عدد الصفحات: 1/4
اعلان عن طلب عروض وطني مفتوح مع اشتراط قدرات دنيا رقم 31/2025
الزبون: ديوان الترقية والتسيير العقاري لولاية قسنطينة
النوع: اعلان عن طلب عروض وطني مفتوح مع اشتراط قدرات دنيا رقم 31/2025
موضوع: انجاز اشغال كل هياكل الدولة ل 200 مسكن ترقوي مدعم 200 ف 3 مع 41 محل …
عدد الصفحات: 1/2
MISE EN DEMEURE N 02
الزبون: OFFICE DE PROMOTION ET DE GESTION IMMOBILIERE DE LA WILA
النوع: MISE EN DEMEURE N 02
موضوع: REALISATION
عدد الصفحات: 1/4
إعلان عن منح مؤقت لطلب العروض المفتوح مع اشتراط قدرات دنيا رقم 02/2025 بعد إلغاء الإجراء
الزبون: بلدية مرسط ولاية تبسة
النوع: إعلان عن منح مؤقت لطلب العروض المفتوح مع اشتراط قدرات دنيا رقم 02/2025 بعد إلغاء الإجراء
موضوع: اعادة الإعتبار للمسالك الرابط بين الطريشة واولاد مهنية مرورا …
عدد الصفحات: 1/4
الاعلان عن طلب عرض وطني مفتوح مع اشتراط قدرات دنيا رقم 2025/15
الزبون: مديرية التعمير والهندسة المعمارية والبناء
النوع: الاعلان عن طلب عرض وطني مفتوح مع اشتراط قدرات دنيا رقم 2025/15
موضوع: انجاز اشغال التهيئة للسكنات الريفية المجمعة HRG عبر ولاية ان قزام
عدد الصفحات: 1/4
اعلان عن منح مؤقت ****
الزبون: الهيئة الوطنية للرقابة التقنية للبناء
النوع: اعلان عن منح مؤقت ****
موضوع: دراسة ومتابعة مشروع انجاز المقر الجديد لوكالة جانت
عدد الصفحات: 1/4
الأحد 07 ديسمبر 2025
AVIS D’ATTRIBUTION PROVISOIRE **
الزبون: WILAYA DE TINDOUF DIRECTION DES EQUIPEMENTS PUBLICS
النوع: AVIS D’ATTRIBUTION PROVISOIRE **
موضوع: Réhabilitation Et Aménagement Des Etablissements Cycle Primaire Lot n°03 : Ecole Primaire Bouaatoura Meriem. …
عدد الصفحات: 1/4
إعلان عن طلب عروض وطني مفتوح مع اشتراط قدرات دنيا رقم 20/2025
الزبون: المقاطعة الإدارية للدار البيضاء ولاية الجزائر
النوع: إعلان عن طلب عروض وطني مفتوح مع اشتراط قدرات دنيا رقم 20/2025
موضوع: أشغال إنجاز مطعم مدرسي ومكتبة بحي الشهيد سواعدية خالد "الحميز 04 …
عدد الصفحات: 1/4
إعلان عن تصحيح إعلان عن طلب عروض وطني مفتوح
الزبون: موبيليس
النوع: إعلان عن تصحيح إعلان عن طلب عروض وطني مفتوح
موضوع: la maintenance préventive et curative des groupes électrogénes sur les sites d'ATM MOBILIS
عدد الصفحات: 1/4
AVIS D’ATTRIBUTION PROVISOIRE DES MARCHES--
الزبون: WILAYA DE MEDEA DIRECTION DES TRAVAUX PUBLICS
النوع: AVIS D’ATTRIBUTION PROVISOIRE DES MARCHES--
موضوع: Location et charges locatives
عدد الصفحات: 1/4
AVIS D’APPEL D’OFFRES NATIONAL OUVERT AVEC EXIGENCE DE CAPACITES MINIMALES N° 16/AT/DOT55/SDFS/DAL/2025
الزبون: Algérie Télécom
النوع: AVIS D’APPEL D’OFFRES NATIONAL OUVERT AVEC EXIGENCE DE CAPACITES MINIMALES N° 16/AT/DOT55/SDFS/DAL/2025
موضوع: Infrastructures d’accueil, pose et raccordement de câbles à fibre optique
عدد الصفحات: 1/2
اعلان عن طلب عروض وطني مفتوح مع اشتراط قدرات دنيا رقم 33/2025
الزبون: ديوان الترقية والتسيير العقاري للدار البيضاء
النوع: اعلان عن طلب عروض وطني مفتوح مع اشتراط قدرات دنيا رقم 33/2025
موضوع: انجاز الحصة 01 : 158/318 مسكن ترقوي مدعم مع 30 محلا تجاريا و 10 خدمات و 10 …
عدد الصفحات: 1/2
AVIS DE CONCOURS NATIONAL D'ARCHITECTURE RESTREINT N 66/2025
الزبون: Wilaya de RELIZANE DIRECTION DES EQUIPEMENTS PUBLICS
النوع: AVIS DE CONCOURS NATIONAL D'ARCHITECTURE RESTREINT N 66/2025
موضوع: ETUDE ECOLE PRIMAIRE TYPE 2 AU NIVEAU DU SITE 490 LPL LS COMMUNE DE MENDES WILAYA RELIZANE CITES D'HABITAT
عدد الصفحات: 1/2
AVIS DE CONCOURS NATIONAL D'ARCHITECTURE RESTREINT N 77/2025
الزبون: DIRECTION DES EQUIPEMENT PUBLICS WILAYA DE RELIZANE
النوع: AVIS DE CONCOURS NATIONAL D'ARCHITECTURE RESTREINT N 77/2025
موضوع: ETUDE ET SUIVI POUR LA REALISATION D'une POLYCLINIQUE AU NIVEAU DU SITE 720 LPL LS POLE URBAIN BELASSEL BOUZEGZA …
عدد الصفحات: 1/2
AVIS D'APPEL D'OFFRE NATIONAL OUVERT AVEC EXIGENCE DE CAPACITE MINIMALE
الزبون: DIRECTION DE L'ADMINISTRATIO? LOCALE WILAYA D'EL TARF
النوع: AVIS D'APPEL D'OFFRE NATIONAL OUVERT AVEC EXIGENCE DE CAPACITE MINIMALE
موضوع: TRAVAUX D'AMENAGEMENT ET DE REFECTION AU NIVEAU NOUVEAU SIEGE DE LA WILAYA, SIEGE APW, BATIMENTS ADMINISTRATIFS ANNEXES
عدد الصفحات: 1/2
إعلان عن منح مؤقت**
الزبون: مديرية الإدارة المحلية ولاية باتنة
النوع: إعلان عن منح مؤقت**
موضوع: اعادة الإعتبار للحدائق العمومية ومحاور الدوران ببلدية باتنة
عدد الصفحات: 1/4
إعلان عن مسابقة وطنية محدودة للهندسة المعمارية رقم 171/2025
الزبون: مديرية التجهيزات العمومية لولاية سطيف
النوع: إعلان عن مسابقة وطنية محدودة للهندسة المعمارية رقم 171/2025
موضوع: دراسة ومتابعة لإنجاز متوسطة نمط 6 رقم 01 بالقطب الحضري 4000 مسكن بيع …
عدد الصفحات: 1/2
الخميس 04 ديسمبر 2025
3eme avis d'appel d'offres national ouvert avec exigence de capacites minimales sntf 07/2024
الزبون: SNTF
النوع: 3eme avis d'appel d'offres national ouvert avec exigence de capacites minimales sntf 07/2024
موضوع: les grands travaux de maintenance, bourrage mécanique lourd 600 km sur l'ensemble du reseau ferroviaire
عدد الصفحات: 3/4
إعلان عن تمديد أجال العروض المناقصة للتأهيل المسبق الوطني المفتوحة رقم 82/2025
الزبون: جيزي
النوع: إعلان عن تمديد أجال العروض المناقصة للتأهيل المسبق الوطني المفتوحة رقم 82/2025
موضوع: sélection des prestataires d'objet d'art, artisants, et galeries d'art
عدد الصفحات: 1/4
إعلان عن عدم جدوى*
الزبون: مديرية السكن لولاية المنيعة
النوع: إعلان عن عدم جدوى*
موضوع: انجاز 50 مسكن عمومي إيجاري بلدية حاسي الفحل
عدد الصفحات: 1/4
إعلان عن إلغاء إجراء طلب العروض الوطني المفتوح مع اشتراط قدرات دنيا رقم 2025/13
الزبون: مديرية الري لولاية إن قزام
النوع: إعلان عن إلغاء إجراء طلب العروض الوطني المفتوح مع اشتراط قدرات دنيا رقم 2025/13
موضوع: تجديد وتوسعة شبكة المياه الصالحة للشرب عبر بلديتي إن قزام وتين …
عدد الصفحات: 1/4
AVIS D'ATTRIBUTION PROVISOIRE*
الزبون: DIRECTION DE L'HYDRAULIQUE WILAYA DE OUM EL BOUAGHI
النوع: AVIS D'ATTRIBUTION PROVISOIRE*
موضوع: realisation renovation equipement raccordement des conduites refoulement et pompage de l'eau potable pour les communes …
عدد الصفحات: 1/4
إعلان عن مسابقة وطنية محدودة للهندسة المعمارية رقم 2025/161 المرحلة الأولى
الزبون: مديرية التجهيزات العمومية لولاية سطيف
النوع: إعلان عن مسابقة وطنية محدودة للهندسة المعمارية رقم 2025/161 المرحلة الأولى
موضوع: دراسة ومتابعة لإنجاز متوسطة نمط 6 بموقع 600 مسكن بالقطب الحضري …
عدد الصفحات: 1/2
avis d'appel d'offre ouvert avec exigence de capacites minimales n 2025/52
الزبون: direction des equipements publics de la wilaya d'oran
النوع: avis d'appel d'offre ouvert avec exigence de capacites minimales n 2025/52
موضوع: realisation d'un lycée type 1000 n2 au niveau du site des 38000 logements aadl au pole urbain ahmed zabana commune de …
عدد الصفحات: 3/4
MISE EN DEMEURE N° 01
الزبون: COMMUNE DE ELOUATA WILAYA DE BENI ABBES
النوع: MISE EN DEMEURE N° 01
موضوع: etude et suivi relaisation d'un burau de poste a hai moussaoui abderrazak
عدد الصفحات: 1/4
إعلان عن طلب عروض مفتوح مع اشتراط قدرات دنيا للمرة الثانية رقم 2025/108
الزبون: بلدية عين قشرة ولاية سكيكدة
النوع: إعلان عن طلب عروض مفتوح مع اشتراط قدرات دنيا للمرة الثانية رقم 2025/108
موضوع: تموين المطاعم المدرسية لسنة 2026
عدد الصفحات: 1/4
إعلان عن منح مؤقت ***
الزبون: بلدية زريزر ولاية الطارف
النوع: إعلان عن منح مؤقت ***
موضوع: التغذية المدرسية لسنة 2026
عدد الصفحات: 1/4
إعلان عن مسابقة وطنية محدودة في الهندسة المعمارية رقم 2025/23
الزبون: مديرية التجهيزات العمومية لولاية البويرة
النوع: إعلان عن مسابقة وطنية محدودة في الهندسة المعمارية رقم 2025/23
موضوع: دراسة ومتابعة من اجل انجاز متوسطة نوع 6 على مستوى موقع (320 lpa 180 lpl) …
عدد الصفحات: 1/2
الأربعاء 03 ديسمبر 2025
دعوة (المرحلة الثانية)*
الزبون: ديوان الترقية والتسيير العقاري الاغواط
النوع: دعوة (المرحلة الثانية)*
موضوع: 2000/600 سكن عمومي إيجاري
عدد الصفحات: 1/4
اعلان عن طلب عروض وطني مفتوح مع اشتراط قدرات دنيا رقم 2025/31
الزبون: المديرية العامة للأمن الوطني
النوع: اعلان عن طلب عروض وطني مفتوح مع اشتراط قدرات دنيا رقم 2025/31
موضوع: اقتناء وحدة استشارة كاملة خاصة بطب الانف، الأذن والحنجرة التابعة …
عدد الصفحات: 1/2
ثاني إعلان عن طلب عروض وطني مفتوح مع اشتراط قدرات دنيا رقم 2025/02
الزبون: المديرية العامة للأمن الوطني
النوع: ثاني إعلان عن طلب عروض وطني مفتوح مع اشتراط قدرات دنيا رقم 2025/02
موضوع: اقتناء قطع غيار للسيارات عالية الدوران لجميع أنواع وماركات …
عدد الصفحات: 1/2
اعلان عن منح مؤقت للصفقة*
الزبون: مديرية البيئة ولاية تيسمسيلت
النوع: اعلان عن منح مؤقت للصفقة*
موضوع: تجهيز مركز للفرز بثنية الحد
عدد الصفحات: 1/4
إعلان عن المنح المؤقت للصفقة تحت رقم 15
الزبون: مديرية التعمير والهندسة المعمارية والبناء لولاية المغير
النوع: إعلان عن المنح المؤقت للصفقة تحت رقم 15
موضوع: تهيئة مدخل عين الشوشة ببلدية سيدي عمران
عدد الصفحات: 1/4
اعلان عن طلب العروض الوطني المفتوح مع اشتراط قدرات دنيا رقم 2025/06
الزبون: مديرية الاشغال العمومية لولاية توقرت
النوع: اعلان عن طلب العروض الوطني المفتوح مع اشتراط قدرات دنيا رقم 2025/06
موضوع: صيانة الطرق الوطنية لسنة 2026
عدد الصفحات: 1/4
إعلان عن المنح المؤقت للصفقات بعد إلغاء الاجراء
الزبون: محافظة الغابات ولاية جيجل
النوع: إعلان عن المنح المؤقت للصفقات بعد إلغاء الاجراء
موضوع: اعادة التشجير على مساحة 120 هكتار برنامج 2025
عدد الصفحات: 1/4
*AVIS D'ATTRIBUTION PROVISOIRE
الزبون: COMMUNE AIN BEIDA AHRICHE WILAYA DE MILA
النوع: *AVIS D'ATTRIBUTION PROVISOIRE
موضوع: LE PROVISIONNEMENT DES CANTINES SCOLAIRE PAR DES PRODUITS ALIMENTAIRES POUR L'ANNEE 2026
عدد الصفحات: 1/4
**Avis d’attribution Provisoire
الزبون: Direction de l’Urbanisme et l’architecture et de la construction de la Wilaya de Constantine
النوع: **Avis d’attribution Provisoire
موضوع: TRAVAUX DE VRD PRIMAIRE ET SECONDAIRE DE LA VOIE D’ACCES AUX 100. LOGEMENTS LPL SERKINA COMMUNE DE CONSTANTINE. …
عدد الصفحات: 1/4
AVIS DE PROROGATION DE DELAI DE PREPARATION DES OFFRES
الزبون: COMMUNE D'OUM EL ADHAIM WILAYA DE SOUK AHRAS
النوع: AVIS DE PROROGATION DE DELAI DE PREPARATION DES OFFRES
موضوع: LA FOURNITURES DES CANTINES SCOLAIRES EN PRODUITS ALIMENTAIRE LEGUMES ET FRUITS VIANDES ET OEUFS ET PAIN ANNEE 2026
عدد الصفحات: 1/4
*AVIS D'ATTRIBUTION PROVISOIRE DU MARCHE
الزبون: DIRECTION DES EQUIPEMENTS PUBLICS WILAYA D4EL TARF
النوع: *AVIS D'ATTRIBUTION PROVISOIRE DU MARCHE
موضوع: REALISATION D'UN COLLEGE TYPE 200/B6 REPAS _ EL_AIOUN
عدد الصفحات: 1/4
اعلان عن طلبات عروض وطني مفتوح بعد الغاء الاجراء مع اشتراط قدرات دنيا رقم 2025/02
الزبون: مؤسسة اعادة التربية والتاهيل تيارت
النوع: اعلان عن طلبات عروض وطني مفتوح بعد الغاء الاجراء مع اشتراط قدرات دنيا رقم 2025/02
موضوع: التموين بالمواد الغذائية لسنة 2026
عدد الصفحات: 1/2
إعلان عن طلب عروض مفتوح مع اشتراط قدرات دنيا رقم 2025/05
الزبون: بلدية العزايل ولاية تلمسان
النوع: إعلان عن طلب عروض مفتوح مع اشتراط قدرات دنيا رقم 2025/05
موضوع: اتمام إنجاز مقر بلدية العزايل "الشطر الثالث"
عدد الصفحات: 1/2
الثلاثاء 02 ديسمبر 2025
*اعلان عن منح مؤقت لصفقة
الزبون: مؤسسة إعادة التربية أدرار
النوع: *اعلان عن منح مؤقت لصفقة
موضوع: اقتناء المواد الغذائية في عشرة حصص
عدد الصفحات: 1/4
إعلان عن المنح المؤقت للصفقة*
الزبون: وزارة العمل والتشغيل والضمان الاجتماعي
النوع: إعلان عن المنح المؤقت للصفقة*
موضوع: اقتناء أجهزة الإعلام اللألي لفائدة المصالح المركزية والمصالح …
عدد الصفحات: 1/4
طلب العروض المفتوح
الزبون: مديرية الإدارة المحلية ولاية تمراسنت
النوع: طلب العروض المفتوح
موضوع: اقتناء وسائل النقل والوقود
عدد الصفحات: 1/2
AVIS D'APPEL D'OFFRE ouverrt avec exigence de capacites minimales n 14/2025
الزبون: commune de msila wilaya de msila
النوع: AVIS D'APPEL D'OFFRE ouverrt avec exigence de capacites minimales n 14/2025
موضوع: transport scolaire annee 2026 commune de msila
عدد الصفحات: 1/4
إعلان عن تمديد مدة تحضير العروض الخاصة بطلب عروض وطني ودولي مفتوح مع اشتراط قدرات دنيا رقم 2025/15 (نشر ثاني)
الزبون: المديرية العامة للأمن الوطني
النوع: إعلان عن تمديد مدة تحضير العروض الخاصة بطلب عروض وطني ودولي مفتوح مع اشتراط قدرات دنيا رقم 2025/15 (نشر ثاني)
موضوع: اقتناء مائة 100 سيارة خفيفة للتدخل ذات سعة اسطوانة من الحجم الكبير
عدد الصفحات: 1/4
إعلان عن إستشارة رقم 51/25 المتعلقة بالمشروع المعنون باللاتينية
الزبون: موبيليس
النوع: إعلان عن إستشارة رقم 51/25 المتعلقة بالمشروع المعنون باللاتينية
موضوع: la realisation de tous les travaux de maintenance et d'entretien de quatre 04 ascenseurs de type schindler
عدد الصفحات: 1/2
اعلان عن عدم جدوى *
الزبون: مديرية التجهيزات العمومية ولاية تندوف
النوع: اعلان عن عدم جدوى *
موضوع: دراسة، متابعة وانجاز مدرسة ابتدائية "نمط 1" بحي مليكة قايد بلدية …
عدد الصفحات: 1/4
اعذار رقم 1
الزبون: مديرية الصحة والسكان ولاية تبسة
النوع: اعذار رقم 1
موضوع: اقتناء تجهيزات جماعية لفائدة مستشفى العقلة
عدد الصفحات: 1/4
الاعلان عن طلب عرض وطني مفتوح مع اشتراط قدرات دنيا رقم 20/2025
الزبون: بلدية فلفلة ولاية سكيكدة
النوع: الاعلان عن طلب عرض وطني مفتوح مع اشتراط قدرات دنيا رقم 20/2025
موضوع: كراء حافلات نقل تلاميذ الطور الابتدائي لسنة 2026
عدد الصفحات: 1/2
اعلان عن طلب عروض وطني مفتوح للمرة الثانية مع اشتراط قدرات دنيا رقم 2025/37
الزبون: ديوان الترقية والتسيير العقاري قالمة
النوع: اعلان عن طلب عروض وطني مفتوح للمرة الثانية مع اشتراط قدرات دنيا رقم 2025/37
موضوع: انجاز 2000/1270/30 مسكن عمومي ايجاري مع الطرقات ومختلف الشبكات شطر …
عدد الصفحات: 1/4
اعلان عن منح مؤقت***
الزبون: بلدية جيملة ولاية جيجل
النوع: اعلان عن منح مؤقت***
موضوع: تهيئة الطرق ببن وازع على مسافة 1000 م ط
عدد الصفحات: 1/4
اعلان عن المنح المؤقت لطلب العروض الوطني المفتوح مع اشتراط قدرات دنيا رقم 2025/07 نشر ثاني
الزبون: المديرية العامة للأمن الوطني
النوع: اعلان عن المنح المؤقت لطلب العروض الوطني المفتوح مع اشتراط قدرات دنيا رقم 2025/07 نشر ثاني
موضوع: انجاز أشغال صيانة مباني الأمن الوطني المتواجدة عبر اقليم ولايات …
عدد الصفحات: 1/4
اعلان عن المنح المؤقت لطلب العروض الوطني المفتوح مع اشتراط قدرات دنيا رقم 2025/03 (نشر ثاني)
الزبون: المديرية العامة للأمن الوطني
النوع: اعلان عن المنح المؤقت لطلب العروض الوطني المفتوح مع اشتراط قدرات دنيا رقم 2025/03 (نشر ثاني)
موضوع: اقتناء أربعة حصص متفرقة من العتاد المكتبي
عدد الصفحات: 1/4
اعلان عن طلب عروض وطني مفتوح مع اشتراط قدرات دنيا رقم 2025/01
الزبون: اقروديف
النوع: اعلان عن طلب عروض وطني مفتوح مع اشتراط قدرات دنيا رقم 2025/01
موضوع: اقتناء، تركيب، اختبار وتشغيل أربع محولات كهربائية
عدد الصفحات: 1/4
الإثنين 01 ديسمبر 2025
إعلان عن طلب عروض وطني مفتوح مع اشتراط قدرات دنيا تحت رقم 2025/27
الزبون: مؤسسة التسيير السياحي للوسط
النوع: إعلان عن طلب عروض وطني مفتوح مع اشتراط قدرات دنيا تحت رقم 2025/27
موضوع: توريد وتركيب وتشغيل معدات غرفة الغسيل الاحترافية / مشروع تحديث …
عدد الصفحات: 1/4
AVIS D'APPEL D'OFFRES NATIONAL OUVERT AVEC EXIGENCE DE CAPACITES MINIMALES N 15/2025
الزبون: DIRECTION DE L'HYDRAULIQUE DE LA WILAYA DE BOUMERDES
النوع: AVIS D'APPEL D'OFFRES NATIONAL OUVERT AVEC EXIGENCE DE CAPACITES MINIMALES N 15/2025
موضوع: Alimentation en eau potable de la zone industrielle de laarbetache (conduite sur 14, 7kms un réservoir de 2000 m3, …
عدد الصفحات: 1/2
AVIS D'ATTRIBUTION PROVISOIRE DU MARCHE*
الزبون: COMMUNE DE KOUBA
النوع: AVIS D'ATTRIBUTION PROVISOIRE DU MARCHE*
موضوع: AMENAGEMENT DIVERS VOIRIE DE LA COMMUNE
عدد الصفحات: 1/4
إعذار رقم 01*
الزبون: بلدية أولاد عدي لقبالة ولاية المسيلة
النوع: إعذار رقم 01*
موضوع: دراسة ومتابعة انجاز طريق شرق المركب الجواري
عدد الصفحات: 1/4
AVIS D'APPEL D'OFFRES NATIONAL OUVERT AVEC EXIGENCE DE CAPACITES MINIMALES N 08/2025
الزبون: COMMUNE DE MOUSSADEK WILAYA DE CHLEF
النوع: AVIS D'APPEL D'OFFRES NATIONAL OUVERT AVEC EXIGENCE DE CAPACITES MINIMALES N 08/2025
موضوع: ACQUISITION D'UN CAMION A BNNE TASSEUSE POUR RAMASSAGE DES ORDURES 12 M3
عدد الصفحات: 1/4
MISE EN DEMEURE N°01 *
الزبون: DIRECTION DE L’URBANISME De l’ARCHITECTURE ET DE LA CONSTRUCTION DE LA WILAYA DE TIZI-OUZOU
النوع: MISE EN DEMEURE N°01 *
موضوع: attributaire du projet Portant Travaux D’amélioration Urbaine De L’ancien Tissu Urbain A Travers La Wilaya De …
عدد الصفحات: 1/4
ANNONCE DE PROLONGATION DES DELAIS
الزبون: COMMUNE BABAR WILAYA DE KHENCHELA
النوع: ANNONCE DE PROLONGATION DES DELAIS
موضوع: la réhbilitation de l'entrée ouest route de tamza village ain djerboua menant au nouveau lycée
عدد الصفحات: 1/4
ANNONCE DE PROLONGATION DES DELAIS*
الزبون: COMMUNE BABAR WILAYA DE KHENCHELA
النوع: ANNONCE DE PROLONGATION DES DELAIS*
موضوع: LA REHBILITATION DU QUARTIER TAGRART CENTRE DE BABBAR
عدد الصفحات: 1/4
AVIS RECTIFICATIF DE L'AVIS D'APPEL D'OFFRES OUVERT AVEC EXIGENCE DE CAOPACITES MINIMALES
الزبون: COMMUNE DE MCHOUNECHE WILAYA DE BISKRA
النوع: AVIS RECTIFICATIF DE L'AVIS D'APPEL D'OFFRES OUVERT AVEC EXIGENCE DE CAOPACITES MINIMALES
موضوع: .
عدد الصفحات: 1/4
AVIS D'ATTRIBUTION PROVISOIRE ET INFRUCTUEUSE
الزبون: COMMUNE DE MCHOUNECHE
النوع: AVIS D'ATTRIBUTION PROVISOIRE ET INFRUCTUEUSE
موضوع: .
عدد الصفحات: 1/4
AVIS D'ATRRIBUTION PROVISOIRE
الزبون: Wilaya de In Guezzam Direction de l'Education
النوع: AVIS D'ATRRIBUTION PROVISOIRE
موضوع: Aménagement et réhabilitation des établissements d'enseignement primaire (y compris le chauffage et la …
عدد الصفحات: 1/4
AVIS D'ATRRIBUTION PROVISOIRE**
الزبون: Wilaya de In Guezzam Direction de l'Education
النوع: AVIS D'ATRRIBUTION PROVISOIRE**
موضوع: Aménagement et réhabilitation des établissements du cycle Moyen dans la wilaya d'In Guezzam
عدد الصفحات: 1/4
AVIS D'ATRRIBUTION PROVISOIRE**
الزبون: Wilaya de In Guezzam Direction de l'Education
النوع: AVIS D'ATRRIBUTION PROVISOIRE**
موضوع: Aménagement et réhabilitation des établissements du cycle secondaire (y compris le chauffage et la climatisation) …
عدد الصفحات: 1/4
AVIS D’APPEL D’OFFRE NATIONAL OUVERT AVEC EXIGENCE DE CAPACITES MINIMALES N°:29/2025
الزبون: WILAYA D’IN GUEZZAM DIRECTION DES EQUIPEMENTS PUBLICS
النوع: AVIS D’APPEL D’OFFRE NATIONAL OUVERT AVEC EXIGENCE DE CAPACITES MINIMALES N°:29/2025
موضوع: « La Réalisation d'une station de contrôle sanitaire aux frontières à In Guezzam. En T.C.E ».
عدد الصفحات: 1/4
*إعلان عن المنح المؤقت *
الزبون: المديرية العامة للأمن الوطني
النوع: *إعلان عن المنح المؤقت *
موضوع: اقتناء الادوات واللوازم الطبية لفائدة المؤسسة الإستشفائية للأمن …
عدد الصفحات: 1/4
الأحد 30 نوفمبر 2025
اعلان عن طلب عروض مفتوح مع اشتراط قدرات دنيا للمرة الثانية بعد الغاء المنح رقم 2025/38
الزبون: مديرية التجهيزات العمومية ولاية برج بوعريريج
النوع: اعلان عن طلب عروض مفتوح مع اشتراط قدرات دنيا للمرة الثانية بعد الغاء المنح رقم 2025/38
موضوع: انجاز أقسام التوسعة عبر اقليم الولاية
عدد الصفحات: 1/2
اعلان عن منح المؤقت لمشروع صفقة
الزبون: مديرية النقل لولاية الجلفة
النوع: اعلان عن منح المؤقت لمشروع صفقة
موضوع: انجاز ما تبقى من سور التسييج والحماية لمحيط مطار الثلثي بولاية …
عدد الصفحات: 1/4
اعلان عن المنح المؤقت في اطار طلب العروض الوطني المفتوح مع اشتراط قدرات دنيا رقم 2025/04
الزبون: المديرية العامة للأمن الوطني
النوع: اعلان عن المنح المؤقت في اطار طلب العروض الوطني المفتوح مع اشتراط قدرات دنيا رقم 2025/04
موضوع: اقتناء مختلف عتاد ولوازم صيانة المباني لفائدة مصالح المديرية …
عدد الصفحات: 1/4
AVIS D'APPEL D'OFFRES NATIONAL OUVERT AVEC EXIGENCE DE CAPACITES MINIMALES N 2025/03
الزبون: RECTORAT DE DJAMAA EL DJAZAIR
النوع: AVIS D'APPEL D'OFFRES NATIONAL OUVERT AVEC EXIGENCE DE CAPACITES MINIMALES N 2025/03
موضوع: acquisition de huit véhicules de service au profit du rectorat de djamaa el djazair
عدد الصفحات: 1/2
اعلان عن المنح المؤقت.
الزبون: مديرية السكن لولاية الجلفة
النوع: اعلان عن المنح المؤقت.
موضوع: انجاز 4000/240 سكن عمومي ايجاري كل هياكل الدولة مع التهيئة الخارجية …
عدد الصفحات: 1/2
طلب العروض الوطني المفتوح رقم 2025/02
الزبون: بلدية سي مصطفى ولاية بومرداس
النوع: طلب العروض الوطني المفتوح رقم 2025/02
موضوع: تموين المطاعم المدرسية بالمواد الغذائية للمدارس الابتدائية لسنة …
عدد الصفحات: 1/2
اعلان عن منح مؤقت **
الزبون: بلدية حسناوة ولاية برج بوعريريج
النوع: اعلان عن منح مؤقت **
موضوع: النقل المدرسي لسنة 2026
عدد الصفحات: 1/2
Concours national d’architecture restreint N° 09/2025
الزبون: La direction des Equipements publics de la wilaya de Blida
النوع: Concours national d’architecture restreint N° 09/2025
موضوع: ETUDE ET SUIVI POUR LA REALISATION D’UN COLLEGE N° 01 TYPE 6 AU NIVEAU DU SITE DES …
عدد الصفحات: 1/4
اعلان عن مناقصة وطنية مفتوحة مع اشتراط الحد الادنى من القدرات رقم 2025/009
الزبون: اتصالات الجزائر
النوع: اعلان عن مناقصة وطنية مفتوحة مع اشتراط الحد الادنى من القدرات رقم 2025/009
موضوع: اشغال الربط النهائي للزبائن بالألياف البصريةاشغال الربط النهائي …
عدد الصفحات: 1/2
اعلان عن تمديد الأجال طلب عروض وطني مفتوح رقم 2025/02 مع اشتراط قدرات دنيا
الزبون: المندوبية الوطنية للأمن في الطرق
النوع: اعلان عن تمديد الأجال طلب عروض وطني مفتوح رقم 2025/02 مع اشتراط قدرات دنيا
موضوع: اقتناء منصات برمجية واجهزة ثابتة ومحمولة لتشغيل نظام رخصة …
عدد الصفحات: 1/4
الخميس 27 نوفمبر 2025
**اعلان عن منح مؤقت**
الزبون: مديرية الخدمات الجامعية لجيجل
النوع: **اعلان عن منح مؤقت**
موضوع: النقل الجامعي لفائدة مديرية الخدمات الجامعية جيجل سنة 2026
عدد الصفحات: 1/4
اعلان عن منح مؤقت**
الزبون: بلدية بني والبان ولاية سكيكدة
النوع: اعلان عن منح مؤقت**
موضوع: التغذية المدرسية لسنة 2026
عدد الصفحات: 1/4
AVIS D APPEL D’OFFRE NATIONAL OUVERT AVEC EXIGENCE DE CAPACITES MINIMALES N° 03.. /2025
الزبون: WILAYA DE JIJELCOMMUNE DE DJEMAA BENI H’BIBI
النوع: AVIS D APPEL D’OFFRE NATIONAL OUVERT AVEC EXIGENCE DE CAPACITES MINIMALES N° 03.. /2025
موضوع: Aménagement et revêtement de la route reliant entre la mosquée el ferdousse – laghedir – akhribe vers lotta …
عدد الصفحات: 1/2
DEUXIEME AVIS D’APPEL D’OFFRE NATIONAL OUVERT AVEC EXIGENCE DES CAPACITES MINIMALES N :°159/2025
الزبون: IF DIRECTION DES EQUIPEMENTS PUBLICS
النوع: DEUXIEME AVIS D’APPEL D’OFFRE NATIONAL OUVERT AVEC EXIGENCE DES CAPACITES MINIMALES N :°159/2025
موضوع: PROJET : REALISATION (01) UNE DEMI PENSION 200 REPAS A CEM LAHLOW HOUCIN A BIR HADDADA …
عدد الصفحات: 1/2
*اعلان عن طلب عروض وطني مفتوح مع اشتراط قدرات دنيا رقم 2025/19
الزبون: وزارة السكن والعمران والمدينة والتهيئة العمارنية
النوع: *اعلان عن طلب عروض وطني مفتوح مع اشتراط قدرات دنيا رقم 2025/19
موضوع: دراسة ميثاق معماري، عمراني ، بيئي وغرافيكي للمدينة الجديدة لحاسي …
عدد الصفحات: 1/2
اعلان عن طلب العروض المفتوح مع اشتراط قدرات دنيا رقم 2025/20
الزبون: بلدية الكاليتوس ولاية الجزائر
النوع: اعلان عن طلب العروض المفتوح مع اشتراط قدرات دنيا رقم 2025/20
موضوع: انجاز قاعة علاج على مستوى حي 400 مسكن القصر الاحمر
عدد الصفحات: 1/4
AVIS D'APPEL D'OFFRES NATIONAL OUVERT AVEC EXIGENCES DE CAPACITES MINIMALES APRES INFRUCTUOSITE N° :…31…./2025
الزبون: OFFICE DE PROMOTION ET DE GESTION IMMOBILIERE BENI ABBES
النوع: AVIS D'APPEL D'OFFRES NATIONAL OUVERT AVEC EXIGENCES DE CAPACITES MINIMALES APRES INFRUCTUOSITE N° :…31…./2025
موضوع: Reprise et Achèvement des Travaux de la Réalisation des Logements Publics Locatifs (TCE et VRD) en F03 Programme …
عدد الصفحات: 1/4
طلب عروض وطني مفتوح مع اشتراط قدرات دنيا 2025/37
الزبون: الوكالة الوطنية للدراسات ومتابعة انجاز الاستثمارات في السكك الحديدية
النوع: طلب عروض وطني مفتوح مع اشتراط قدرات دنيا 2025/37
موضوع: تنفيذ خدمات الحراسة، حماية ومراقبة مواقع (محطة الارسال …
عدد الصفحات: 1/2
إعلان ثاني عن طلب عروض مفتوح مع اشتراط قدرات دنيا رقم 2022/01
الزبون: مديرية التجهيزات العمومية ولاية برج باجي مختار
النوع: إعلان ثاني عن طلب عروض مفتوح مع اشتراط قدرات دنيا رقم 2022/01
موضوع: تهيئة ثلاث مناطق مصغرة للنشاط ببلديتي الولاية
عدد الصفحات: 1/2
طلب العروض المفتوح مع اشتراط قدرات دنيا رقم 2025/011
الزبون: بلدية بلعانبة ولاية مسيلة
النوع: طلب العروض المفتوح مع اشتراط قدرات دنيا رقم 2025/011
موضوع: صيانة مقاطع طرق بقرى ومداشر البلدية ووسط المدينة
عدد الصفحات: 1/4
اعلان عن مناقصة وطنية مفتوحة مع اشتراط قدرات دنيا رقم 2025/011
الزبون: العيادة الطبية الجراحية للاطفال ببوسماعيل
النوع: اعلان عن مناقصة وطنية مفتوحة مع اشتراط قدرات دنيا رقم 2025/011
موضوع: انجاز اشغال اصلاح وتاهيل شبكة الوقاية من الحرائق
عدد الصفحات: 1/4
الأربعاء 26 نوفمبر 2025
.avis d'attribution provisoire
الزبون: commune d'ain bessem wilya de bouira
النوع: .avis d'attribution provisoire
موضوع: approvisionnement des cantines scolaires en denrées alimentaires pour année 2026
عدد الصفحات: 1/4
طلب عرض مفتوح مع اشتراط قدرات دنيا
الزبون: بلدية الشبلي ولاية البليدة
النوع: طلب عرض مفتوح مع اشتراط قدرات دنيا
موضوع: تهيئة وتعبيد شارع معراش عبد القادر
عدد الصفحات: 1/4
إعلان عن طلب عروض وطني مفتوح مع اشتراط قدرات الدنيا رقم 2025/12
الزبون: مديرية الأشغال العمومية ولاية تيميمون
النوع: إعلان عن طلب عروض وطني مفتوح مع اشتراط قدرات الدنيا رقم 2025/12
موضوع: المتابعة الجيومترية لاشغال انجاز الطريق الرابط بين الطريق …
عدد الصفحات: 1/2
.إعلان عن منح مؤقت للصفقة.
الزبون: المعهد الوطني للطب البيطري
النوع: .إعلان عن منح مؤقت للصفقة.
موضوع: اقتناء مليونين جرعة لقاح ضد مرض الحمى القلاعية ثلاثي التكافؤ …
عدد الصفحات: 1/4
اعلان عن طلب عروض وطني مفتوح رقم 2025/41
الزبون: المديرية العامة للأمن الوطني
النوع: اعلان عن طلب عروض وطني مفتوح رقم 2025/41
موضوع: اقتناء عتاد لقاعات الرياضة
عدد الصفحات: 1/2
اعلان عن مناقصة وطنية مفتوحة مع اشتراط الحد الادنى من القدرات
الزبون: اتصالات الجزائر- المغير-
النوع: اعلان عن مناقصة وطنية مفتوحة مع اشتراط الحد الادنى من القدرات
موضوع: اشغال الصيانة والتطوير لقنوات شبكة الالياف البصرية FTTx بعقد …
عدد الصفحات: 1/2
إعلان عن طلب عروض وطني مفتوح رقم 2025/06
الزبون: المديرية العامة للأمن الوطني
النوع: إعلان عن طلب عروض وطني مفتوح رقم 2025/06
موضوع: تموين مصالح الشرطة التابعة لناحية تامنغست بمادة الخبز المحسن
عدد الصفحات: 1/2
طلب عروض وطني مفتوح رقم 2025/01
الزبون: شركة الطباعة بالجزائر
النوع: طلب عروض وطني مفتوح رقم 2025/01
موضوع: التغطية التأمينية لنشاط وأصول شركة الطباعة بالجزائر
عدد الصفحات: 1/4
Avis d’Appel d’offre de Préqualification National
الزبون: DJEZZY
النوع: Avis d’Appel d’offre de Préqualification National
موضوع: les « 5G Network RNO/RNP Service»
عدد الصفحات: 1/4
UCTIOSITE DE LA PROCEDURE AVIS D’ATTRIBUTION PROVISOIRE DU MARCHE/CONTRAT
الزبون: CENTRE HOSPITALO-UNIVERSITAIRE D'ANNABA
النوع: UCTIOSITE DE LA PROCEDURE AVIS D’ATTRIBUTION PROVISOIRE DU MARCHE/CONTRAT
موضوع: Fourniture de consommables et d’accessoires de laboratoires, au profit du CHU Annaba, durant l’année …
عدد الصفحات: 3/4
الثلاثاء 25 نوفمبر 2025
ثاني إعلان عن طلب عروض وطني مفتوح مع اشتراط قدرات دنيا بعد عدم جدوى
الزبون: مديرية الري لولاية الشلف
النوع: ثاني إعلان عن طلب عروض وطني مفتوح مع اشتراط قدرات دنيا بعد عدم جدوى
موضوع: انجاز خزانات من اجل سد العجز في التخزين عبر الولاية ولاية الشلف
عدد الصفحات: 3/4
إعلان عن المنح المؤقت *
الزبون: بلدية الظهيرة ولاية الشلف
النوع: إعلان عن المنح المؤقت *
موضوع: صيانة وتزفيت طريق الشعايبية على مسافة 800 م بلدية الظهرة الشطر 01
عدد الصفحات: 1/4
اعلان عن طلب عروض وطني مفتوح مع اشتراط قدرات دنيا رقم 2025/19
الزبون: بلدية الدار البيضاء ولاية الجزائر
النوع: اعلان عن طلب عروض وطني مفتوح مع اشتراط قدرات دنيا رقم 2025/19
موضوع: تموين المطاعم المدرسية بالمواد الغذائية
عدد الصفحات: 1/4
إعذار أول
الزبون: مديرية الشباب والرياضة ولاية الاغواط
النوع: إعذار أول
موضوع: دراسة انجاز وتجهيز قاعة متعددة الرياضات 1000 مقعد بالاغواط
عدد الصفحات: 1/4
1ER MISE EN DEMEURE N 2025/08
الزبون: DIRECTION DE LA JEUNESSE ET DES SPORTS WILAYA DE LAGHOUAT
النوع: 1ER MISE EN DEMEURE N 2025/08
موضوع: ETUDE , REALISATION D'UN COMPLEXE SPORTIF A AFLOU
عدد الصفحات: 1/4
اعلان عن طلب عروض وطني مفتوح مع اشتراط قدرات دنيا رقم 2025/51
الزبون: المديرية العامة للأمن الوطني
النوع: اعلان عن طلب عروض وطني مفتوح مع اشتراط قدرات دنيا رقم 2025/51
موضوع: اقتناء مختلف الانواع من الكراسي والأرائك
عدد الصفحات: 3/4
avis de prorogation de delai de l'appel d'offres national ouvert avec exigence de capacites minimales n 40/2025
الزبون: algerie telecom
النوع: avis de prorogation de delai de l'appel d'offres national ouvert avec exigence de capacites minimales n 40/2025
موضوع: acquisition de solutions audiovisuelles room video call
عدد الصفحات: 1/4
AVIS D’APPEL D’OFFRES NATIONAL OUVERT AVEC EXIGENCE DE CAPACITES MINIMALES Après l’annulation de l’attribution provisoire № 04/ ENSF /2025
الزبون: École Nationale Supérieure des Forêts KHENCHELA
النوع: AVIS D’APPEL D’OFFRES NATIONAL OUVERT AVEC EXIGENCE DE CAPACITES MINIMALES Après l’annulation de l’attribution provisoire № 04/ ENSF /2025
موضوع: PRESTATION DE NETTOYAGE AU PROFIT DE L’ÉCOLE NATIONALE SUPÉRIEURE DES FORÊTS
عدد الصفحات: 1/2
AVIS D'APPEL D'OFFRES NATIONAL OUVERT AVEC EXIGENCE DE CAPACITES MINIMALES N 2025/06
الزبون: COMMUNE D'OULED SELLEM WILAYA DE BATNA
النوع: AVIS D'APPEL D'OFFRES NATIONAL OUVERT AVEC EXIGENCE DE CAPACITES MINIMALES N 2025/06
موضوع: location des bus de transport scolaire pour l'année 2026
عدد الصفحات: 1/4
إعلان عن المنح المؤقت للصفقات
الزبون: جامعة قسنطينة 1 الاخوة منتوري
النوع: إعلان عن المنح المؤقت للصفقات
موضوع: انجاز أشغال المساكة لعمارة العلوم جامعة قسنطينة 1 الاخوة منتوري
عدد الصفحات: 1/4
AVIS D'APPEL D'OFFRE OUVERT N 2025/04
الزبون: COMMUNE DE CHBAITA MOKHTAR WILAYA DE TAREF
النوع: AVIS D'APPEL D'OFFRE OUVERT N 2025/04
موضوع: approvisionnement des cantines scolaires avec des produits alimentaires généraux et légumes et fruits sous formes …
عدد الصفحات: 1/4
الإثنين 24 نوفمبر 2025
AVIS D’ATTRIBUTION PROVISOIRE DE MARCHE Avis d’appel d’offre national ouvert avec exigence de capacité minimale N° 04/DDPIF/2025
الزبون: OFFICE DE PROMOTION ET DE GESTION IMMOBILIERE DE LA WILAYA DE BEJAIA
النوع: AVIS D’ATTRIBUTION PROVISOIRE DE MARCHE Avis d’appel d’offre national ouvert avec exigence de capacité minimale N° 04/DDPIF/2025
موضوع: 119/200 Logements promotionnels aidés et 28/44 Logements promotionnels libres au pôle urbaune Cheikh El …
عدد الصفحات: 1/4
AVIS DE CONSULTATION N°16/dg/aadl/2025
الزبون: direction general AADL
النوع: AVIS DE CONSULTATION N°16/dg/aadl/2025
موضوع: entretien et réparation de véhicules du parc auto de la direction generale de l'agence nationale de l'améloration et …
عدد الصفحات: 1/4
إعلان عن طلب عروض وطني مفتوح
الزبون: موبيليس
النوع: إعلان عن طلب عروض وطني مفتوح
موضوع: maintenance preventive et curative des groupes électrogénes sue les sites d'ATM MOBILIS
عدد الصفحات: 1/2
اعلان عن طلب العروض المفتوح مع اشتراط قدرات دنيا رقم 2025/27
الزبون: مديرية الاشغال العمومية ولاية أم البواقي
النوع: اعلان عن طلب العروض المفتوح مع اشتراط قدرات دنيا رقم 2025/27
موضوع: صيانة الطرق الوطنية شطر 2024
عدد الصفحات: 3/4
إعلان عن إجراء مزاد علني لإيجار حقوق الساحات وأماكن التوقف السوق الأسبوعي للمواشي بلدية فوغالة لسنة 2026
الزبون: بلدية فوغالة ولاية بسكرة
النوع: إعلان عن إجراء مزاد علني لإيجار حقوق الساحات وأماكن التوقف السوق الأسبوعي للمواشي بلدية فوغالة لسنة 2026
موضوع: إيجار حقوق الساحات وأماكن التوقف السوق الأسبوعي للمواشي بلدية …
عدد الصفحات: 1/4
إعلان عن طلب عروض وطني مفتوح رقم 02/2025
الزبون: المؤسسة العمومية الإستشفائية صروب الخثير العلمة
النوع: إعلان عن طلب عروض وطني مفتوح رقم 02/2025
موضوع: توريد المواد المتعلقة بالتغذية بعنوان سنة 2026
عدد الصفحات: 1/4
اعذار رقم01.
الزبون: مديرية التجهيزات العمومية لولاية سطيف
النوع: اعذار رقم01.
موضوع: دراسة ومتابعة لانجاز مدرسة ابتدائية نمط 02 على مستوى موقع 1500 مسكن …
عدد الصفحات: 1/4
اعلان عن طلب عرض مفتوح مع اشتراط قدرات دنيا رقم 2025/58
الزبون: مديرية التجهيزات العمومية ولاية أم البواقي
النوع: اعلان عن طلب عرض مفتوح مع اشتراط قدرات دنيا رقم 2025/58
موضوع: دراسة متابعة وانجاز ثانوية 800/200 وجبة بعين كرشة
عدد الصفحات: 3/4
اعلان عن طلب عروض مفتوح مع اشتراط قدرات دنيا رقم 2025/59
الزبون: مديرية التجهيزات العمومية ولاية أم البواقي
النوع: اعلان عن طلب عروض مفتوح مع اشتراط قدرات دنيا رقم 2025/59
موضوع: انجاز مدرسة ابتدائية نوع 02 رقم 02 على مستوى موقع 586 سكن عمومي …
عدد الصفحات: 1/2
إعلان عن منح مؤقت لصفقة...
الزبون: مديرية الري لولاية ان صالح
النوع: إعلان عن منح مؤقت لصفقة...
موضوع: انجاز خزان مائي بسعة 1000 م3 مع الربط بمحطة الضخ بان غار (ولاية ان …
عدد الصفحات: 1/4
الأحد 23 نوفمبر 2025
AVIS de négociation après consultation N° 25/2025 (Après infructuosité de l’appel d'Offres National Ouvert n°16/2025 et 22/2025)
الزبون: Office De Promotion Et de Gestion Immobilière Wilaya De Jijel
النوع: AVIS de négociation après consultation N° 25/2025 (Après infructuosité de l’appel d'Offres National Ouvert n°16/2025 et 22/2025)
موضوع: real 60/100/1500 logts travaux TCE VRD programme 2024 commune kaous
عدد الصفحات: 1/2
إعلان عن المنح المؤقت ..
الزبون: مديرية الصحة والسكان لولاية قالمة
النوع: إعلان عن المنح المؤقت ..
موضوع: 2025/01 الحصة 06 vrd التهيئة الخارجية ملعب الرياضة سياج وحجرة الحارس …
عدد الصفحات: 1/4
ANNONCE D'APPEL D'OFFRES OUVERT AVEC EXIGENCE DES CAPACITES MINIMALES N 2025/04
الزبون: COMMUNE BIR DHEB WILAYA DE TEBESSA
النوع: ANNONCE D'APPEL D'OFFRES OUVERT AVEC EXIGENCE DES CAPACITES MINIMALES N 2025/04
موضوع: FOURNITURE DE PRODUIT ALIMENTAIRES POUR LES ANTINES SCOLAIRES POUR L'ANN2E 2026
عدد الصفحات: 1/4
.ANNONCE D'APPEL D'OFFRES OUVERT AVEC EXIGENCE DES CAPACITES MINIMALES N 2025/04
الزبون: COMMUNE BIR DHEB WILAYA DE TEBESSA
النوع: .ANNONCE D'APPEL D'OFFRES OUVERT AVEC EXIGENCE DES CAPACITES MINIMALES N 2025/04
موضوع: FOURNITURE DE PRODUIT ALIMENTAIRES POUR LES ANTINES SCOLAIRES POUR L'ANN2E 2026
عدد الصفحات: 1/4
Avis d'Attribution provisoire de mArché A commAndes
الزبون: Wilaya de Tebessa Daïra d 'El-Kouif Commune d'El –Kouif
النوع: Avis d'Attribution provisoire de mArché A commAndes
موضوع: Alimentation scolaire pour l’année 2026
عدد الصفحات: 1/4
AVIS D’APPEL D’OFFRE NATIONAL OUVERT AVEC EXIGENCE DE CAPACITES MINIMALES N°: ( 28 /2025)
الزبون: WILAYA D’EL-MENIAA DIRECTION DES EQUIPEMENTS PUBLICS
النوع: AVIS D’APPEL D’OFFRE NATIONAL OUVERT AVEC EXIGENCE DE CAPACITES MINIMALES N°: ( 28 /2025)
موضوع: Aménagement et Réhabilitation des établissement du cycle moyen (y compris chauffage) de la wilaya de ELMENIAA.
عدد الصفحات: 1/2
AVIS D’APPEL D’OFFRE NATIONAL OUVERT AVEC EXIGENCE DE CAPACITES MINIMALES N°: ( 27 /2025)
الزبون: WILAYA D’EL-MENIAA DIRECTION DES EQUIPEMENTS PUBLICS
النوع: AVIS D’APPEL D’OFFRE NATIONAL OUVERT AVEC EXIGENCE DE CAPACITES MINIMALES N°: ( 27 /2025)
موضوع: Aménagement et Réhabilitation des établissement du cycle secondaire (y compris chauffage) de la wilaya de …
عدد الصفحات: 1/2
....MISE EN DEMEURE N°01
الزبون: WILAYA DE BORDJ –BOU-ARRERIDJ DIRECTION DU EQUIPEMENTS PUBLICS
النوع: ....MISE EN DEMEURE N°01
موضوع: la réalisation d’un Groupe scolaire type « 04 » au niveau de route bir snab Bordj Bou Arreridj.
عدد الصفحات: 1/4
MISE EN DEMEURE N° 01*
الزبون: Direction de l’Hydraulique De la Wilaya De Béni Abbes
النوع: MISE EN DEMEURE N° 01*
موضوع: Intitulé : lot N°0 2 Réalisation d’un château d’eau de 500m Vu le marché N°13/2024 visé le …
عدد الصفحات: 1/4
طلب عروض وطني مفتوح مع اشتراط قدرات دنيا رقم 23-12، 15-247/28/2025/ د.ت.م
الزبون: ديوان الترقية والتسيير العقاري لبومرداس
النوع: طلب عروض وطني مفتوح مع اشتراط قدرات دنيا رقم 23-12، 15-247/28/2025/ د.ت.م
موضوع: انجاز ما تبقى من اشغال بكل هياكل الدولة المجتمعة بدون أشغال الطرق …
عدد الصفحات: 1/2
إعلان عن مناقصة وطنية مفتوحة مع اشتراط الحد الادنى من القدرات رقم 03/إج/م ع إ-03/ م ف و د/د م إ/2025
الزبون: المديرية العملياتية لاتصالات الجزائر الاغواط
النوع: إعلان عن مناقصة وطنية مفتوحة مع اشتراط الحد الادنى من القدرات رقم 03/إج/م ع إ-03/ م ف و د/د م إ/2025
موضوع: تركيب شبكة مكافحة الحرائق بمجمعي المعمورة وبوشاكر
عدد الصفحات: 1/2
الخميس 20 نوفمبر 2025
إعلان عن عروض وطني مفتوح مع اشتراط قدرات دنيا رقم 2025/02
الزبون: مديرية التكوين والتعليم المهنيين ولاية بومرداس
النوع: إعلان عن عروض وطني مفتوح مع اشتراط قدرات دنيا رقم 2025/02
موضوع: اقتناء تجهيزات المعهد الوطني المتخصص في التكوين المهني 300 م.ب / 120 …
عدد الصفحات: 3/4
RESTRAINED NATIONAL 1 INTERNATIONAL CALL TO TENDER N 265/25/D01
الزبون: COSIDER
النوع: RESTRAINED NATIONAL 1 INTERNATIONAL CALL TO TENDER N 265/25/D01
موضوع: EPC construction of the SDEM of tamda ouguemoun with a capacity of 60.000 m3/day
عدد الصفحات: 1/4
.AVIS D'ATTRIBUTION PROVISOIRE.
الزبون: DIRECTION DES OEUVRES UNIVERSITAIRES TIPAZA
النوع: .AVIS D'ATTRIBUTION PROVISOIRE.
موضوع: LE TRANSPORT UNIVERSITAIRE QU'APRES L'OPERATION D'EVALUATION TECHNIQUE ET FINANCIERE DES OFFRES
عدد الصفحات: 1/4
AVIS D’ANNULATION DE L’ATTRIBUTION PROVISOIRE DU MARCHE
الزبون: DIRECTION DES TRAVAUX PUBLICS DE LA WILAYA DE BEJAIA
النوع: AVIS D’ANNULATION DE L’ATTRIBUTION PROVISOIRE DU MARCHE
موضوع: :Traitement les sections touchés par les intempéries sur CW16 aux PK12 700 et PK12 300 et PK12 500 Commune Aokas …
عدد الصفحات: 1/4
اعلان عن منح مؤقت *
الزبون: مديرية التجهيزات العمومية لولاية باتنة
النوع: اعلان عن منح مؤقت *
موضوع: تهيئة واعادة التأهيل مؤسسات التعليم للطور المتوسط بما في ذلك …
عدد الصفحات: 1/4
AVIS D’APPEL D’OFFRES NATIONAL OUVERT AVEC EXIGENCES DE CAPACITES MINIMALES N° ….. /SMP/DAF/CTO/2025
الزبون: WILAYA DE TIZI-OUZOU DAIRA DE TIZI-OUZOU COMMUNE DE TIZI-OUZOU
النوع: AVIS D’APPEL D’OFFRES NATIONAL OUVERT AVEC EXIGENCES DE CAPACITES MINIMALES N° ….. /SMP/DAF/CTO/2025
موضوع: REHABILITATION DU CARREFOUR ET LE PONT 20 AVRIL TIZI OUZOU
عدد الصفحات: 1/4
إعلان عن منح مؤقت **
الزبون: مديرية التجهيزات العمومية ولاية المسيلة
النوع: إعلان عن منح مؤقت **
موضوع: انجاز متوسطة نمط ب 200/06 وجبة لتعويض متوسطة طيايبة الحاج ببلدية …
عدد الصفحات: 1/4
APPEL D'OFFRES OUVERT AVEC EXIGENCE DE CAPACITE MINIMALES N 2025/87
الزبون: COMMUNE D'OUED TAGA WILAYA DE BATNA
النوع: APPEL D'OFFRES OUVERT AVEC EXIGENCE DE CAPACITE MINIMALES N 2025/87
موضوع: APPROVISIONNEMENT DES CANTINES SCOLAIRES EN PRODUITS ALIMENTAIRES DURANT L'ANNEE 2026
عدد الصفحات: 1/2
AVIS D'APPEL D'OFFRES OUVERT N 01/F.M/2025
الزبون: UNIVERSITE SETIF 1- FERHAT ABBAS
النوع: AVIS D'APPEL D'OFFRES OUVERT N 01/F.M/2025
موضوع: Acquisition d'outils et de fournitures de laboratoire, d'enseignement et de recherche a la faculté de medecine de …
عدد الصفحات: 1/2
AVIS D’APPEL D’OFFRES NATIONAL OUVERT AVEC EXIGENCE DE CAPACITES MINIMALES N°…38../2025
الزبون: Direction des Équipements Publics de la Wilaya de Guelma
النوع: AVIS D’APPEL D’OFFRES NATIONAL OUVERT AVEC EXIGENCE DE CAPACITES MINIMALES N°…38../2025
موضوع: réaliser d’un lycée type 1000 au niveau du site des 3700 logements en location-vente à HadjerMengoub, commune …
عدد الصفحات: 1/2
AVIS DU 3EME APPEL D’OFFRE NATIONAL OUVERT AVEC EXIGENCE DE CAPACITES MINIMALES N° 08 /2025
الزبون: WILAYA DE SKIKDA DIRECTION DE LA CULTURE
النوع: AVIS DU 3EME APPEL D’OFFRE NATIONAL OUVERT AVEC EXIGENCE DE CAPACITES MINIMALES N° 08 /2025
موضوع: Equipement du théâtre régional de Skikda
عدد الصفحات: 1/4
الأربعاء 19 نوفمبر 2025
avis de vente par voie d'adjudication de logements promotionnels libres locaux commerciaux n 2025/06
الزبون: opgi ain defla
النوع: avis de vente par voie d'adjudication de logements promotionnels libres locaux commerciaux n 2025/06
موضوع: p 190 logements promotionnels aidé 27 logemets promotionnels libres (clos et couverts) 25 locaux commerciaux (clos …
عدد الصفحات: 3/4
AVIS D’APPEL D’OFFRES NATIONAL OUVERT AVEC EXIGENCE DE CAPACITES MINIMALES N° 24/AT/DOT27/2025
الزبون: DIRECTION OPERATIONNELLE DES TELECOMMUNICATIONS DE MOSTAGANEM
النوع: AVIS D’APPEL D’OFFRES NATIONAL OUVERT AVEC EXIGENCE DE CAPACITES MINIMALES N° 24/AT/DOT27/2025
موضوع: la conclusion de(s) contrat(s) d'adhésions à commandes pour la réalisation des travaux de développement du …
عدد الصفحات: 1/2
AVIS D'INFRUCTUOSITE..
الزبون: OPTIMUM TELECOM ALGERIE SPA
النوع: AVIS D'INFRUCTUOSITE..
موضوع: transport du personnel d'optimum telecom algerie spa (ota)
عدد الصفحات: 1/4
AVIS D'ANNULATION D'ATTRIBUTION PROVISOIRE
الزبون: OPTIMUM TELECOM ALGERIE SPA
النوع: AVIS D'ANNULATION D'ATTRIBUTION PROVISOIRE
موضوع: TRANSPORT DU PERSONNEL D'OPTIMUM TELECOM ALGERIE SPA (OTA)
عدد الصفحات: 1/4
Appel d’Offres National ouvert avec exigence de capacités minimales N°05/ 2025
الزبون: Wilaya de Guelma Daïra de Guelma Commune de Guelma
النوع: Appel d’Offres National ouvert avec exigence de capacités minimales N°05/ 2025
موضوع: Approvisionnement Des cantines Des écoles Primaire Commune De Guelma Année 2026 …
عدد الصفحات: 1/2
AVIS D'APPEL D'OFFRE NATIONAL OUVERT AVEC EXIGENCE DE CAPACITE MINIMALES N 2025/01
الزبون: COMMUNE DE BELKHIER WILAYA DE GUELMA
النوع: AVIS D'APPEL D'OFFRE NATIONAL OUVERT AVEC EXIGENCE DE CAPACITE MINIMALES N 2025/01
موضوع: APPROVISIONNEMENT CANTINES SCOLAIRES POUR L'ANNEE 2026
عدد الصفحات: 1/2
AVIS D'ATTRIBUTION PROVISOIRE DES MARCHES
الزبون: COMMUNE OULED RAHMOUN WILAYA DE CONSTANTINE
النوع: AVIS D'ATTRIBUTION PROVISOIRE DES MARCHES
موضوع: Achevement travaux de realisation d'une école primaire cité bouaroudj mohamed oueld rahmoun centre
عدد الصفحات: 1/4
اعلان عن اسناد مؤقت
الزبون: مديرية التعمير والهندسة المعمارية والبناء ولاية جيجل
النوع: اعلان عن اسناد مؤقت
موضوع: الدراسة والتحقيق الجزئي لنزع الملكية من اجل المنفعة العامة بموقع …
عدد الصفحات: 1/4
AVIS D’APPEL D’OFFRE NATIONAL OUVERT AVEC EXIGENCE DES CAPACITES MINIMALES N :°155/2025
الزبون: SETIF DIRECTION DES EQUIPEMENTS PUBLICS
النوع: AVIS D’APPEL D’OFFRE NATIONAL OUVERT AVEC EXIGENCE DES CAPACITES MINIMALES N :°155/2025
موضوع: : REALISATION D’UN COLLEGE BASE 05/200 REPAS REMPLACEMENT A AIN AZEL (CEM MOUHAMED GHELOUSSI) Lot03 : logements …
عدد الصفحات: 1/2
الاعلان عن المنح المؤقت للصفقة
الزبون: جامعة محمد البشير الابراهيمي برج بوعريريج كلية العلوم والتكنولوجيا
النوع: الاعلان عن المنح المؤقت للصفقة
موضوع: صبانة وتصليح المباني الادارية والبيداغوجية والبحثية
عدد الصفحات: 1/4
الثلاثاء 18 نوفمبر 2025
.AVIS D'APPEL D'OFFRES NATIONAL OUVERT AVEC EXIGENCE DE CAPACITES MINIMALES
الزبون: WILAYA DE BOUMERDES DIRECTION DE L’ADMINISTRATION LOCALE
النوع: .AVIS D'APPEL D'OFFRES NATIONAL OUVERT AVEC EXIGENCE DE CAPACITES MINIMALES
موضوع: Etude d'évaluation de la mise en œuvre du plan d’aménagement du territoire.
عدد الصفحات: 3/4
الإعذار الأول رقم 2025/19
الزبون: مديرية الأشغال العمومية لولاية البويرة
النوع: الإعذار الأول رقم 2025/19
موضوع: اقتناء ألة ازالة الثلوج الأتوماتيكية
عدد الصفحات: 1/4
AVIS D’APPEL D'OFFRE OUVERT AVEC EXIGENCE DE CAPACITES MINIMALES, N° 21 /2025
الزبون: COMMUNE DE BISKRA WILAYA DE BISKRA
النوع: AVIS D’APPEL D'OFFRE OUVERT AVEC EXIGENCE DE CAPACITES MINIMALES, N° 21 /2025
موضوع: Services de balayage A Travers La Ville De Biskra (La Zone de l’est La Zone de L’ouest)
عدد الصفحات: 1/4
AVIS D'ATTRIBUTION PROVISOIRE DU MARCHE
الزبون: DIRECTION DES EQUIPEMENTS PUBLICS DE LA WILAYA DE TAMANRASSET
النوع: AVIS D'ATTRIBUTION PROVISOIRE DU MARCHE
موضوع: Réalisation D’un Collège Type B 7 / 300 Rations a TABARKAT Commune de Tamanrasset (Repartie en Plusieurs …
عدد الصفحات: 1/2
AVIS D’ATTRIBUTION CORRECTIF DU PROJET DE MARCHE
الزبون: DIRECTION DES TRAVAUX PUBLICS DE LA WILAYA DE DJELFA
النوع: AVIS D’ATTRIBUTION CORRECTIF DU PROJET DE MARCHE
موضوع: Réalisation du Dédoublement de la RN46 commune de Charef vers le chef-lieu de la wilaya de Djelfa du PK 0 au PK …
عدد الصفحات: 1/4
.Avis D’Attribution Provisoire
الزبون: COMMUNE DE SETIF WILAYA DE SETIF
النوع: .Avis D’Attribution Provisoire
موضوع: تهيئة وتعبيد مدخل المدينة من محطة نقل المسافرين الى غاية محطة …
عدد الصفحات: 1/4
إعلان عن عدم جدوى.
الزبون: ديوان الترقية والتسيير العقاري ولاية سكيكدة
النوع: إعلان عن عدم جدوى.
موضوع: اتمام انجاز اشغال مقر ديوان الترقية والتسيير العقاري لولاية …
عدد الصفحات: 1/4
APPEL D'OFFRES OUVERT AVEC EXIGENCE DE CAPACITES MINIMALES N2024/15
الزبون: OPGI SOUK AHRAS
النوع: APPEL D'OFFRES OUVERT AVEC EXIGENCE DE CAPACITES MINIMALES N2024/15
موضوع: la realisation en tce de 60 logements VRD des 100 logements sedrata
عدد الصفحات: 1/4
..MISE EN DEMEURE N 01
الزبون: OPGI SOUK AHRAS
النوع: ..MISE EN DEMEURE N 01
موضوع: REALISATION EN TOUS CORPS D'ETAT AVEC VRD DES 2000/100 LOGEMENTS PUBLICS LOCATIFS
عدد الصفحات: 1/4
AVIS D'APPEL D'OFFRES OUVERT N 2025/04
الزبون: COMMUNE DE ZERIZER WILAYA D'EL TAREF
النوع: AVIS D'APPEL D'OFFRES OUVERT N 2025/04
موضوع: NUTRITION SCOLAIRE 2026 EN 02 LOTS DISTINCTES
عدد الصفحات: 1/4
DEUXIEME AVIS D'APPEL d'offres national ouvert avec exgence de capacites minimales n 17/2025
الزبون: direction de la jeunesse et des sports wilaya de tebessa
النوع: DEUXIEME AVIS D'APPEL d'offres national ouvert avec exgence de capacites minimales n 17/2025
موضوع: réhabilitation des infratructures de jeunesse
عدد الصفحات: 1/4
AVIS D'APPEL D'OFFRES NATIONAL OUVERT N 2025/01
الزبون: GROUPE INDUSTRIEL SIDER ANNABA
النوع: AVIS D'APPEL D'OFFRES NATIONAL OUVERT N 2025/01
موضوع: la realisation d'une experise en vue de l'identification et du recensement du patrimoine immobilier et foncier du …
عدد الصفحات: 1/2
الإثنين 17 نوفمبر 2025
إعلان عن المنح المؤقت للصفقة رقم 2025/02
الزبون: بلدية لقاطة ولاية بومرداس
النوع: إعلان عن المنح المؤقت للصفقة رقم 2025/02
موضوع: انهاء أشغال انجاز قاعة العلاج في حي مراشدة
عدد الصفحات: 1/4
MISE EN DEMEURE N 01
الزبون: DIRECTION DES EQUIPEMENTS PUBLICS WILAYA DE BORRDJ BOU ARRIRIDJ
النوع: MISE EN DEMEURE N 01
موضوع: REALISATION D'UN COLLEGE TYPE 300/06 A LA COMMUNE DE KHELIL
عدد الصفحات: 1/4
.MISE EN DEMEURE N 01
الزبون: COMMUNE DE TISSEMSILT WILAYA DE TISSEMSILT
النوع: .MISE EN DEMEURE N 01
موضوع: l'approvisionnement des cantines scolaires en produits alimentaires a travers la commune de tissemsilt durant l'année …
عدد الصفحات: 1/4
إعذار رقم 02.
الزبون: مديرية التجهيزات العمومية ولاية تندوف
النوع: إعذار رقم 02.
موضوع: دراسة لإنجاز مركز التكوين المهني والتمهين 60/300 سرير بأم العسل
عدد الصفحات: 1/4
اعلان عن عدم جدوى.
الزبون: مديرية الري لولاية تندوف
النوع: اعلان عن عدم جدوى.
موضوع: تجديد الشبكة القديمة للمياه الصالحة للشرب من الإسبست عبر مدينة …
عدد الصفحات: 1/4
إعلان عن المنح المؤقت في اطار طلب العروض المفتوح مع اشتراط قدرات دنيا رقم 2025/02
الزبون: المديرية العامة للأمن الوطني
النوع: إعلان عن المنح المؤقت في اطار طلب العروض المفتوح مع اشتراط قدرات دنيا رقم 2025/02
موضوع: اقتناء مختلف أنواع العتاد لفائدة مصالح المديرية العامة للأمن …
عدد الصفحات: 1/4
تخصيص محلات تجارية للكراء عن طريق المزايدة لحق الايجار
الزبون: ديوان الترقية والتسيير العقاري لتيسمسيلت
النوع: تخصيص محلات تجارية للكراء عن طريق المزايدة لحق الايجار
موضوع: تخصيص 83 محلا تجاريا للكراء عن طريق المزايدة لحق الايجار
عدد الصفحات: 3/4
AVIS D'INFRUCTUOSITE N 2025/24
الزبون: DIRECTION DES EQUIPEMENTS PUBLICS LA WILAYA DE BENI ABBES
النوع: AVIS D'INFRUCTUOSITE N 2025/24
موضوع: realisation d'une ecole primaire type 02 au niveau du site 292 RH commune de beni abbés wilaya de béni abbés
عدد الصفحات: 1/4
اعلان عن المنح المؤقت للصفقة تحت رقم 14
الزبون: مديرية التعمير والهندسة المعمارية والبناء لولاية المغير
النوع: اعلان عن المنح المؤقت للصفقة تحت رقم 14
موضوع: تهيئة ساحة عمومية بالمدخل الجنوبي لبلدية المغير
عدد الصفحات: 1/4
اعلان عن المنح المؤقت /
الزبون: مديرية التربية لولاية اولاد جلال
النوع: اعلان عن المنح المؤقت /
موضوع: تجهيز متوسطة 300/6 حاسي السيدة / الشعيبة
عدد الصفحات: 1/4
MISE EN DEMEURE
الزبون: MINISTERE DE L’HYDRAULIQUE DIRECTION DE L’HYDRAULIQUE DE LA WILAYA DE JIJEL
النوع: MISE EN DEMEURE
موضوع: Réalisation réservoir 1000 m3 a Texanna centre.
عدد الصفحات: 1/4
appel D'oFFres ouVert aVec exigence De capacité minimales n° 04/2025
الزبون: commune D'oueD nini WillaYa D'oum el BouagHi
النوع: appel D'oFFres ouVert aVec exigence De capacité minimales n° 04/2025
موضوع: Marché a Commande concernant l alimentation scolaire pour l année 2026 renouvelable .
عدد الصفحات: 1/4
DEUXIEME MISE EN DEMEURE
الزبون: COMMUNE DE FOUGHALA WILAYA DE BISKRA
النوع: DEUXIEME MISE EN DEMEURE
موضوع: realisation de quatre classes annexes a l'ecole primaire ghazali el amari
عدد الصفحات: 1/4
AVIS D’APPEL D'OFFRES NATIONAL OUVERT AVEC EXIGENCE DE CAPACITES MINIMALES № 15/D.E./2025
الزبون: DIRECTION DE L’EDUCATION DE LA WILAYA DE BATNA
النوع: AVIS D’APPEL D'OFFRES NATIONAL OUVERT AVEC EXIGENCE DE CAPACITES MINIMALES № 15/D.E./2025
موضوع: Acquisition des équipements scolaires au profit d'un Lycée type 1000 au niveau du site des 500 logements en …
عدد الصفحات: 1/4
الأحد 16 نوفمبر 2025
اعلان عن طلب العروض المفتوح رقم 2025/04
الزبون: بلدية تيكستار ولاية برج بوعريريج
النوع: اعلان عن طلب العروض المفتوح رقم 2025/04
موضوع: التغذية المدرسية لسنة 2026 حسب ثلاث حصص
عدد الصفحات: 1/4
AVIS D'APPEL D'OFFRES NATIONAL RESTREINT N 25/72
الزبون: COSIDER
النوع: AVIS D'APPEL D'OFFRES NATIONAL RESTREINT N 25/72
موضوع: assurer la restauration du personnel de l'unité p33 sis oued smar wilaya d'alger
عدد الصفحات: 1/4
اعلان ثالث عن مناقصة وطنية مفتوحة مع شرط الحد الأدنى للقدرات رقم 2022/04
الزبون: مديرية التجهيزات العمومية لولاية بجاية
النوع: اعلان ثالث عن مناقصة وطنية مفتوحة مع شرط الحد الأدنى للقدرات رقم 2022/04
موضوع: انجاز المدرسة الابتدائية رقم 02 صنف D على مستوى موقع 9100 مسكن LLV و 6920 …
عدد الصفحات: 1/4
منح مؤقت للمشروع
الزبون: مديرية التجهيزات العمومية لولاية تمنراست
النوع: منح مؤقت للمشروع
موضوع: انجاز متوسطة نمط 300/6 وجبة بتافسيت بلدية تمنراست حصة وحيدة مقسمة …
عدد الصفحات: 1/2
AVIS D’APPEL D’OFFRES OUVERT avec exigence de capacités minimales N°.25….../2025
الزبون: WILAYA DE M'SILA DIRECTION DES TRAVAUX PUBLICS
النوع: AVIS D’APPEL D’OFFRES OUVERT avec exigence de capacités minimales N°.25….../2025
موضوع: Acquisition de petit matériel et outillage
عدد الصفحات: 1/4
اعلان عن المنح المؤقت عدم جدوى
الزبون: بلدية مقرة ولاية المسيلة
النوع: اعلان عن المنح المؤقت عدم جدوى
موضوع: توسيع شبكتي المياه الصالحة للشرب والصرف الصحي بمقرة
عدد الصفحات: 1/4
AVIS D'APPEL D'OFFRES NATIONAL OUVERT N 2024/41 LOTS N 02 ET 05
الزبون: DIRECTION GENERALE DE LA SURETE NATIONAL
النوع: AVIS D'APPEL D'OFFRES NATIONAL OUVERT N 2024/41 LOTS N 02 ET 05
موضوع: L'ACQUISITION DE DIFFERENTS EFFETS D'HABILLEMENTS
عدد الصفحات: 1/2
الاعلان عن المنح المؤقت للصفقات وعدم جدوى لطلب عروض وطني مفتوح مع اشتراط قدرات الدنيا رقم 2025/02
الزبون: المديرية العامة للأمن الوطني
النوع: الاعلان عن المنح المؤقت للصفقات وعدم جدوى لطلب عروض وطني مفتوح مع اشتراط قدرات الدنيا رقم 2025/02
موضوع: اقتناء قطع غيار السيارات عالية الدوران لجميع أنواع وماركات …
عدد الصفحات: 1/2
AVIS D’APPEL D’OFFRES NATIONAL OUVERT AVEC EXIGENCE DE CAPACITES MINIMALES N°40/AT/DG/DAMP/DAM/2025
الزبون: Direction Générale EPE - Algérie Télécom - SPA
النوع: AVIS D’APPEL D’OFFRES NATIONAL OUVERT AVEC EXIGENCE DE CAPACITES MINIMALES N°40/AT/DG/DAMP/DAM/2025
موضوع: « Acquisition de solutions audiovisuelles (Room Vidéo Call) »
عدد الصفحات: 3/4
اعلان عن المنح المؤقت بعد الالغاء
الزبون: بلدية القالة ولاية الطارف
النوع: اعلان عن المنح المؤقت بعد الالغاء
موضوع: انجاز 03 اقسام توسعة بالمدرسة الابتدائية رزقان رمضان
عدد الصفحات: 1/4
إعلان عن المنح المؤقت/
الزبون: بلدية سطيف ولاية سطيف
النوع: إعلان عن المنح المؤقت/
موضوع: تهيئة واد حشيش من مبلوط واد حشيش الى غاية واد بوسلام
عدد الصفحات: 1/4
الخميس 13 نوفمبر 2025
الإعلان عن طلب عروض وطني مفتوح رقم 2025/09
الزبون: بلدية عين الدفلى ولاية عين الدفلى
النوع: الإعلان عن طلب عروض وطني مفتوح رقم 2025/09
موضوع: تموين مطاعم المدارس الابتدائية التابعة لبلدية عين الدفلى بمواد …
عدد الصفحات: 1/4
إعلان عن طلب عروض مفتوح مع اشتراط قدرات دنيا رقم 2025/10
الزبون: بلدية القصبة ولاية الجزائر
النوع: إعلان عن طلب عروض مفتوح مع اشتراط قدرات دنيا رقم 2025/10
موضوع: اشغال تهيئة الرصيف على مستوى نهج محمد طالب وترميم الحائط الكائن …
عدد الصفحات: 1/4
إعلان عن طلب عروض وطني مفتوح مع اشتراط قدرات دنيا
الزبون: مديرية الأشغال العمومية ولاية جانت
النوع: إعلان عن طلب عروض وطني مفتوح مع اشتراط قدرات دنيا
موضوع: مشروع انجاز معابر مائية على الطريق المزدوج أغوم
عدد الصفحات: 1/2
إعلان عن طلب العروض الوطني المفتوح مع اشتراط قدرات دنيا رقم 2025/80
الزبون: المديرية الجهوية للجزائر شرق -وكالة عدل-
النوع: إعلان عن طلب العروض الوطني المفتوح مع اشتراط قدرات دنيا رقم 2025/80
موضوع: انجاز مشروع 50 مسكن ترقوي مدعم و07 مساكن ترقوي حر بكل مراحله مع 08 …
عدد الصفحات: 1/2
إعلان عن طلب عروض وطني مفتوح مع اشتراط قدرات دنيا رقم 2025/03
الزبون: المندوبية الوطنية للأمن في الطرق
النوع: إعلان عن طلب عروض وطني مفتوح مع اشتراط قدرات دنيا رقم 2025/03
موضوع: تهيئة واعادة التأهيل مبنى المندوبية الوطني للأمن في الطرق
عدد الصفحات: 1/2
AVIS D'APPEL D'OFFRES OUVERT AVEC EXIGENCE DE CAPACITES MINIMALES N 2025/16
الزبون: COMMUNE DES EUCALYPTUS WILAYA D'ALGER
النوع: AVIS D'APPEL D'OFFRES OUVERT AVEC EXIGENCE DE CAPACITES MINIMALES N 2025/16
موضوع: TRAVAUX REALISATION RESEAU D'ALIMENTATION EN EAUX POTABLES A LA CITE ZOUAOUI
عدد الصفحات: 1/4
AVIS D'ATTRIBUTION PROVISOIRE DU MARCHE N° 152/2025
الزبون: DIRECTION DES EQUIPEMENTS PUBLICS DE LAWILAYA DE SETIF
النوع: AVIS D'ATTRIBUTION PROVISOIRE DU MARCHE N° 152/2025
موضوع: Réalisation d’un Collége type 6/300 repas à Bouaouadja commune De Guijel Sétif
عدد الصفحات: 1/4
avis d'appel d'offre ouvert avec exigence de capacites minimales
الزبون: commune babar wilaya de khenchela
النوع: avis d'appel d'offre ouvert avec exigence de capacites minimales
موضوع: réhabilitation de l'entrée ouest, route de tamza, village ain djerboua, menant au nouveau lycée
عدد الصفحات: 1/4
savis d'appel d'offre ouvert avec exigence de capacites minimales
الزبون:
النوع: savis d'appel d'offre ouvert avec exigence de capacites minimales
موضوع: réhabilitation du quartier tagrart - centre de babbar
عدد الصفحات: 1/4
AVIS D'APPEL D'OFFRES OUVERT AVEC EXIGENCE DE CAPACITE MINIMALES N 2025/02
الزبون: DIRECTION DE LA PROTECTION CIVILE DE LA WILAYA D'OUM ELBOUAGHI
النوع: AVIS D'APPEL D'OFFRES OUVERT AVEC EXIGENCE DE CAPACITE MINIMALES N 2025/02
موضوع: l'approvisionnement des unités opérationnelles de la protection civile en denrées alimentaires au titre de l'année …
عدد الصفحات: 1/4
إعلان عن المنح المؤقت لصفقة
الزبون: مديرية التجهيزات العمومية ولاية سكيكدة
النوع: إعلان عن المنح المؤقت لصفقة
موضوع: تهيئة واعادة الاعتبار بما فيها التدفئة والتكييف لمقر مديرية …
عدد الصفحات: 1/4
اعلان عن طلب العروض مفتوح رقم 01/2025
الزبون: بلدية بوشقوف ولاية قالمة
النوع: اعلان عن طلب العروض مفتوح رقم 01/2025
موضوع: تموين مطاعم المدارس الابتدائية بالمواد الغذائية لبلدية بوشقوف …
عدد الصفحات: 1/4
avis d'attribution provisoire et d'infructuosité
الزبون: commune de setif wilaya de setif
النوع: avis d'attribution provisoire et d'infructuosité
موضوع: اقتناء مواد ولوازم وعتاد صغير ومعدات لفائدة الورشات لبلدية سطيف …
عدد الصفحات: 1/4
الأربعاء 12 نوفمبر 2025
إعلان عن طلب عروض وطني مفتوح رقم 2025/09
الزبون: بلدية جليدة ولاية عين الدفلى
النوع: إعلان عن طلب عروض وطني مفتوح رقم 2025/09
موضوع: نقل التلاميذ المتمدرسين لفائدة بلدية جليدة
عدد الصفحات: 1/4
إعلان عن إلغاء لطلب العروض الوطني المفتوح رقم 2024/15
الزبون: مؤسسة التسيير السياحي للوسط
النوع: إعلان عن إلغاء لطلب العروض الوطني المفتوح رقم 2024/15
موضوع: التموين بمنتوجات الألبان لصالح فندق سوفيتال/ الجزائر/ مؤسسة …
عدد الصفحات: 1/4
...MISE EN DEMEURE N°01
الزبون: office de promotion et de gestion immobiliére batna
النوع: ...MISE EN DEMEURE N°01
موضوع: réalisation de 1500/60 logements publics locatifs à la commune de M'DOUKEL wilaya de batna
عدد الصفحات: 1/4
إعلان عن طلب العروض المفتوح مع اشتراط قدرات دنيا رقم 2025/60
الزبون: بلدية تبسة ولاية تبسة
النوع: إعلان عن طلب العروض المفتوح مع اشتراط قدرات دنيا رقم 2025/60
موضوع: اقتناء لوازم الإنارة
عدد الصفحات: 1/2
الإعلان عن طلب العروض الوطني المفتوح مع إشتراط قدرات دنيا رقم 2025/45
الزبون: ديوان الترقية والتسيير العقاري سكيكدة
النوع: الإعلان عن طلب العروض الوطني المفتوح مع إشتراط قدرات دنيا رقم 2025/45
موضوع: اشغال الطرق والشبكات المختلفة (الثلاثية) ل 70 مسكن عمومي إيجاري / …
عدد الصفحات: 1/2
إعلان عن طلب عرض وطني مفتوح مع اشتراط قدرات دنيا رقم 2025/16
الزبون: بلدية فلفلة ولاية سكيكدة
النوع: إعلان عن طلب عرض وطني مفتوح مع اشتراط قدرات دنيا رقم 2025/16
موضوع: التهيئة العمرانية بحي الإخوة عياشي بمحاذاة الدرك الوطني بلدية …
عدد الصفحات: 1/2
إعلان عن طلب العروض الوطني المفتوح مع إشتراط قدرات دنيا
الزبون: مديرية الري لولاية سوق أهراس
النوع: إعلان عن طلب العروض الوطني المفتوح مع إشتراط قدرات دنيا
موضوع: اعادة تأهيل مقاطع من شبكة التزويد بالمياه الصالحة للشرب عبر …
عدد الصفحات: 1/4
إعلان عن طلب عروض وطني مفتوح مع اشتراط قدرات دنيا رقم 2025/07/01
الزبون: الإقامة الجامعية الحدائق 07 سكيكدة
النوع: إعلان عن طلب عروض وطني مفتوح مع اشتراط قدرات دنيا رقم 2025/07/01
موضوع: خدمات الحراسة والأمن لفائدة الإقامة الجامعية الحدائق 07 سكيكدة …
عدد الصفحات: 3/4
إعلان عن طلب عروض مفتوح مع اشتراط قدرات دنيا رقم 2025/13
الزبون: مؤسسة تهيئة مدينتي عين النحاس وعلي منجلي ولاية قسنطينة
النوع: إعلان عن طلب عروض مفتوح مع اشتراط قدرات دنيا رقم 2025/13
موضوع: أشغال الطرق والصرف الصحي على مستوى المجمعات رقم 08 و 09 والإنارة …
عدد الصفحات: 3/4
الثلاثاء 11 نوفمبر 2025
AVIS D'APPEL D'OFFRES NATIONAL OUVERT AVEC EXIGENCE DE CAPACITES MINIMALES N 2025/01
الزبون: COMMUNE D'IMSOUHAL WILAYA DE TIZI OUZOU
النوع: AVIS D'APPEL D'OFFRES NATIONAL OUVERT AVEC EXIGENCE DE CAPACITES MINIMALES N 2025/01
موضوع: aménagement et revetement d'une aire de jeu en gason synthétique a tizi guefres
عدد الصفحات: 1/2
اعلان عن منح مؤقت للصفقة
الزبون: بلدية أقبو ولاية بجاية
النوع: اعلان عن منح مؤقت للصفقة
موضوع: realisation reseau d'assainissement des eaux usées et réseau DEP cité 504 logements vers RN 26
عدد الصفحات: 1/4
AVIS D’ATTRIBUTION PROVISOIRE DE MARCHE D’avis d’Appel d’Offres National Ouvert avec exigence de capacités minimales N° 027/DMO/2025
الزبون: OFFICE DE PROMOTION ET DE GESTION IMMOBILIERE DE LA WILAYA DE BEJAIA
النوع: AVIS D’ATTRIBUTION PROVISOIRE DE MARCHE D’avis d’Appel d’Offres National Ouvert avec exigence de capacités minimales N° 027/DMO/2025
موضوع: 40 Logements LPL à SEDDOUK.
عدد الصفحات: 1/4
اعلان عن طلب عروض وطني مفتوح رقم 2025/01
الزبون: المؤسسة العمومية الاستشفائية بالاخضرية
النوع: اعلان عن طلب عروض وطني مفتوح رقم 2025/01
موضوع: تموين باللحوم الحمراء الطازجة والبيضاء الطاجزة والبيض ، المواد …
عدد الصفحات: 1/4
اعلان عن مسابقة وطنية محدودة بعد الغاء الاجراء رقم 2025/13
الزبون: بلدية العلمة ولاية سطيف
النوع: اعلان عن مسابقة وطنية محدودة بعد الغاء الاجراء رقم 2025/13
موضوع: دراسة ومتابعة وانجاز مجمع مدرسي نمط 2 بمخطط شغل الأراضي 42/41 العلمة
عدد الصفحات: 1/2
اعلان عن طلب عروض مفتوح مع اشتراط قدرات دنيا رقم 2025/88
الزبون: بلدية بني والبان ولاية سكيكدة
النوع: اعلان عن طلب عروض مفتوح مع اشتراط قدرات دنيا رقم 2025/88
موضوع: التغذية المدرسية لسنة 2026
عدد الصفحات: 1/2
إعلان عن طلب العروض الوطني المفتوح مع اشتراط قدرات دنيا
الزبون: مديرية الصحة والسكان ولاية جيجل
النوع: إعلان عن طلب العروض الوطني المفتوح مع اشتراط قدرات دنيا
موضوع: اقتناء تجهيزات طبية لمستشفى 60 سرير بزيامة منصورية
عدد الصفحات: 1/2
اعلان ثاني عن طلب عروض وطني مفتوح رقم 2025/04 بعد عدم الجدوى
الزبون: المديرية العامة للأمن الوطني
النوع: اعلان ثاني عن طلب عروض وطني مفتوح رقم 2025/04 بعد عدم الجدوى
موضوع: اقتناء قطع غيار المركبات لختلف العلامات
عدد الصفحات: 1/2
إعلان تصحيحي لإعلان المنح المؤقت لطلب عروض وطني مفتوح رقم 2025/03
الزبون: المديرية العامة للأمن الوطني
النوع: إعلان تصحيحي لإعلان المنح المؤقت لطلب عروض وطني مفتوح رقم 2025/03
موضوع: اقتناء أواني المطبخ والمطعم لفائدة مختلف مصالح الشرطة التابعة …
عدد الصفحات: 1/4
إعلان عن المنح المؤقت للصفقة/
الزبون: الصندوق الوطني للتأمينات الإجتماعية للعمال الأجراء وكالة الأغواط
النوع: إعلان عن المنح المؤقت للصفقة/
موضوع: اقتناء، تركيب تجهيزات طبية على مستوى مركز التصوير الطبي بالأشعة …
عدد الصفحات: 1/4
اعلان عن منح مؤقت//
الزبون: مديرية التعمير والهندسة المعمارية والبناء لولاية المسيلة
النوع: اعلان عن منح مؤقت//
موضوع: تم منح الاعلان مؤقتا حسب ما هو موضح فالجدول
عدد الصفحات: 1/4
الإثنين 10 نوفمبر 2025
إعلان عن طلب العروض المفتوح مع اشتراط قدرات دنيا رقم 2025/02
الزبون: بلدية مزغنة ولاية المدية
النوع: إعلان عن طلب العروض المفتوح مع اشتراط قدرات دنيا رقم 2025/02
موضوع: تموين المطاعم المدرسية بالمواد الغذائية لسنة 2026
عدد الصفحات: 1/4
إعلان عن طلب عروض مفتوح مع اشتراط قدرات دنيا
الزبون: مديرية الإدارة المحلية ولاية الجلفة
النوع: إعلان عن طلب عروض مفتوح مع اشتراط قدرات دنيا
موضوع: توسعة أمن ولاية الجلفة
عدد الصفحات: 1/2
AVIS D'APPEL D'OFFRES NATIONAL OUVERT AVEC EXIGENCE DE CAPACITES MINIMALES N 2025/022
الزبون: L'ETABLISSEMENT HOSPITALIER SPECIALISE EHS ALI AIT IDIR
النوع: AVIS D'APPEL D'OFFRES NATIONAL OUVERT AVEC EXIGENCE DE CAPACITES MINIMALES N 2025/022
موضوع: l'acquisition des equipements médicaux pour le bloc opératoire répartis en deux lots
عدد الصفحات: 1/2
Avis d'appel d'offre ouvert avec eigence de capacite minimales n 2025/05
الزبون: commune de hammamet wilaya de tebessa
النوع: Avis d'appel d'offre ouvert avec eigence de capacite minimales n 2025/05
موضوع: l'année financiere 2026 pour 4 lot
عدد الصفحات: 1/4
DEUXIEME AVIS D’APPEL D’OFFRES NATIONAL OUVERT AVEC EXIGENCE DE CAPACITES MINIMALES APRES IFRUCTIOSITE N° 22/2025
الزبون: DIRECTION DE L’URBANISME, DE L’ARCHITECTURE ET DE LA CONSTRUCTION DE LA WILAYA DE GUELMA
النوع: DEUXIEME AVIS D’APPEL D’OFFRES NATIONAL OUVERT AVEC EXIGENCE DE CAPACITES MINIMALES APRES IFRUCTIOSITE N° 22/2025
موضوع: la réalisation des Travaux: Lot N° 02 : Trottoirs Site : Cité DNC (Partie Inferieur) Commune : Guelma
عدد الصفحات: 1/4
اعلان عن المنح المؤقت/
الزبون: بلدية سطيف ولاية سطيف
النوع: اعلان عن المنح المؤقت/
موضوع: تهيئة وتعبيد حي كانغاز SNTR امام متوسطة كاتب ياسين
عدد الصفحات: 1/4
AVIS D’APPEL D’OFFRES NATIONAL OUVERT 2025 / 23 AVEC EX
الزبون: DIRECTION DE L’URBANISME, DE L’ARCHITECTURE ET DE LA CONSTRUCTION DE LA WILAYA DE GUELMA
النوع: AVIS D’APPEL D’OFFRES NATIONAL OUVERT 2025 / 23 AVEC EX
موضوع: Lot N°05: Etude POS N° 03 Hdjar Mengoub commune : BELKHEIR Superficie : 1929100 M2 Lot N°06: Etude …
عدد الصفحات: 1/2
avis d'appel d'offres national ouvert avec exigence de capacites minimales n 2025/109
الزبون: direction de l'urbanisme de l'architecture et de la construction wilaya de constantine
النوع: avis d'appel d'offres national ouvert avec exigence de capacites minimales n 2025/109
موضوع: realisation des travaux de VRD de la zone AIN SMARA en site séparés
عدد الصفحات: 1/2
AVIS D'APPEL D'OFFRES OUVERT N 2025/7
الزبون: COMMUNE DE BIR HADADDA WILAYA DE SETIF
النوع: AVIS D'APPEL D'OFFRES OUVERT N 2025/7
موضوع: LOUER DES BUS SCOLAIRES POUR L'ANNEE 2026
عدد الصفحات: 1/2
avis d'appel d'offres ouvert avec exigence de capacites minimales
الزبون: commune d'ouled rahmoun wilaya de constantine
النوع: avis d'appel d'offres ouvert avec exigence de capacites minimales
موضوع: achevement travaux de realisation d'une ecole primaire cite boyarroudj mohamed oueld rahmoun centre
عدد الصفحات: 1/2
الأحد 09 نوفمبر 2025
اعلان عن طلب العروض وطني مفتوح مع اشتراط قدرات دنيا
الزبون: مديرية الاشغال العمومية لولاية جيجل
النوع: اعلان عن طلب العروض وطني مفتوح مع اشتراط قدرات دنيا
موضوع: معالجة الانزلاقات على الطريق الولائي رقم 135 بين الشقفة، برج الطهر …
عدد الصفحات: 1/2
اعلان عن عدم جدوى طلب عروض وطني مفتوح مع اشتراط قدرات دنيا رقم 2025/02
الزبون: المؤسسة الاستشفائية المتخصصة في طب النساء ، التوليد وطب الاطفال مستشفى البوني -عنابة-
النوع: اعلان عن عدم جدوى طلب عروض وطني مفتوح مع اشتراط قدرات دنيا رقم 2025/02
موضوع: اقتناء وتركيب وتشغيل تجهيزات طبية لفائدة المؤسسة الاستشفائية …
عدد الصفحات: 1/4
AVIS D'ATTRIBUTION PROVISOIRE DES MARCHESE
الزبون: AADL GEST IMMO
النوع: AVIS D'ATTRIBUTION PROVISOIRE DES MARCHESE
موضوع: realisation des travaux de refection d'étanchéité des trente 30 terrasses inaccessibles des immeubles des site AADL …
عدد الصفحات: 1/2
AVIS D’ATTRIBUTION PROVISOIRE N° 92/2025
الزبون: Direction des Equipements Publics de la Wilaya de Blida
النوع: AVIS D’ATTRIBUTION PROVISOIRE N° 92/2025
موضوع: le projet du Marché relatif la Réalisation d’une piscine au profit de la sûreté nationale …
عدد الصفحات: 1/4
AVIS D'ATTRIBUTION PROVISOIRE DU L'APPEL D'OFFRE OUVERT N 2025/200
الزبون: DIRECTION DE L'ADMINISTRATION LOCALE DE LA WILAYA DE TAMANRASSETN
النوع: AVIS D'ATTRIBUTION PROVISOIRE DU L'APPEL D'OFFRE OUVERT N 2025/200
موضوع: EQUIPEMENT POUR CLIBATORIUM 100 LITS A IN SALAH
عدد الصفحات: 1/4
إعذار رقم 02
الزبون: مديرية الصحة والسكان ولاية بسكرة
النوع: إعذار رقم 02
موضوع: دراسة، متابعة وتهيئة ثلاث عيادات متعددة الخدمات (بسكرة ، اورلال …
عدد الصفحات: 1/4
إعلان عن إلغاء المنح المؤقت الثاني للصفقة
الزبون: بلدية القصبة ولاية الجزائر
النوع: إعلان عن إلغاء المنح المؤقت الثاني للصفقة
موضوع: اشغال وتهيئة وانجاز حائط سند على مستوى النصر بين الدرج نهج محمد …
عدد الصفحات: 1/4
AVIS D’APPEL D’OFFRES NATIONAL OUVERT AVEC EXIGENCE DE CAPACITES MINIMALES N° 89 /25
الزبون: De la de WILAYA DE TIMIMOUNIMOUN DIRECTION DES EQUIPEMENTS PUBLICS
النوع: AVIS D’APPEL D’OFFRES NATIONAL OUVERT AVEC EXIGENCE DE CAPACITES MINIMALES N° 89 /25
موضوع: REALISATION D’UN LYCEE 800/200 R A TAGHOUZI COMMUNE DE TALMINE
عدد الصفحات: 1/2
AVIS D'ATTRIBUTION PROVISOIRE DE LA CONVENTION
الزبون: DIRECTION DE LA SANTE ET DE LA POPULATION WILAYA DE KHENCHELAA
النوع: AVIS D'ATTRIBUTION PROVISOIRE DE LA CONVENTION
موضوع: AQUISITION DES EQUIPEMENTS D'HEMODIALYSES
عدد الصفحات: 1/4
AVIS D’APPEL D’OFFRES OUVERT AVEC EXIGENCES DE CAPACITES MINIMALES
الزبون: WILAYA DE DJELFA DIRECTION DES EQUIPEMENTS PUBLICS.
النوع: AVIS D’APPEL D’OFFRES OUVERT AVEC EXIGENCES DE CAPACITES MINIMALES
موضوع: réalisation d’un CEM Base 7/200 à Hai El Foseha Djelfa
عدد الصفحات: 1/2
AVIS D’ATTRIBUTION PROVISOIRE
الزبون: Direction de l’Urbanisme, de l’architecture et de la Construction de la Wilaya de Bouira
النوع: AVIS D’ATTRIBUTION PROVISOIRE
موضوع: aménagement urbain à travers la wilaya que suite à l’évaluation des offres techniques et financières
عدد الصفحات: 1/4
AVIS D’APPEL D’OFFRE OUVERT AVEC EXIGENCE DE CAPACITES MINIMALES N° 10 / 2025
الزبون: COMMUNE D’AIN MAABED WILAYA DE DJELFA
النوع: AVIS D’APPEL D’OFFRE OUVERT AVEC EXIGENCE DE CAPACITES MINIMALES N° 10 / 2025
موضوع: ACQUISITION D'UN CAMION hydro-cureur
عدد الصفحات: 1/4
الخميس 06 نوفمبر 2025
AVIS D'ATTRIBUTION PROVISOIRE DE MARCHE N 166 /2025
الزبون: DIRECTION DES EQUIPEMENTS PUBLICS DE LA WILAYA DE DJELFA
النوع: AVIS D'ATTRIBUTION PROVISOIRE DE MARCHE N 166 /2025
موضوع: la réalisation d’une polyclinique à AMOURA Wilaya de Djelfa
عدد الصفحات: 1/4
AVIS D'ATTRIBUTION PROVISOIRE DE MARCHE N 162 /2025
الزبون: DIRECTION DES EQUIPEMENTS PUBLICS DE LA WILAYA DE DJELFA
النوع: AVIS D'ATTRIBUTION PROVISOIRE DE MARCHE N 162 /2025
موضوع: la réalisation d’un CEM B06 /200 repas en remplacement de Zerkaoui Ghanem à Hassi Fdoul Commune Hassi …
عدد الصفحات: 1/4
Avisd’appel d’offres national ouvert N° :06/2025
الزبون: WILAYA SETIF DAIRA HAMMAM GUERGOUR COMMUNE DRAAKEBILA
النوع: Avisd’appel d’offres national ouvert N° :06/2025
موضوع: garantir le transport scolaire à travers le territoire de la commune de draa kebila pour l’année 2026
عدد الصفحات: 1/4
APPEL D'OFFRES NATIONAL OUVERT AVEC EXIGENCES DE CAPACITES MINIMALES N 2025/100
الزبون: UNIVERSITE DES SCIENCES ET DE LA TECHNOLOGIE HOUARI BOUMEDIENEN
النوع: APPEL D'OFFRES NATIONAL OUVERT AVEC EXIGENCES DE CAPACITES MINIMALES N 2025/100
موضوع: ACQUISITION D'EQUIPEMENTS POUR LES TRAVAUX PRATIQUES POUR L'ECOLES DES SYSTEMES AUTONOME A SIDI ABDELLAH
عدد الصفحات: 1/4
AVIS D'APPEL D'OFFRES NATIONAL OUVERT AVEC EXIGENCE DE CAPACITES MINIMALES N 2025/01O
الزبون: DIRECTION DES OEUVRES UNIVERSITAIRES D'ALGER CENTREE
النوع: AVIS D'APPEL D'OFFRES NATIONAL OUVERT AVEC EXIGENCE DE CAPACITES MINIMALES N 2025/01O
موضوع: la conclusion des marché relatifs au transport des étudiants en mode urbain et sud urbain durant l'année 2026
عدد الصفحات: 1/2
إعلان عن طلب عروض وطني مفتوح مع اشتراط قدرات دنيا رقم 2025/02
الزبون: المندوبية الوطنية للأمن في الطرق
النوع: إعلان عن طلب عروض وطني مفتوح مع اشتراط قدرات دنيا رقم 2025/02
موضوع: اقتناء منصات برمجية وأجهزة ثابتة ومحمولة لتشغيل نظام رخصة …
عدد الصفحات: 1/2
الإعلان عن طلب عروض وطني مفتوح مع اشتراط قدرات دنيا رقم 2025/23
الزبون: مديرية التعمير والهندسة المعمارية والبناء لولاية أدرار
النوع: الإعلان عن طلب عروض وطني مفتوح مع اشتراط قدرات دنيا رقم 2025/23
موضوع: انجاز تكملة اشغال التهيئة لمنطقة النشاطات بأدرار
عدد الصفحات: 1/2
إعلان عن طلب عروض وطني مفتوح رقم 2025/43
الزبون: المديرية العامة للأمن الوطني
النوع: إعلان عن طلب عروض وطني مفتوح رقم 2025/43
موضوع: اقتناء تجهيزات المطبخ
عدد الصفحات: 1/2
إعلان عن طلب عروض وطني مفتوح مع اشتراط قدرات دنيا رقم 2025/61
الزبون: وزارة السكن والعمران والمدينة
النوع: إعلان عن طلب عروض وطني مفتوح مع اشتراط قدرات دنيا رقم 2025/61
موضوع: انجاز متوسطة نوع 300/6 وجبة علي منجلي الوحدة الجوارية رقم 10
عدد الصفحات: 1/2
الأربعاء 05 نوفمبر 2025
إعلان عن طلب عروض وطني مفتوح مع اشتراط قدرات دنيا رقم 2025/09
الزبون: بلدية الظهرة ولاية الشلف
النوع: إعلان عن طلب عروض وطني مفتوح مع اشتراط قدرات دنيا رقم 2025/09
موضوع: صيانة وتزفيت طريق الشعايبية على مسافة 800 م بلدية الظهرة -الشطر 01-
عدد الصفحات: 1/2
اعلان عن طلب عروض مفتوح مع اشتراط قدرات دنيا رقم 2025/11 للمرة الثالثة
الزبون: مديرية الادارة المحلية ولاية الجلفة
النوع: اعلان عن طلب عروض مفتوح مع اشتراط قدرات دنيا رقم 2025/11 للمرة الثالثة
موضوع: انجاز مركز عقاري ما بين البلديات بالادريسية مع 02 سكنين الزاميين - …
عدد الصفحات: 1/4
avis d'appel d'offres national ouvert avec exigence de capacites minimales n 13/2025 pour la deuxieme foiss
الزبون:
النوع: avis d'appel d'offres national ouvert avec exigence de capacites minimales n 13/2025 pour la deuxieme foiss
موضوع: entretien des chemins de wilaya budget supplémentaire exercice 2025
عدد الصفحات: 1/4
مسابقة وطنية محدودة في الهندسة المعمارية قسط ثابت وقسط اشتراطي للمرة الثانية
الزبون: مديرية الشباب والرياضة لولاية ان قزام
النوع: مسابقة وطنية محدودة في الهندسة المعمارية قسط ثابت وقسط اشتراطي للمرة الثانية
موضوع: دراسة ومتابعة لانجاز قاعة متعددة الرياضات 500 مقعد بان قزام
عدد الصفحات: 1/4
.إعلان عن مسابقة وطنية محدودة في الهندسة المعمارية
الزبون: ديوان الترقية والتسيير العقاري لولاية الاغواط
النوع: .إعلان عن مسابقة وطنية محدودة في الهندسة المعمارية
موضوع: دراسة ومتابعة انجاز 2000/600 مسكن عمومي ايجاري بالاغواط على 09 حصص …
عدد الصفحات: 1/2
طلب العروض المفتوح مع اشتراط قدرات دنيا رقم 2025/28
الزبون: مديرية الشباب والرياضة لولاية باتنة
النوع: طلب العروض المفتوح مع اشتراط قدرات دنيا رقم 2025/28
موضوع: اعادة التغطية بالعشب الاصطناعي وتهيئة ملعب كرة القدم بتيمقاد
عدد الصفحات: 1/2
إعلان عن طلب عروض وطني مفتوح مع اشتراط قدرات دنيا رقم 2025/07
الزبون: بلدية ترعي باينان ولاية ميلة
النوع: إعلان عن طلب عروض وطني مفتوح مع اشتراط قدرات دنيا رقم 2025/07
موضوع: تموين المطاعم المدرسية بالمواد الغذائية
عدد الصفحات: 1/4
اعلان عن طلب عرض مفتوح مع اشتراط قدرات دنيا رقم 2025/27
الزبون: مديرية الري لولاية أم البواقي
النوع: اعلان عن طلب عرض مفتوح مع اشتراط قدرات دنيا رقم 2025/27
موضوع: انجاز وتجديد شبكة التطهير عبر مدن أم البواقي وعين البيضاء
عدد الصفحات: 1/2
اعلان عن طلب عروض وطني مفتوح مع اشتراط قدرات دنيا رقم 2025/03
الزبون: مديرية التكوين والتعليم المهنيين لولاية سكيكدة
النوع: اعلان عن طلب عروض وطني مفتوح مع اشتراط قدرات دنيا رقم 2025/03
موضوع: اقتناء وتجهيز العتاد المدرسي المصالح المشتركة لمركزي التكوين …
عدد الصفحات: 1/2
الثلاثاء 04 نوفمبر 2025
اعلان عن منح مؤقت رقم 2025/88
الزبون: مديرية التجهيزات العمومية لولاية البليدة
النوع: اعلان عن منح مؤقت رقم 2025/88
موضوع: انجاز مدرسة ابتدائية نوع 02 رقم 01 على مستوى موقع 5340 مسكن ايجاري …
عدد الصفحات: 1/4
AVIS D'ATTRIBUTION PROVISOIRE N 40/07/20255
الزبون: DIRECTION DE L'HYDROLIQUE BISKRAE
النوع: AVIS D'ATTRIBUTION PROVISOIRE N 40/07/20255
موضوع: renforcement de l'alimentation en eau a partir des eaux souterraines pour l'irrigation de la palmerale au niveau de la …
عدد الصفحات: 1/4
إعللان عن منح مؤقت لصفقة
الزبون: مديرية التجهيزات العمومية لولاية عين الدفلى
النوع: إعللان عن منح مؤقت لصفقة
موضوع: تهيئة واعادة الاعتبار لمؤسسات التعليم المتوسط بما فيها التدفئة …
عدد الصفحات: 1/4
إعلان عن طلب عروض وطني مفتوح رقم 2024/06 الحصة رقم 03 نشر ثاني
الزبون: المديرية العامة للأمن الوطني
النوع: إعلان عن طلب عروض وطني مفتوح رقم 2024/06 الحصة رقم 03 نشر ثاني
موضوع: اقتناء قطع غيار لمجموعة ميكانيكية مختلفة ولواحق مختلفة لسيارات …
عدد الصفحات: 1/2
إعلان عن طلب عروض وطني مفتوح مع اشتراط قدرات دنيا رقم 2025/11
الزبون: الوكالة الوطنية لتحسين السكن وتطويره عدل للتسيير العقاري
النوع: إعلان عن طلب عروض وطني مفتوح مع اشتراط قدرات دنيا رقم 2025/11
موضوع: اشغال إزالة وتوريد وتركيب وتشغيل ثماني وعشرين مصعد لاحياء عدل …
عدد الصفحات: 1/2
اعلان عن طلب عروض وطني مفتوح مع اشتراط قدرات دنيا بعد الفسخ رقم 2025/10
الزبون: بلدية ابن ناصر ولاية توقرت
النوع: اعلان عن طلب عروض وطني مفتوح مع اشتراط قدرات دنيا بعد الفسخ رقم 2025/10
موضوع: توسيع شبكة الصرف الصحي بحي 20 أوت 1956 على مسافة 01 كلم
عدد الصفحات: 1/4
اعلان عن طلب عروض وطني مفتوح مع اشتراط قدرات دنيا من اجل ابرام صفقات طلبيات متعلقة بنقل الطلبة خلال سنة 2026
الزبون: مديرية الخدمات الجامعية بورقلة
النوع: اعلان عن طلب عروض وطني مفتوح مع اشتراط قدرات دنيا من اجل ابرام صفقات طلبيات متعلقة بنقل الطلبة خلال سنة 2026
موضوع: نقل الطلبة خلال سنة 2026
عدد الصفحات: 1/2
إعذاار رقم 01..
الزبون: مديرية الاشغال العمومية لولاية قسنطينة
النوع: إعذاار رقم 01..
موضوع: مراقبة أشغال تدعيم المقاطع الثلاثة جدار الاسناد رقم 05، منشأة 1، …
عدد الصفحات: 1/4
إعلان عن طلب عروض مفتوح مع اشتراط قدرات دنيا رقم 2025/14
الزبون: مديرية التربية لولاية أم البواقي
النوع: إعلان عن طلب عروض مفتوح مع اشتراط قدرات دنيا رقم 2025/14
موضوع: realisation et équipement d'un collége type B7/300R A ain m'lila POS9
عدد الصفحات: 1/2
طلب عروض مفتوح مع اشتراط قدرات دنيا رقم 2025/05
الزبون: بلدية تازولت ولاية باتنة
النوع: طلب عروض مفتوح مع اشتراط قدرات دنيا رقم 2025/05
موضوع: التهيئة العمرانية لمختلف احياء بلدية تازولت
عدد الصفحات: 1/4
الإثنين 03 نوفمبر 2025
..mise en demeure n°01
الزبون: direction des equipements publics wilaya de bordj bouarreridjd
النوع: ..mise en demeure n°01
موضوع: realisation d'un collége type 300/06 a la commune de khelif
عدد الصفحات: 1/4
AVIS D'INFRUCTUOSITE N°73/20255
الزبون: direction du logement de djelfaa
النوع: AVIS D'INFRUCTUOSITE N°73/20255
موضوع: realisation 4000/100 (f3) logements publics locatifs (en TCE) y compris aménagements extérieurs et VRD a djelfa
عدد الصفحات: 1/4
دعوة (المرحلة الثانية)
الزبون: ديوان الترقية والتسيير العقاري الاغواط
النوع: دعوة (المرحلة الثانية)
موضوع: دراسة ومتابعة 350 سكن عمومي إيجاري ببلدية افلو (اعلان ثالث بعد …
عدد الصفحات: 1/2
AVIS D'ATTRIBUTION PROVISOIRE DE MARCHE
الزبون: ETABLISSEMENT PUBLIC HOSPITALIER DE M'SILAT
النوع: AVIS D'ATTRIBUTION PROVISOIRE DE MARCHE
موضوع: L'approvisionnement d'acquisition et maintentence matériel médical accessoires et outillage medico- chirugical durant …
عدد الصفحات: 1/4
APPEL D'OFFRES OUVERT AVEC EXIGENCE DE CAPACITES MINIMALESB
الزبون: DIRECTION DE L'HYDRAULIQUE DE LA WILAYA DE BATNA
النوع: APPEL D'OFFRES OUVERT AVEC EXIGENCE DE CAPACITES MINIMALESB
موضوع: REALISATION DES RESERVOIR AVEC RACCORDEMENT AUX RESEAUX A TRAVERS LES COMMUNES DE LA WILAYA DE BATNA
عدد الصفحات: 1
AVIS D'ATTRIBUTION PROVISOIRE RELATIF A L'APPEL D'OFFRE OUVERT AVEC EXIGENCE DE CAPACITES MINIMALES N °2025/04I
الزبون: conservation des forets
النوع: AVIS D'ATTRIBUTION PROVISOIRE RELATIF A L'APPEL D'OFFRE OUVERT AVEC EXIGENCE DE CAPACITES MINIMALES N °2025/04I
موضوع: realisation de forege
عدد الصفحات: 1/4
اعلان عن طلب العروض المفتوح مع اشتراط قدرات دنيا رقم 2025/02 بعد الغاء الاجراء
الزبون: بلدية مرسط ولاية تبسة
النوع: اعلان عن طلب العروض المفتوح مع اشتراط قدرات دنيا رقم 2025/02 بعد الغاء الاجراء
موضوع: اعادة الاعتبار للمسلك الرابط بين الطريشة واولاد مهنية مرورا …
عدد الصفحات: 1/4
طلب العروض الوطني المفتوح رقم 2025/41
الزبون: ديوان الترقية والتسيير العقاري ولاية سكيكدة
النوع: طلب العروض الوطني المفتوح رقم 2025/41
موضوع: انجاز أشغال الأعمدة الصاعدة للغاز عبر ولاية سكيكدة
عدد الصفحات: 1/2
إعلان عن المنح المؤقت للصفقة..
الزبون: مديرية التجهيزات العمومية لولاية سكيكدة
النوع: إعلان عن المنح المؤقت للصفقة..
موضوع: انجاز 06 اقسام توسعة بمتوسطة العلمي خنوسي ببكوش لخضر بكل هياكل …
عدد الصفحات: 1/4
الأحد 02 نوفمبر 2025
Avis d’appel d’offres national ouvert avec exigence de capacités minimales N° 033/DG/OPGI / DDPIF / 2025
الزبون: office de promotion et de gestion immobiliere de bouira
النوع: Avis d’appel d’offres national ouvert avec exigence de capacités minimales N° 033/DG/OPGI / DDPIF / 2025
موضوع: projet 10 logements promotionnels libres
عدد الصفحات: 3/4
AVIS D’APPEL D’OFFRE NATIONAL OUVERT N° : ….. /2025
الزبون: DIRECTION DE L’ADMINISTRATION LOCALE WILAYA DE TAMENRASSETT
النوع: AVIS D’APPEL D’OFFRE NATIONAL OUVERT N° : ….. /2025
موضوع: Acquisition des javelisateurs vertical au profit des communes
عدد الصفحات: 1/4
relance suite a une declaration d'infuctuosité d'un avis d'appel d'offres national ouvert avec exigences de capacites minimales n 2025/122
الزبون: commune de dar el beida wilaya d'alger
النوع: relance suite a une declaration d'infuctuosité d'un avis d'appel d'offres national ouvert avec exigences de capacites minimales n 2025/122
موضوع: La realisation des travaux d'aménagement d'un espace vert aire de jeux
عدد الصفحات: 1/4
إعذار رقم "1"
الزبون: جامعة الجزائر 03
النوع: إعذار رقم "1"
موضوع: توريد وتركيب أجهزة الكمبيوتر والسمعي البصري للأقسام البيداغوجية
عدد الصفحات: 1/4
إعلان عن منح مؤقت لثاني طلب عروض وطني مفتوح مع اشتراط قدرات دنيا رقم 2025/85
الزبون: مديرية التجهيزات العمومية لولاية بسكرة
النوع: إعلان عن منح مؤقت لثاني طلب عروض وطني مفتوح مع اشتراط قدرات دنيا رقم 2025/85
موضوع: انجاز متوسطة نمط 06 على مستوى موقع 1352 سكن ترقوي مدعم ، العالية، …
عدد الصفحات: 1/4
إعلان عن طلب عروض وطني مفتوح مع اشتراط قدرات دنيا لدفتر الشروط رقم 2025/10
الزبون: جامعة قسنطينة الاخوة منتوري
النوع: إعلان عن طلب عروض وطني مفتوح مع اشتراط قدرات دنيا لدفتر الشروط رقم 2025/10
موضوع: انجاز أشغال المساكة لعمارة قطب البحث شعاب الرصاص لصالح جامعة …
عدد الصفحات: 1/2
إعلان عن المنح المؤقت..-
الزبون: مديرية التجهيزات العمومية لولاية ورقلة
النوع: إعلان عن المنح المؤقت..-
موضوع: متابعة انجاز متوسطة نوع 300/07 وجبة بالرويسات القسط الثابت : الأقسام …
عدد الصفحات: 1/4
إعلان عن عدم الجدوى
الزبون: المديرية الجهوية ورقلة
النوع: إعلان عن عدم الجدوى
موضوع: انجاز اشغال 600 مسكن بصيغة البيع بالايجار فردي (طابق ارضي سطح …
عدد الصفحات: 1/4
إعلان عن منح مؤقت للصفقة..
الزبون: المديرية الجهوية بورقلة
النوع: إعلان عن منح مؤقت للصفقة..
موضوع: أشغال إنجاز 160 مسكن بصيغة البيع بالايجار فردي (طابق سطح) بجميع …
عدد الصفحات: 1/4
إعلان عن منح مؤقت*
الزبون: بلدية الزاوية العابدية ولاية توقرت
النوع: إعلان عن منح مؤقت*
موضوع: انجاز 20 محلات تجارية محلات خدماتية سكنات وظيفية (ش2) في حصص
عدد الصفحات: 1/4
الخميس 30 أكتوبر 2025
avis d'appel d'offre national ouvert avec exigence des capacites minimales n03/20255
الزبون: commune de melaab wilaya de tissemsilt
النوع: avis d'appel d'offre national ouvert avec exigence des capacites minimales n03/20255
موضوع: realisation des 07 kiosques commerciaux melaab centre
عدد الصفحات: 1/2
إعلان تصحيحي عن المنح المؤقت تبعا لطلب العروض الوطني المفتوح مع اشتراط قدرات دنيا رقم 2025/03
الزبون: المؤسسة العمومية الاستشفائية الشلف الاختان باج
النوع: إعلان تصحيحي عن المنح المؤقت تبعا لطلب العروض الوطني المفتوح مع اشتراط قدرات دنيا رقم 2025/03
موضوع: تنفيذ خدمات صيانة التجهيزات الطبية خلال سنة 2025
عدد الصفحات: 1/4
إعلان عن طلب عروض وطني مفتوح مع اشتراط قدرات الدنيا رقم 2025/03
الزبون: المديرية العامة للأمن الوطني
النوع: إعلان عن طلب عروض وطني مفتوح مع اشتراط قدرات الدنيا رقم 2025/03
موضوع: انجاز، اشغال صيانة وتصليح التدفئة المركزية لمصالح الأمن الوطني …
عدد الصفحات: 1/2
.إعذار رقم 01.
الزبون: مديرية الاشغال العمومية لولاية أم البواقي
النوع: .إعذار رقم 01.
موضوع: متابعة، مراقبة، صيانة واعادة الاعتبار للطرق الولائية
عدد الصفحات: 1/4
إعلان عن طلب العروض المفتوح رقم 2025/03
الزبون: بلدية الحمادية ولاية برج بوعريريج
النوع: إعلان عن طلب العروض المفتوح رقم 2025/03
موضوع: تزويد البلدية بمختلف اللوازم والحاجات لسنة 2025
عدد الصفحات: 1/4
إعلان عن طلب عروض مفتوح مع اشتراط قدرات دنيا رقم 2025/08
الزبون: محافظة الغابات ولاية جيجل
النوع: إعلان عن طلب عروض مفتوح مع اشتراط قدرات دنيا رقم 2025/08
موضوع: اعادة التشجير على مساحة 120 هكتار - برنامج 2025-
عدد الصفحات: 1/2
الإعلان عن المنح المؤقت .
الزبون: مديرية التجهيزات العمومية ولاية تبسة
النوع: الإعلان عن المنح المؤقت .
موضوع: انجاز متوسطة نمط 300/7 وجبة ببلدية الشريعة
عدد الصفحات: 1/4
AVIS D'APPEL D'OFFRES OUVERT AVEC EXIGENCE DE CAPACITES MINIMALES N 2025/05
الزبون: COMMUNE D'EL KOUIF WILAYA DE TEBESSAA
النوع: AVIS D'APPEL D'OFFRES OUVERT AVEC EXIGENCE DE CAPACITES MINIMALES N 2025/05
موضوع: ALIMENTATION SCOLAIRES POUR L'ANNEE 2026
عدد الصفحات: 1/4
MISE EN DEMEURE N°01
الزبون: DIRECTION DE L’URBANISME DE L’ARCHITECTURE ET DE LA CONSTRUCTION WILAYA DE SKIKDA
النوع: MISE EN DEMEURE N°01
موضوع: démarrage des travaux de VRD Primaires et secondaires des sites: site 03: 50 Logements LPL commune Bekkouche …
عدد الصفحات: 1/4
AVIS D’ATTRIBUTION PROVISOIRE DE L'APPEL D'OFFRES NATIONAL OUVERT POUR LA DEUXIEME FOIS AVEC EXIGENCE DE CAPACITÉS MINIMALES N° 27/2025
الزبون: office-de-promotion-de-gestion-immobilire-guelma
النوع: AVIS D’ATTRIBUTION PROVISOIRE DE L'APPEL D'OFFRES NATIONAL OUVERT POUR LA DEUXIEME FOIS AVEC EXIGENCE DE CAPACITÉS MINIMALES N° 27/2025
موضوع: LA REALISATION DES 106/225/500 LOGEMENT PUBLICS LOCATIFS AVEC VRD LOCAUX COMMERCIAUX 1ére TRANCHE PROGRAMME 2024 …
عدد الصفحات: 1/4
الأربعاء 29 أكتوبر 2025
إعلان للمرة الثانية عن طلب عروض وطني مفتوح مع اشتراط قدرات دنيا رقم 2025/70
الزبون: مديرية السكن لولاية الجلفة
النوع: إعلان للمرة الثانية عن طلب عروض وطني مفتوح مع اشتراط قدرات دنيا رقم 2025/70
موضوع: انجاز 4000/240 مسكن عمومي إيجاري (كل هياكل الدولة) مع التهيئة …
عدد الصفحات: 3/4
اعذار رقم01
الزبون: مديرية المصالح الفلاحية لولاية تيسمسيلت
النوع: اعذار رقم01
موضوع: انطلاق تكملة الاشغال في اجال لا تتعدى 72 ساعة مع تدعيم الورشة …
عدد الصفحات: 1/4
اعلان عن طلب عروض مفتوح مع اشراط قدرات دنيا رقم 2025/15
الزبون: بلدية مقرة ولاية مسيلة
النوع: اعلان عن طلب عروض مفتوح مع اشراط قدرات دنيا رقم 2025/15
موضوع: توسيع شبكتي المياه الصالحة للشرب والصرف الصحي بمقرة
عدد الصفحات: 1/4
إعلان عن منح مؤقت للصفقة.
الزبون: المديرية الجهوية لـ
النوع: إعلان عن منح مؤقت للصفقة.
موضوع: إنجاز 650/136 مسكن (الموقع رقم 04) بصيغة البيع بالايجار بجميع هياكل …
عدد الصفحات: 1/4
إإعلان عن المنح المؤقت.
الزبون: مديرية التجهيزات العمومية لولاية ورقلة
النوع: إإعلان عن المنح المؤقت.
موضوع: انجاز متوسطة نوع 300/60 وجبة بأفران القسط الثابت: الاقسام الادارة …
عدد الصفحات: 1/4
طلب عروض وطني مفتوح مع اشتراط قدرات دنيا رقم 10/ ش.ذ.أ/ فرع عدل ت ع ع / 2025
الزبون: عدل للتسيير العقاري
النوع: طلب عروض وطني مفتوح مع اشتراط قدرات دنيا رقم 10/ ش.ذ.أ/ فرع عدل ت ع ع / 2025
موضوع: تنفيذ خدمات صيانة 134 مصعد لأحياء عدل للفرع الجهوي عنابة موزعة عبر …
عدد الصفحات: 1/2
إعلان ثاني عن طلب عروض مفتوح مع اشتراط قدرات دنيا رقم 2025/05
الزبون: ولاية باتنة
النوع: إعلان ثاني عن طلب عروض مفتوح مع اشتراط قدرات دنيا رقم 2025/05
موضوع: إعادة الاعتبار للحدائق العمومية ومحاور الدوران ببلدية باتنة
عدد الصفحات: 3/4
إعلان عن طلب عروض مفتوح مع اشتراط قدرات دنيا رقم 2025/07
الزبون: بلدية سوق نعمان ولاية أم البواقي
النوع: إعلان عن طلب عروض مفتوح مع اشتراط قدرات دنيا رقم 2025/07
موضوع: تدعيم مركز سوق نعمان بالمياه الصالحة للشرب انطلاقا من النقب …
عدد الصفحات: 1/4
الثلاثاء 28 أكتوبر 2025
إعلان عن إلغاء الإجراء
الزبون: بلدية العاشور ولاية الجزائر
النوع: إعلان عن إلغاء الإجراء
موضوع: صفقة التهيئة الخارجية للمجمعين المدرسيين 01 و02 السبالة
عدد الصفحات: 1/4
إعذار رقم 1
الزبون: مديرية الاشغال العمومية لولاية الجلفة
النوع: إعذار رقم 1
موضوع: اشغال الخرسانة الزفتية بمشروع تعبييد وصيانة الطريق البلدي رقم 04 …
عدد الصفحات: 1/4
AVIS D'ATTRIBUTION PROVISOIRE DU MARCHE
الزبون: DIRECTION REGIONALE D'ALGER EST AADL
النوع: AVIS D'ATTRIBUTION PROVISOIRE DU MARCHE
موضوع: realisation des 800 logements en TCE avec locaux a usage commercial et professionnel et conciergeries y compris les …
عدد الصفحات: 1/4
AVIS D'ANNULATION DE L'ATTRIBUTION PROVISOIRE D'UN MARCHE
الزبون: COMMUNE DE DJELFA WILAYA DE DJELFA
النوع: AVIS D'ANNULATION DE L'ATTRIBUTION PROVISOIRE D'UN MARCHE
موضوع: realisation salle de soins avec deux logements fonctionnelles a cité fosha
عدد الصفحات: 1/4
إعلان عن طلب عروض وطني مفتوح مع اشتراط قدرات دنيا رقم 09/ م.و.ط.ب/2025
الزبون: المعهد الوطني للطب البيطري
النوع: إعلان عن طلب عروض وطني مفتوح مع اشتراط قدرات دنيا رقم 09/ م.و.ط.ب/2025
موضوع: اقتناء لقاح ضد مرض الحمى القلاعية ثلاثي التكافؤ A-O-SAT2
عدد الصفحات: 1/4
إعلان عن طلب عروض وطني مفتوح مع اشتراط قدرات دنيا رقم 36/2025
الزبون: المديرية العامة للأمن الوطني
النوع: إعلان عن طلب عروض وطني مفتوح مع اشتراط قدرات دنيا رقم 36/2025
موضوع: اقتناء وتركيب ثلاث محطات لإنتاج الاكسجين لفئدة المؤسسات …
عدد الصفحات: 1/2
إعذار رقم1
الزبون: بلدية الدار البيضاء ولاية الجزائر
النوع: إعذار رقم1
موضوع: اشغال تجديد شبكة الطرق والارصفة مقسمة الى تسعة حصص
عدد الصفحات: 1/4
إعذار رقم1.
الزبون: بلدية الدار البيضاء ولاية الجزائر
النوع: إعذار رقم1.
موضوع: اشغال تجديد شبكة الطرق والارصفة مقسمة الى تسعة حصص
عدد الصفحات: 1/4
Annonce d'un appel d'offres national ouvert avec exigence de capacités minimales n2025/06d
الزبون: commune ain beida ahriche wilaya de milaa
النوع: Annonce d'un appel d'offres national ouvert avec exigence de capacités minimales n2025/06d
موضوع: le provisionnement des cantines scolaires par des produits alimentaires pour l'année 2026
عدد الصفحات: 1/4
AVIS D'APPEL D'OFFRES NATIONAL OUVERT AVEC EXIGENCE DE CAPACITES MINIMALES N 2025/100
الزبون: Direction de l'urbanisme de l'architecture et de la construction wilaya de constantine
النوع: AVIS D'APPEL D'OFFRES NATIONAL OUVERT AVEC EXIGENCE DE CAPACITES MINIMALES N 2025/100
موضوع: travaux de VRD primaire et secondaire de la voie d'acces aux 100 logements LPL serkina commune de constantine
عدد الصفحات: 3/4
الإثنين 27 أكتوبر 2025
Avis d'appel d'offres national ouvertavec exigence de capacites minimales n 27/ DMO/2025
الزبون: office de promotion et de gestion immobiliere de la wilaya de bejaiai
النوع: Avis d'appel d'offres national ouvertavec exigence de capacites minimales n 27/ DMO/2025
موضوع: 40LOGEMENT LPL A SEDDOUK
عدد الصفحات: 1/2
avis d'attribution provisoire l'infrectieusetee
الزبون: commune de magra wilaya de m'sila
النوع: avis d'attribution provisoire l'infrectieusetee
موضوع: réalisation et aménagement des routes de la commune de magra
عدد الصفحات: 1/4
AVIS DE CLOTURE
الزبون: OFFICE DE PROMOTION ET DE GESTION IMMOBILIERE DE BOUIRA
النوع: AVIS DE CLOTURE
موضوع: programme 2250 logements tranche une année 2010-2014
عدد الصفحات: 1/4
إعلان عن منح مؤقت مسابقة وطنية محدودة للهندسة المعمارية رقم 2025/03
الزبون: مديرية التجهيزات العمومية لولاية بني عباس
النوع: إعلان عن منح مؤقت مسابقة وطنية محدودة للهندسة المعمارية رقم 2025/03
موضوع: دراسة ومتابعة لإنجاز دار الثقافة ببني عباس
عدد الصفحات: 1/4
الإعلان عن طلب العروض المفتوح مع اشتراط قدرات دنيا رقم 2025/05
الزبون: بلدية حسناوة ولاية برج بوعريريج
النوع: الإعلان عن طلب العروض المفتوح مع اشتراط قدرات دنيا رقم 2025/05
موضوع: النقل المدرسي لسنة 2026
عدد الصفحات: 1/4
إعلان عن عدم جدوى طلب العروض الوطني المفتوح مع اشتراط قدرات دنيا رقم 301/ م ج ج غ/ عدل/2025
الزبون: المديرية الجهوية للجزائر غرب / الوكالة الوطنية لتحسين السكن وتطويره
النوع: إعلان عن عدم جدوى طلب العروض الوطني المفتوح مع اشتراط قدرات دنيا رقم 301/ م ج ج غ/ عدل/2025
موضوع: اتجاز 720/144 مسكن بكل مراحله مع محلات ذات طابع تجاري ومهني وسكنات …
عدد الصفحات: 1/4
AVIS D'APPEL D'OFFRES OUVERT AVEC EXIGENCE DE CAPACITES MINIMALES N°04/2025
الزبون: COMMUNE DE M'CHOUNECHE WILAYA DE BISKRAA
النوع: AVIS D'APPEL D'OFFRES OUVERT AVEC EXIGENCE DE CAPACITES MINIMALES N°04/2025
موضوع: 4 projet
عدد الصفحات: 1/4
إعلان عن المنح المؤقت....
الزبون: مديرية الأشغال العمومية لولاية باتنة
النوع: إعلان عن المنح المؤقت....
موضوع: صيانة الطرق البلدية (شطر 2021)
عدد الصفحات: 1/4
إعذار
الزبون: الوكالة الولائية للتسيير والتنظيم العقاري الحضري لولاية سكيكدة
النوع: إعذار
موضوع: مباشرة الاشغال ورفع وتيرة الانجاز وتدعيم الورشة بالوسائل …
عدد الصفحات: 1/4
إعلان عن منح مؤقت للصفقة
الزبون: المديرية الجهوية لـ "عدل" بورقلة
النوع: إعلان عن منح مؤقت للصفقة
موضوع: أشغال إنجاز 650/134 مسكن "الموقع رقم 03) بصيغة البيع بالايجاري بجميع …
عدد الصفحات: 1/4
إعلان عن عدم جدوى
الزبون: مديرية التجهيزات العمومية لولاية ورقلة
النوع: إعلان عن عدم جدوى
موضوع: إنجاز ابتدائية نوع 03 بحي الزاوية الرويسات الجزء الثابت : إنجاز …
عدد الصفحات: 1/4
إعلان عن تصويب طلب عروض وطني مفتوح مع إشتراط قدرات دنيا رقم 2025/13
الزبون: مديرية التعمير والهندسة المعمارية والبناء لولاية المغير
النوع: إعلان عن تصويب طلب عروض وطني مفتوح مع إشتراط قدرات دنيا رقم 2025/13
موضوع: تهيئة حي المجاهدين ببلدية المغير
عدد الصفحات: 1/4
الأحد 26 أكتوبر 2025
avis d'appel d'offres national ouvert avec exigece de capacites minimales n 11/2025
الزبون: direction de la sante et de la population wilaya de khenchela
النوع: avis d'appel d'offres national ouvert avec exigece de capacites minimales n 11/2025
موضوع: acquisition des équipements collectifs pour les 18 établissements publics hospitaliers ) de proximité )lot n01 : …
عدد الصفحات: 1/4
الإعذار الثاني رقم 16/م أ ع/ 2025
الزبون: مديرية الأشغال العمومية ولاية البويرة
النوع: الإعذار الثاني رقم 16/م أ ع/ 2025
موضوع: تدعيم الطريق الوطني رقم 25 من ن ك 08 300 الى ن ك 000 11 ومن ن ك 000 25 الى 38 000 …
عدد الصفحات: 1/4
إعذار رقم 01...
الزبون: مكتب متابعة الصفقات العمومية والبرامج التنموية لولاية تيسمسيلت
النوع: إعذار رقم 01...
موضوع: اقتناء شاحنة 01 كنس الطرقات 06 م3
عدد الصفحات: 1/4
إعلان عن جدوى ثلث اعلان عن طلب عروض مفتوح مع اشتراط قدرات دنيا رقم 2025/51
الزبون: ديوان الترقية والتسيير العقاري البليدة
النوع: إعلان عن جدوى ثلث اعلان عن طلب عروض مفتوح مع اشتراط قدرات دنيا رقم 2025/51
موضوع: انجاز اشغال كل هياكل الدولة 110/30 مسكن ترقوي مدعم يشمل محلات …
عدد الصفحات: 1/4
AVIS D'APPEL D'OFFRES NATIONAL OUVERT AVEC EXIGENCE DE CAPACITES MINIMALES N° 25 / 2025
الزبون: N DES EQUIPEMENTS PUBLICS DE LA WILAYA DE TAMANRASSET
النوع: AVIS D'APPEL D'OFFRES NATIONAL OUVERT AVEC EXIGENCE DE CAPACITES MINIMALES N° 25 / 2025
موضوع: la realisation d'un college b/7 300 rations a tabarkat commune de tamanrasset
عدد الصفحات: 1/4
AVIS ATTRIBUTION PROVISOIRE
الزبون: direction d
النوع: AVIS ATTRIBUTION PROVISOIRE
موضوع: ETUDE POUR LA REALISATION D'UN SIEGE DE DIRECTION DE L'EMPLOI DE SOUK AHRAS
عدد الصفحات: 1/4
إعذار رقم 01....
الزبون: مديرية المصالح التقنية لبلدية سطيف ولاية سطيف
النوع: إعذار رقم 01....
موضوع: انجاز توسعة لحضيرة البلدية
عدد الصفحات: 1/4
اعلان بيع رقم 02 عن طريق المزايدة لمحلات تجارية غير مهيأة بمشروع 110 مسكن ترقوي مدعم ANP بلدية قالمة
الزبون: ديوان الترقية والتسيير العقاري قالمة
النوع: اعلان بيع رقم 02 عن طريق المزايدة لمحلات تجارية غير مهيأة بمشروع 110 مسكن ترقوي مدعم ANP بلدية قالمة
موضوع: بيع عن طريق المزايدة وبكل ملكية لاربع عشر محل تجاري غير مهيأة …
عدد الصفحات: 1/2
deuxième avis après anulation d'appel d'offre national ouvert avec exigence de capacites minimale
الزبون: direction de l'hydraulique de wilaya de oum el bouaghi
النوع: deuxième avis après anulation d'appel d'offre national ouvert avec exigence de capacites minimale
موضوع: realisation et rénovation , équipement , raccordement des conduites refoulement et pompage de l'eau potable pour les …
عدد الصفحات: 1/2
AVIS D'APPEL D'OFFRE NATIONALE OUVERT AVEC EXIGENCE DE CAPACITES MINIMALES N30/2025
الزبون: DIRECTION DE L'URBANISME DE L44ARCHITECTURE ET DE LA CONSTRUCTION
النوع: AVIS D'APPEL D'OFFRE NATIONALE OUVERT AVEC EXIGENCE DE CAPACITES MINIMALES N30/2025
موضوع: aménagement des deux mini zone d'activité a travers la wilaya de jijel
عدد الصفحات: 1/2
الخميس 23 أكتوبر 2025
إعلان عن المنح المؤقت في إطار طلب العروض المفتوح مع إشتراط قدرات دنيا 2025/02
الزبون: المديرية العامة للأمن الوطني
النوع: إعلان عن المنح المؤقت في إطار طلب العروض المفتوح مع إشتراط قدرات دنيا 2025/02
موضوع: إقتناء مختلف أنواع العتاد لفائدة مصالح المديرية العامة للأمن …
عدد الصفحات: 1/4
AVIS D’APPEL D’OFFRES NATIONAL OUVERT AVEC EXIGENCE DE CAPACITÉS MINIMALES N°: 14 /2025
الزبون: WILAYA DE TISSEMSILT
النوع: AVIS D’APPEL D’OFFRES NATIONAL OUVERT AVEC EXIGENCE DE CAPACITÉS MINIMALES N°: 14 /2025
موضوع: Acquisition Des Camions hydro cureur.lot n°02: Acquisition De Trois (03) Camions hydro cureur 4000 …
عدد الصفحات: 1/2
الإعلان عن المنح المؤقت رقم 83
الزبون: ديوان الترقية والتسيير العقاري لولاية البليدة
النوع: الإعلان عن المنح المؤقت رقم 83
موضوع: اقتناء أجهزة الإعلام الألي لديوان الترقية والتسيير العقاري …
عدد الصفحات: 1/4
إعلان عن منح مؤقت لصفقة
الزبون: مؤسسة إعادة التربية أقبو
النوع: إعلان عن منح مؤقت لصفقة
موضوع: اقتناء المواد الغذائية في تسعة حصص
عدد الصفحات: 1/4
إعلان عن منح مؤقت لصفقة .
الزبون: وزارة التكوين والتعليم المهنيين
النوع: إعلان عن منح مؤقت لصفقة .
موضوع: تأجير مساحات العرض وقاعات العمل إيواء وإطعام الضيوف في إطار …
عدد الصفحات: 1/4
إعلان عن عروض وطني مفتوح مع اشتراط قدرات دنيا
الزبون: مديرية التجهيزات العمومية ولاية المسيلة
النوع: إعلان عن عروض وطني مفتوح مع اشتراط قدرات دنيا
موضوع: انجاز متوسطة نمط ب 200/6 وجبة للتعويض طيايبة الحاج بالمعاضيد
عدد الصفحات: 1/2
avis d'appel d'offre national ouvert avec exigence des capacites minimales n / 2025/1399
الزبون: direction des equipement publics wilaya de setif
النوع: avis d'appel d'offre national ouvert avec exigence des capacites minimales n / 2025/1399
موضوع: réalisation d'un collége type 300/06 repas a bouaouja commune guejdal setif
عدد الصفحات: 3/4
إعلان عن المنح المؤقت لطلب العروض الوطني المفتوح رقم 2025/08
الزبون: المديرية العامة للأمن الوطني
النوع: إعلان عن المنح المؤقت لطلب العروض الوطني المفتوح رقم 2025/08
موضوع: اقتناء ثماني حصص متفرقة من مستهلكات الات النسخ والاعلام الالي …
عدد الصفحات: 1/4
.MISE EN DEMEURE N°01
الزبون: OFFICE DE PROMOTION ET DE GESTION IMMOBILIERE WILAYA DE TISSEMSILT
النوع: .MISE EN DEMEURE N°01
موضوع: realisation des travaux de 60/2000 logements publics locatifs en tous corps d'état (tce) y compris les travaux de …
عدد الصفحات: 1/4
الأربعاء 22 أكتوبر 2025
Avis d'attribution provisoire .
الزبون: Centre Hospitalo-universitaire de Bejaia
النوع: Avis d'attribution provisoire .
موضوع: la maintenance préventive et curative des équipements médicaux au titre de dépenses de fonctionnement, exercice …
عدد الصفحات: 1/2
إعلان عن المنح المؤقت..
الزبون: مديرية التربية ولاية غرداية
النوع: إعلان عن المنح المؤقت..
موضوع: تجهيز ثانوية نوع 300/1000 بمنطقة العلوم بلدية بونورة
عدد الصفحات: 1/4
إعلان عن طلب عروض وطني ودولي مفتوح مع اشتراط قدرات دنيا رقم 2025/15 (نشر ثاني)
الزبون: المديرية العامة للأمن الوطني
النوع: إعلان عن طلب عروض وطني ودولي مفتوح مع اشتراط قدرات دنيا رقم 2025/15 (نشر ثاني)
موضوع: اقتناء مائة 100 سيارة خفيفة للتدخل ذات سعة اسطوانة من الحجم الكبير
عدد الصفحات: 1/2
إعلان عن طلب العروض الوطني المفتوح (اطلاق اعلان ثاني بعد عدم جدوى طلب العروض رقم 2025/10 بالنسبة للحصص 02.04.09.17.21.26
الزبون: مديرية التجهيزات العمومية ولاية الشلف
النوع: إعلان عن طلب العروض الوطني المفتوح (اطلاق اعلان ثاني بعد عدم جدوى طلب العروض رقم 2025/10 بالنسبة للحصص 02.04.09.17.21.26
موضوع: تهيئة واعادة الاعتبار للمؤسسات الطور الابتدائي بما في ذلك …
عدد الصفحات: 1/4
Avis d'appel d'offres national ouvert avec exigence de capacités minimales N° 026/2025
الزبون: CENTRE HOSPITALO-UNIVERSITAIRE D'ANNABA
النوع: Avis d'appel d'offres national ouvert avec exigence de capacités minimales N° 026/2025
موضوع: Fourniture de consommables et d'accessoires de laboratoires, au profit du CHU Annaba, durant l'année budgétaire …
عدد الصفحات: 1
اعلان عن المنح المؤقت لطلب عروض وطني مفتوح رقم 2025/03
الزبون: المديرية العامة للأمن الوطني
النوع: اعلان عن المنح المؤقت لطلب عروض وطني مفتوح رقم 2025/03
موضوع: اقتناء اواني المطبخ والمطعم لفائدة مختلف مصالح الشرطة التابعة …
عدد الصفحات: 1/4
إعذار رقم (01)
الزبون: بلدية قسنطينة ولاية قسنطينة
النوع: إعذار رقم (01)
موضوع: مشروع ترميم الطرق والأرصفة بمدخل الجباسين وشارع قيطوني عبد …
عدد الصفحات: 1/4
اعلان عن طلب عروض وطني مفتوح مع اشتراط قدرات دنيا..
الزبون: بلدية قسنطينة ولاية قسنطينة
النوع: اعلان عن طلب عروض وطني مفتوح مع اشتراط قدرات دنيا..
موضوع: اقتناء مواد التنظيف في حصتين
عدد الصفحات: 1/4
الثلاثاء 21 أكتوبر 2025
اعلان عن الغاء الاعلان عن طلب عروض وطني مفتوحة مع اشتراط قدرات دنيا رقم 2025/01
الزبون: بلدية لقاطة ولاية بومرداس
النوع: اعلان عن الغاء الاعلان عن طلب عروض وطني مفتوحة مع اشتراط قدرات دنيا رقم 2025/01
موضوع: revetement de la route reliant la plage de mandoura a la RN 24 sur 1300 ml
عدد الصفحات: 1/4
avis l'annulation de la procedure d'un appel d'offres ouvert avec exigence de capacites minimales
الزبون: direction des travaux publics wilaya de ghardaia
النوع: avis l'annulation de la procedure d'un appel d'offres ouvert avec exigence de capacites minimales
موضوع: realisation de la route de l'entrée nord bouhraoua ghardaia sur 1.6 km
عدد الصفحات: 1/4
2eme avis d'appel d'offres national ouvert n° 25/2025
الزبون: direction de la sante et de la population wilaya de bejaia
النوع: 2eme avis d'appel d'offres national ouvert n° 25/2025
موضوع: Acquisition de 04 Ambulances, 02 Véhicules Utilitaires et 01 Camion Au profit de L’EPH TAZMALT, wilaya de Bejaia …
عدد الصفحات: 1/2
AVIS D’APPEL D'OFFRES NATIONAL OUVERT AVEC EXIGENCE DE CAPACITE MINIMALE (Après annulation de l’attribution) N°114/2025
الزبون: DIRECTION DES EQUIPEMENTS PUBLICS DE LA WILAYA DE DJELFA
النوع: AVIS D’APPEL D'OFFRES NATIONAL OUVERT AVEC EXIGENCE DE CAPACITE MINIMALE (Après annulation de l’attribution) N°114/2025
موضوع: la réalisation d’un hôpital 120 lits
عدد الصفحات: 1/2
Avis d'appel d'offres national ouvert avec exigence de capacités minimales N° 40/E
الزبون: Etablissement Public de Télévision
النوع: Avis d'appel d'offres national ouvert avec exigence de capacités minimales N° 40/E
موضوع: Acquisition de matériels techniques pour le renforcement du centre nodal et de la régie multicanaux
عدد الصفحات: 1/2
اعلان عن طلب عروض وطني مفتوح مع اشتراط قدرات دنيا رقم 2025/40
الزبون: المديرية العامة للأمن الوطني
النوع: اعلان عن طلب عروض وطني مفتوح مع اشتراط قدرات دنيا رقم 2025/40
موضوع: إقتناء ستة ألاف 6000 خزانة لتبديل الملابس
عدد الصفحات: 1/2
اعلان عن المنح المؤقت تبعا لطلب العروض الوطني المفتوح مع اشتراط قدرات دنيا رقم 2025/02
الزبون: المؤسسة العمومية الاستشفائية الشلف الأخوات باج
النوع: اعلان عن المنح المؤقت تبعا لطلب العروض الوطني المفتوح مع اشتراط قدرات دنيا رقم 2025/02
موضوع: توريد المفاعلات، المستهلكات والمواد الصيدلانية الموجهة للطب …
عدد الصفحات: 1/2
المسابقة الوطنية المحدودة رقم 04/ ص و ت/ م ع/ 2025 لمهمة الإشراف على مشروع انجاز مقر الوكالة المحلية للصندوق الوطني للتقاعد بني عباس وأربعة مساكن إلزامية.
الزبون: الصندوق الوطني للتقاعد
النوع: المسابقة الوطنية المحدودة رقم 04/ ص و ت/ م ع/ 2025 لمهمة الإشراف على مشروع انجاز مقر الوكالة المحلية للصندوق الوطني للتقاعد بني عباس وأربعة مساكن إلزامية.
موضوع: اختيار "مجمع تاج" للمرحلة الثانية
عدد الصفحات: 1/4
الإثنين 20 أكتوبر 2025
avis d'appel d'offre national ouvert avec exigence de capacités minimales n° 2025/044
الزبون: etablissement hospitalier spécialisé en cardiologie et chirurgie cardiaque docteur djeghri mokhtrar
النوع: avis d'appel d'offre national ouvert avec exigence de capacités minimales n° 2025/044
موضوع: l'acquisition , l'installation et la mise en service des equipement durant l'année 2025 en trois lots séparés
عدد الصفحات: 1/2
avis d'appel d'offre national et international ouvert avec exigences de capacité minimales n 009/SCDA/SCHS/2025
الزبون: GROUPE INDUSTRIEL DES CIMENTS D4ALGERIE
النوع: avis d'appel d'offre national et international ouvert avec exigences de capacité minimales n 009/SCDA/SCHS/2025
موضوع: realiser l'etude, fourniture et mise en service d'une station automatique de remplissage ciment en big bag pour la …
عدد الصفحات: 1/4
إعلان عن منح مؤقت .
الزبون: ولاية الطارف
النوع: إعلان عن منح مؤقت .
موضوع: اقتناء حافلات للنقل المدرسي بسعة 30 (29 01) مقعد
عدد الصفحات: 1/4
إعلان عن المنح المؤقت للصفقة
الزبون: بلدية عزابة ولاية سكيكدة
النوع: إعلان عن المنح المؤقت للصفقة
موضوع: RETRO-CHARGEUR
عدد الصفحات: 1/4
إعلان عن المنح المؤقت للصفقة.
الزبون: مديرية الاشغال العمومية لولاية قالمة
النوع: إعلان عن المنح المؤقت للصفقة.
موضوع: اقتناء اللوازم الخاصة بصيانة الطرق الوطنية في اربع حصص منفصلة …
عدد الصفحات: 1/4
اعلان عن طلب عروض وطني مفتوح مع اشتراط قدرات دنيا.
الزبون: المؤسسة العمومية للمدينة الجديدة بوغزول
النوع: اعلان عن طلب عروض وطني مفتوح مع اشتراط قدرات دنيا.
موضوع: اشغال طريق الوصول الى متوسطة بوغزول مركز
عدد الصفحات: 1/2
إعلان عن طلب عروض وطني مفتوح مع اشتراط قدرات دنيا رقم: 2025/23
الزبون: مديرية التجهيزات العمومية لولاية تامنغست
النوع: إعلان عن طلب عروض وطني مفتوح مع اشتراط قدرات دنيا رقم: 2025/23
موضوع: انجاز متوسطة نمط 300/6 وجبة بتافسيت ببلدية تمنراست (حصة وحيدة) مقسمة …
عدد الصفحات: 1/4
اعلان عن طلب عروض وطني مفتوح مع اشتراط قدرات دنيا رقم 2024/20
الزبون: المديرية العامة للامن الوطني
النوع: اعلان عن طلب عروض وطني مفتوح مع اشتراط قدرات دنيا رقم 2024/20
موضوع: اقتناء تجهيزات خاصة لصالح العيادة البيطرية التابعة للمركز …
عدد الصفحات: 1/2
اعلان عن طلب عروض وطني مفتوح مع اشتراط قدرات دنيا رقم 2025/29 نشر ثاني
الزبون: المديرية العامة للأمن الوطني
النوع: اعلان عن طلب عروض وطني مفتوح مع اشتراط قدرات دنيا رقم 2025/29 نشر ثاني
موضوع: اقتناء سبعة عربات رافقعة ديزل مقسمة الى ثلاث حصص منفردة قابلة …
عدد الصفحات: 1/2
الأحد 19 أكتوبر 2025
اعلان عن طلب عروض وطني مفتوح مع اشتراط قدرات دنيا رقم 2025/27
الزبون: بلدية الجزائر الوسطى ولاية الجزائر
النوع: اعلان عن طلب عروض وطني مفتوح مع اشتراط قدرات دنيا رقم 2025/27
موضوع: اشغال تجديد العشب الاصطناعي على مستوى الملاعب عين زبوجة وسفينجة
عدد الصفحات: 1/4
Avis d'appel d'offres ouvert avec exigences de capacites minimales n 2025/112
الزبون: direction des équipements publics wilaya de djelfa
النوع: Avis d'appel d'offres ouvert avec exigences de capacites minimales n 2025/112
موضوع: la réalisation de lots a l'institut national spécialisé de formation professionnelle de 300 places pédagogiques / …
عدد الصفحات: 1/2
deuxieme avis d'appel d'offres ouvert avec exigence de capacité minimale aprés modification
الزبون: etablissement hospitalier spécialisé en transplantation d'oranges et des tissus de blida
النوع: deuxieme avis d'appel d'offres ouvert avec exigence de capacité minimale aprés modification
موضوع: lot 01: colonne de célioscopie pour service chirurgie générallot 02: acquisition appareil a videlot 07: equipement …
عدد الصفحات: 1/2
MISE EN DEMEURE N01
الزبون: DIRECTION DES EQUIPEMENTS PUBLICS
النوع: MISE EN DEMEURE N01
موضوع: GROUPE SCOLAIRE TYPE 4 AU NIVEAU DE QUARTIER 18 fevrier lyachir lot n 05 cantine
عدد الصفحات: 1/4
اعلان عن طلب العروض المفتوح مع اشتراط قدرات دنيا 2025
الزبون: بلدية بوعنان ولاية بليدة
النوع: اعلان عن طلب العروض المفتوح مع اشتراط قدرات دنيا 2025
موضوع: تهيئة وتعبيد والانارة العمومية حي بوطبال الحساينية
عدد الصفحات: 1/2
إعلان عن المنح المؤقت...
الزبون: بلدية عين الريش ولاية المسيلة
النوع: إعلان عن المنح المؤقت...
موضوع: اعلان عن قائمة المستفيدين من المنح المؤقت 05/2025 المعلن عنه بتاريخ …
عدد الصفحات: 1/4
AVIS D'ATTRIBUTION PROVISOIRE DU MARCHE N 12/F/2025
الزبون: ETABLISSEMENT PUBLIC DE TELEVISION
النوع: AVIS D'ATTRIBUTION PROVISOIRE DU MARCHE N 12/F/2025
موضوع: acquisition, installation et mise en service d'un mur d'image de 100 m2 modulaire
عدد الصفحات: 1/4
appel d'offre national ouvert avec exigence de capacités minimales n2025/49
الزبون: direction des équipements publics wilaya de skikda
النوع: appel d'offre national ouvert avec exigence de capacités minimales n2025/49
موضوع: la réalisation d'un collège type 7/300 R remplacement au collège mebareki tahar-oueldja boulbalout en lot unique
عدد الصفحات: 3/4
الخميس 16 أكتوبر 2025
AVIS DAPPEL DOFFRE NATIONAL OUVERT AVEC EXXIGENCE DE CAPACITES MINIMALES N 2025/26
الزبون: COMMUNE DALGER CENTRE WILAYA DALGER
النوع: AVIS DAPPEL DOFFRE NATIONAL OUVERT AVEC EXXIGENCE DE CAPACITES MINIMALES N 2025/26
موضوع: travaux de realisation et d'emibelissement de l'eclairage a travers les mosquées en deux lots separés
عدد الصفحات: 1/4
اعذار رقم 02.
الزبون: مديرية التجهيزات العمومية لولاية بجاية
النوع: اعذار رقم 02.
موضوع: مشروع بناء متوسطة من نوع 6/300 R في بوزروال بلدية اقبو
عدد الصفحات: 1/4
اعذار رقم 02..
الزبون: مديرية التجهيزات العمومية لولاية برج بوعريريج
النوع: اعذار رقم 02..
موضوع: إنجاز اكمالية نوع قاعدة 7/300 وجبة ببرج بوعريريج قرية اخروف
عدد الصفحات: 1/4
الإعلان المنح المؤقت
الزبون: مديرية الشباب و الرياضة لولاية تمنراست
النوع: الإعلان المنح المؤقت
موضوع: إنجاز مدرجات والتغطية بالعشب الاصطناعي لملعب كرة القدم أبلسة …
عدد الصفحات: 1/4
إعلان عن المنح المؤقت.
الزبون: مديرية الاشغال العمومية لولاية برج باجي مختار
النوع: إعلان عن المنح المؤقت.
موضوع: دراسة وانجاز الطريق الرابط بين الاحداثيات 0"00'30°00-N"00'18°23 الى …
عدد الصفحات: 1/4
AVIS D'APPEL D'OFFRES NATIONAL OUVERT AVEC EXIGENCE DE CAPACITES MINIMALE N14/MF/DFM/SDMD/2025S
الزبون: ministere des finances
النوع: AVIS D'APPEL D'OFFRES NATIONAL OUVERT AVEC EXIGENCE DE CAPACITES MINIMALE N14/MF/DFM/SDMD/2025S
موضوع: l'aquisition de mobilier de bureau pour l'ensemble des structures rattachées a l'administration centrale du ministére …
عدد الصفحات: 1/2
MISE EN DEMEURE N°01
الزبون: DIRECTION DU LOGEMENT WILAYA DE TIPASA
النوع: MISE EN DEMEURE N°01
موضوع: REALISATION DES COLONNES MONTANTES AU PROFIT DE LA WILAYA DE TIPASA
عدد الصفحات: 1/4
AVIS D'APPEL D'OFFRES NATIONAL OUVERT AVEC EXIGENCE DE CAPACITES MINIMALE N 2025/14S
الزبون: direction de l'hydrauliquee de la wilaya de msila
النوع: AVIS D'APPEL D'OFFRES NATIONAL OUVERT AVEC EXIGENCE DE CAPACITES MINIMALE N 2025/14S
موضوع: realisation des ouvrages de stockage a travers 14 communes (w.msila)
عدد الصفحات: 1/2
اعلان عن طلب عروض مفتوح مع اشتراط قدرات دنيا رقم 08/2025
الزبون: بلدية جيملة ولاية جيجل
النوع: اعلان عن طلب عروض مفتوح مع اشتراط قدرات دنيا رقم 08/2025
موضوع: تهيئة الطرق ببن وانت على مسافة 1000 ما ط
عدد الصفحات: 1/4
اعلان عن طلب العروض المفتوح مع اشتراط قدرات دنيا رقم 23/2022
الزبون: مديرية الري لولاية بويرة
النوع: اعلان عن طلب العروض المفتوح مع اشتراط قدرات دنيا رقم 23/2022
موضوع: اعادة تاهيل المحطات الضخ عبر الولاية
عدد الصفحات: 1/2
الأربعاء 15 أكتوبر 2025
avis d'appel d'offres national ouvert avec exigence de capacités minimales n01/dout/2025
الزبون: office national de oeuvres universitaires
النوع: avis d'appel d'offres national ouvert avec exigence de capacités minimales n01/dout/2025
موضوع: concluion de marches relatifs au transport suburbain des étudiants durant l'année 2026 revelant de la direction des …
عدد الصفحات: 1 - 3/4
اعلان عن طلب عروض وطني مع اشتراط قدرات دنيا رقم 01/2025
الزبون: مديرية الخدمات الجامعية لولاية جيجل
النوع: اعلان عن طلب عروض وطني مع اشتراط قدرات دنيا رقم 01/2025
موضوع: ابرام صفقات للنقل الجامعي خلال سنة 2026
عدد الصفحات: 1 - 1/4
اعلان عن طلب عروض وطني مفتوح مع اشتراط قدرات دنيا رقم 29/2025
الزبون: مديرية التعمير والهندسة المعمارية والبناء لولاية جيجل
النوع: اعلان عن طلب عروض وطني مفتوح مع اشتراط قدرات دنيا رقم 29/2025
موضوع: انجاز الدراسة والتحقيق لنزع الملكية من اجل المنفعة العامة لموقع …
عدد الصفحات: 1/4
الثلاثاء 14 أكتوبر 2025
.avis d'infructuosite
الزبون: direction regionale d'alger est AADL
النوع: .avis d'infructuosite
موضوع: LA REALISATION DES 30 LOGEMENTS PROMOTIONNELS AIDES PROMOTION LIBRES EN TCE AVEC DES LOCAUX A USAGE PROFESSIONNEL ET …
عدد الصفحات: 1/4
اعلان عن المنح المؤقت للصفقة .
الزبون: المدرسة الوطنية للخزينة
النوع: اعلان عن المنح المؤقت للصفقة .
موضوع: الاطعام لفائدة المدرسة الوطنية للخزينة
عدد الصفحات: 1/4
avis d'appel d'offres national ouvert avec exigence de capacitées minimales n12/2025
الزبون: direction des travaux publics wilaya de ghardaia
النوع: avis d'appel d'offres national ouvert avec exigence de capacitées minimales n12/2025
موضوع: realisation de la route de l'entrée nord bouhraoua ghardaia sur 1.6 km
عدد الصفحات: 1/2
اعلان عن طلب عروض وطني مفتوح مع اشتراط قدرات دنيا رقم 2025/09
الزبون: مديرية البيئة لولاية تيسمسيلت
النوع: اعلان عن طلب عروض وطني مفتوح مع اشتراط قدرات دنيا رقم 2025/09
موضوع: دراسة انجاز وتجهيز مركز للفرز بثنية الحد
عدد الصفحات: 1/4
avis d'attribution provisoire de l'appel d'offres national ouvert avec exigence de capacites minimales n01/2025
الزبون: direction generales de la surete nationale
النوع: avis d'attribution provisoire de l'appel d'offres national ouvert avec exigence de capacites minimales n01/2025
موضوع: l'aquisition de six lots séparés des pieces de rechange pour véhicules differentes marques; matériels des ateliers …
عدد الصفحات: 1/4
اعلان عن المنح المؤقت .
الزبون: بلدية الشمرة ولاية باتنة
النوع: اعلان عن المنح المؤقت .
موضوع: تهيئة الطريق الذي يربط بلدية الشمرة وبلدية اولاد فاضل بمشتة قابل …
عدد الصفحات: 1/4
اعلان عن طلبات عروض وطني مفتوح مع اشتراط قدرات دنيا
الزبون: مؤسسة اعادة التربية عين البيضاء،المديرية العامة لادارة السجون واعادة الادماج
النوع: اعلان عن طلبات عروض وطني مفتوح مع اشتراط قدرات دنيا
موضوع: التموين بالمواد الغذائية لسنة 2026
عدد الصفحات: 1/2
اعلان عن طلب عروض وطني مفتوح مع اشتراط قدرات دنيا رقم 2025/13
الزبون: مديرية التعمير والهندسة المعمارية والبناء لولاية المغير
النوع: اعلان عن طلب عروض وطني مفتوح مع اشتراط قدرات دنيا رقم 2025/13
موضوع: تهيئة حي المجاهدين ببلدية المغير
عدد الصفحات: 1/4
اعلان عن طلب عروض وطني مفتوح مع اشتراط قدرات دنيا رقم 2025/15
الزبون: مديرية التعمير والهندسة المعمارية والبناء لولاية المغير
النوع: اعلان عن طلب عروض وطني مفتوح مع اشتراط قدرات دنيا رقم 2025/15
موضوع: تهيئة مدخل عين الشوشة ببلدية سيدي عمران
عدد الصفحات: 1/4
اعلان عن طلب عروض وطني مفتوح مع اشتراط قدرات دنيا رقم 2025/14
الزبون: مديرية التعمير والهندسة المعمارية والبناء لولاية المغير
النوع: اعلان عن طلب عروض وطني مفتوح مع اشتراط قدرات دنيا رقم 2025/14
موضوع: تهيئة ساحة عمومية بالمدخل الجنوبي لبلدية المغير
عدد الصفحات: 1/4
اعلان عن المنح المؤقت لطلب عروض وطني مفتوح مع اشتراط قدرات دنيا رقم 2025/01
الزبون: المديرية العامة للأمن الوطني
النوع: اعلان عن المنح المؤقت لطلب عروض وطني مفتوح مع اشتراط قدرات دنيا رقم 2025/01
موضوع: اشغال اعادة تهيئة وترميم لقاعدة الحياة ترامواي سابقا الموجه …
عدد الصفحات: 1/4
الإثنين 13 أكتوبر 2025
اعلان عن طلب عروض وطني مفتوح مع اشتراط قدرات دنيا رقم 28/2025 نشر ثاني
الزبون: المديرية العامة للأمن الوطني
النوع: اعلان عن طلب عروض وطني مفتوح مع اشتراط قدرات دنيا رقم 28/2025 نشر ثاني
موضوع: اقتناء، تركيب وتشغيل على شكل حصتين منفصلتين قابلتين للاسناد على …
عدد الصفحات: 3/4
اعلان عن الاستشارة بعد التفاوض رقم 01/2025 لطلب عروض وطني مفتوح مع اشتراط قدرات دنيا رقم 11/2024
الزبون: المديرية العامة للأمن الوطني
النوع: اعلان عن الاستشارة بعد التفاوض رقم 01/2025 لطلب عروض وطني مفتوح مع اشتراط قدرات دنيا رقم 11/2024
موضوع: صيانة، تصليح وتركيب معدات التدفئة المركزية التابعة لمصالح …
عدد الصفحات: 1/4
اعلان عن طلب عروض وطني مفتوح مع اشتراط قدرات دنيا رقم 01/ د أ م س/2025
الزبون: دار الاشخاص المسنين سكيكدة 01
النوع: اعلان عن طلب عروض وطني مفتوح مع اشتراط قدرات دنيا رقم 01/ د أ م س/2025
موضوع: اعادة الاعتبار لفائدة دار الاشخاص المسنين سكيكدة 01
عدد الصفحات: 1/2
اعذار رقم: 01/2025
الزبون: بلدية عين البيضاء احريش ولاية ميلة
النوع: اعذار رقم: 01/2025
موضوع: انجاز شبكة التطهير لمشتة اولاد مساعد (الشطر الاول) المبرمة مع …
عدد الصفحات: 1/4
اعذار رقم 01/2025.
الزبون: بلدية عين البيضاء احريش ولاية ميلة
النوع: اعذار رقم 01/2025.
موضوع: تهيئة وصيانة الطرق ببلدية عين البيضاء احريش : الحصة رقم 01 تهيئة …
عدد الصفحات: 1/4
اعلان عن طلب عروض مفتوح مع اشتراط قدرات دنيا رقم 001/2025
الزبون: كلية العلوم والتكنولوجيا جامعة محمد البشير الابراهيمي برج بوعريريج
النوع: اعلان عن طلب عروض مفتوح مع اشتراط قدرات دنيا رقم 001/2025
موضوع: صيانة وتصليح المباني الادارية والبيداغوجية والبحثية لفائدة كلية …
عدد الصفحات: 1/2
اعلان عن طلب عروض وطني مفتوح مع اشتراط قدرات دنيا رقم 04/ ج ق 1 ا م/2025
الزبون: جامعة قسنطينة 1 الاخوة منتوري
النوع: اعلان عن طلب عروض وطني مفتوح مع اشتراط قدرات دنيا رقم 04/ ج ق 1 ا م/2025
موضوع: انجاز اشغال المساكة لعمارة العلوم المجمع المركزي لجامعة قسنطينة …
عدد الصفحات: 1/2
الأحد 12 أكتوبر 2025
اعلان للمرة الثانية عن طلب عروض وطني مفتوح مع اشتراط قدرات دنيا رقم 03/2025
الزبون: المؤسسة الاستشفائية للامن الوطني بسيدي بلعباس
النوع: اعلان للمرة الثانية عن طلب عروض وطني مفتوح مع اشتراط قدرات دنيا رقم 03/2025
موضوع: اقتناء الادوات الطبية
عدد الصفحات: 1/4
Avis d'appel d'offre national ouvert avec exigence minimale n06/2025
الزبون: Direction de la jeunesse et des sports
النوع: Avis d'appel d'offre national ouvert avec exigence minimale n06/2025
موضوع: Étude pour la réhabilitation et de la mise a niveau du stade OMS a khemis miliana
عدد الصفحات: 1/4
Avis d'appel d'offre national ouvert avec exigence de capacités minimales n295/DRAO/AADL/2025
الزبون: Direction régionale d'Alger ouest AADL
النوع: Avis d'appel d'offre national ouvert avec exigence de capacités minimales n295/DRAO/AADL/2025
موضوع: La réalisation de 120/720 logements location/vente en TCE avec locaux a usage commercial, professionnel et …
عدد الصفحات: 1
Avis d'attribution provisoire .
الزبون: Direction d'hydraulique la wilaya de bouira
النوع: Avis d'attribution provisoire .
موضوع: Réhabilitation des réseaux d'AEP pour les daïra : sour el ghozlane m'chedallah, lakhdaria bordj okhris
عدد الصفحات: 1/4
ثاني اعلان عن طلب عروض وطني مفتوح مع اشتراط قدرات دنيا رقم 85/م.ت.ع/ م.د.ت/2025
الزبون: مديرية التجهيزات العمومية ولاية بسكرة
النوع: ثاني اعلان عن طلب عروض وطني مفتوح مع اشتراط قدرات دنيا رقم 85/م.ت.ع/ م.د.ت/2025
موضوع: انجاز متوسطة نمط 6 على مستوى موقع 1352 سكن ترقوي مدعم، العالية ، …
عدد الصفحات: 1/2
AVIS D'APPEL D'OFFRE NATIONAL OUVERT AVEC EXIGENCE DE CAPACITES MINIMALES N 58/2025 POUR LA 2EME FOIS
الزبون: DIRECTION DU LOGEMENT DE LA WILAYA DE DJELFA
النوع: AVIS D'APPEL D'OFFRE NATIONAL OUVERT AVEC EXIGENCE DE CAPACITES MINIMALES N 58/2025 POUR LA 2EME FOIS
موضوع: la réalisation en tous corps d'état avec VRD et aménagement extérieur des 100/4000 logements publics locatifs de …
عدد الصفحات: 3/4
الخميس 09 أكتوبر 2025
طلب العروض الوطني المفتوح مع اشتراط قدرات دنيا بعد عدم الجدوى رقم 59/م ج و/عدل/2025
الزبون: المديرية الجهوية ورقلة للوكالة الوطنية لتحسين السكن وتطويره عدل
النوع: طلب العروض الوطني المفتوح مع اشتراط قدرات دنيا بعد عدم الجدوى رقم 59/م ج و/عدل/2025
موضوع: أشغال 650/ انجاز 134 (الموقع رقم 03) مسكن بصيغة البيع بالايجار بجميع …
عدد الصفحات: 1/2
طلب العروض الوطني المفتوح مع اشتراط قدرات دنيا بعد عدم الجدوى رقم 60/م ج و/عدل/2025
الزبون: المديرية الجهوية ورقلة للوكالة الوطنية لتحسين السكن وتطويره عدل
النوع: طلب العروض الوطني المفتوح مع اشتراط قدرات دنيا بعد عدم الجدوى رقم 60/م ج و/عدل/2025
موضوع: أشغال 650/ انجاز 134 (الموقع رقم 04) مسكن بصيغة البيع بالايجار بجميع …
عدد الصفحات: 1/2
AVIS D’INFRUCTIOSITE DE LA PROCEDURE
الزبون: CENTRE HOSPITALIER UNIVERSITAIRE ANNABA
النوع: AVIS D’INFRUCTIOSITE DE LA PROCEDURE
موضوع: l’approvisionnement du CHU ANNABA en habillement, durant l’année budgétaire 2025, répartis en deux (02) …
عدد الصفحات: 1/4
AVIS D'INFRUCTUOSITE.
الزبون: DIRECTION DES EQUIPEMENTS PUBLICS WILAYA DE TAREF
النوع: AVIS D'INFRUCTUOSITE.
موضوع: RESTE A REALISER DE 2000 PLACES PEDAGOGIQUES A EL TARF LOT UNIQUE
عدد الصفحات: 1/4
AVIS D’INFRUCTUOSITE
الزبون: WILAYA DE BATNA DIRECTION DES EQUIPEMENTS PUBLICS
النوع: AVIS D’INFRUCTUOSITE
موضوع: Réalisation D'une Ecoles Primaire Type 4 A La Cité selsabil Commune De BATNA
عدد الصفحات: 1/4
اعلان عن مناقصة وطنية ودولية محدودة رقم 9 25/23/C55
الزبون: كوسيدار
النوع: اعلان عن مناقصة وطنية ودولية محدودة رقم 9 25/23/C55
موضوع: انابيب شبكة مكافحة الحرائق
عدد الصفحات: 1/4
اعلان عن منح مؤقت*
الزبون: بلدية عين بسام ولاية البويرة
النوع: اعلان عن منح مؤقت*
موضوع: تهيئة حضرية لشارع الاخوة مازوني عيسى ومحمد
عدد الصفحات: 1/4
إعلان عن منح مؤقتت
الزبون: مديرية التعمير والهندسة المعمارية والبناء ولاية تيسمسيلت
النوع: إعلان عن منح مؤقتت
موضوع: اشغال التهيئة للتخصيصات الاجتماعية لولايات الجنوب والهضاب …
عدد الصفحات: 1/4
AVIS D'APPEL D'OFFRE NATIONAL OUVERT AVEC EXIGENCE DE CAPACITES MINIMALES
الزبون: ETABLISSEMENT DE REEDUCATION ET READAPTION LAGHOUAT
النوع: AVIS D'APPEL D'OFFRE NATIONAL OUVERT AVEC EXIGENCE DE CAPACITES MINIMALES
موضوع: L'APPROVISIONNEMENT EN DENREES ALIMENTAIRES POUR L'ANNEE 2026
عدد الصفحات: 1/4
Mise en demeure N° 02
الزبون: OFFICE DE PROMOTION ET DE GESTION IMMOBILIERE DE LA WILAYA DE DJANET
النوع: Mise en demeure N° 02
موضوع: réalisation des travaux en tout corps d'etat (T.C.E) ycompris VRD d'un projet de 340/500 logement publics …
عدد الصفحات: 1/4
الأربعاء 08 أكتوبر 2025
attribution rectificatif provisoire des marchés
الزبون: le centre hospitalo-universitaire de tizi ouzou
النوع: attribution rectificatif provisoire des marchés
موضوع: aquisition du matériel medical
عدد الصفحات: 1/4
ديوان الترقية والتسيير العقاري لولاية البليدة
الزبون: اعلان عن استشارة مفتوحة رقم 49/2025
النوع: ديوان الترقية والتسيير العقاري لولاية البليدة
موضوع: اقتناء أجهزة إعلام ألي موجه الى كل مؤسسة تنشط في مجال الاعلام …
عدد الصفحات: 1/4
AVIS D'APPEL D'OFFRE NATIONAL N° 07/2025
الزبون: commune d'ain bessem wilaya de bouira
النوع: AVIS D'APPEL D'OFFRE NATIONAL N° 07/2025
موضوع: approvisionnement des cantines scolaires en denrées alimentaire reparties en 4 lots
عدد الصفحات: 1/4
اعلان عن طلب العروض مفتوح مع اشتراط قدرات دنيا رقم 43/25
الزبون: مديرية التجهيزات العمومية ولاية باتنة
النوع: اعلان عن طلب العروض مفتوح مع اشتراط قدرات دنيا رقم 43/25
موضوع: تهيئة واعادة التأهيل مؤسسات التعليم للطور المتوسط بما في ذلك …
عدد الصفحات: 1/2
AVIS D'ATTRIBUTION PROVISOIRE..
الزبون: COMMUNE DE TINERKOUK WILAYA DE TIMIMOUN
النوع: AVIS D'ATTRIBUTION PROVISOIRE..
موضوع: realisation d'une salle de soins a tinerkouk
عدد الصفحات: 1/4
اعلان عن طلب عروض وطني مفتوح مع اشتراط قدرات دنيا رقم 23/ م.ت.ه.ب/2025
الزبون: مديرية التعمير، الهندسة المعمارية والبناء لولاية البويرة
النوع: اعلان عن طلب عروض وطني مفتوح مع اشتراط قدرات دنيا رقم 23/ م.ت.ه.ب/2025
موضوع: انجاز اشغال تدعيم منطقة انزلاق التربة بجانب 40 مسكن عمومي ايجاري
عدد الصفحات: 1/2
اعلان عن المنح المؤقت في اطار طلب العروض المفتوح مع اشتراط قدرات دنيا رقم 03/2025
الزبون: المديرية العامة للأمن الوطني
النوع: اعلان عن المنح المؤقت في اطار طلب العروض المفتوح مع اشتراط قدرات دنيا رقم 03/2025
موضوع: أشغال التهيئة والترميم على مستوى مصالح المديرية العامة للأمن …
عدد الصفحات: 1/4
AVIS D'ATTRIBUTION PROVISOIRE DU MARCHE/CONTRAT
الزبون: CENTRE HOSPITALO-UNIVERSITAIRE D'ANNABA
النوع: AVIS D'ATTRIBUTION PROVISOIRE DU MARCHE/CONTRAT
موضوع: fourniture de réactifs de biochimie-hémobiologie au profit du CHU annaba durant l'année budgétaire 2025; repartis …
عدد الصفحات: 3/4
الثلاثاء 07 أكتوبر 2025
اعلان عن مسابقة وطنية محدودة في الهندسة المعمارية لدراسة ومتابعة 350 سكن عمومي إيجاري ببلدية افلو (اعلان ثالث بعد الغاء الاجراء) رقم 18/2025
الزبون: ديوان الترقية والتسيير العقاري بالأغواط
النوع: اعلان عن مسابقة وطنية محدودة في الهندسة المعمارية لدراسة ومتابعة 350 سكن عمومي إيجاري ببلدية افلو (اعلان ثالث بعد الغاء الاجراء) رقم 18/2025
موضوع: دراسة ومتابعة 350 سكن عمومي ايجاري محلات تجارية ببلدية افلو …
عدد الصفحات: 1/2
AVIS D'un d'appel d'offres ouvert avec exigence de capacités minimale n° 02/DL/2025
الزبون: DIRECTION DU LOGEMENT WILAYA DE TEBESSAA
النوع: AVIS D'un d'appel d'offres ouvert avec exigence de capacités minimale n° 02/DL/2025
موضوع: realisation du programme 36-2016 des travaux du VRD des lotissemerits sociaux des communes de la wilaya dans le cadre …
عدد الصفحات: 1/2
AVIS D'APPEL D'OFFRES NATIONAL OUVERT AVEC EXIGENCE DE CAPACITES MINIMALES
الزبون: COMMUNE DE SETIF WILAYA DE SETIF
النوع: AVIS D'APPEL D'OFFRES NATIONAL OUVERT AVEC EXIGENCE DE CAPACITES MINIMALES
موضوع: aquisition de produits, outils, petites matériels et equipements au profit des ateliers de la commune de setif années …
عدد الصفحات: 1/2
اعادة الاعلان عن طلب العروض الوطني المفتوح مع اشتراط قدرات دنيا بعد عدم الجدوى رقم 47/م ج و/ عدل/2025
الزبون: الوكالة الوطنية لتحسين السكن وتطويره
النوع: اعادة الاعلان عن طلب العروض الوطني المفتوح مع اشتراط قدرات دنيا بعد عدم الجدوى رقم 47/م ج و/ عدل/2025
موضوع: أشغال إنجاز 160 مسكن بصيغة البيع بالايجار فردي (طابق سطح) بجميع …
عدد الصفحات: 1/2
اعادة الاعلان عن طلب العروض الوطني المفتوح مع اشتراط قدرات دنيا بعد عدم الجدوى رقم 51/ م ج و/ عدل/ 2025
الزبون: الوكالة الوطنية لتحسين السكن وتطويره
النوع: اعادة الاعلان عن طلب العروض الوطني المفتوح مع اشتراط قدرات دنيا بعد عدم الجدوى رقم 51/ م ج و/ عدل/ 2025
موضوع: أشغال إنجاز 600 مسكن بصيغة البيع بالايجار فردي (طابق سطح) بجميع …
عدد الصفحات: 1/2
AVIS D'APPEL D'OFFRES NATIONAL OUVERT AVEC EXIGENCE DES CAPACITES MINIMALES.
الزبون: COMMUNE DE SETIF WILAYA DE SETIF
النوع: AVIS D'APPEL D'OFFRES NATIONAL OUVERT AVEC EXIGENCE DES CAPACITES MINIMALES.
موضوع: aménagement et revetement de l'entrée de la ville de la gare routiére jusqu'à la station el fouara et l'école …
عدد الصفحات: 1/2
الإثنين 06 أكتوبر 2025
اعلان عن طلب عروض وطني مفتوح مع اشتراط قدرات دنيا .
الزبون: ولاية أدرار
النوع: اعلان عن طلب عروض وطني مفتوح مع اشتراط قدرات دنيا .
موضوع: تهيئة مقر المجلس الشعبي الولائي
عدد الصفحات: 1/2
اعلان عن منح مؤقت ..
الزبون: بلدية برج باجي مختار ولاية برج باجي مختار
النوع: اعلان عن منح مؤقت ..
موضوع: اقتناء شاحنات لجمع القمامة
عدد الصفحات: 1/4
إعلان عن منح مؤقت لصفقة.
الزبون: الديوان الوطني للسقي وصرف المياه
النوع: إعلان عن منح مؤقت لصفقة.
موضوع: انجاز أشغال
عدد الصفحات: 1/4
اعذار رقم 02
الزبون: بلدية ان غار ولاية ان صالح
النوع: اعذار رقم 02
موضوع: اقتناء شاحنة لتفريغ المياه HYDROCUREUR
عدد الصفحات: 1/4
إعذار رقم 01..
الزبون: مديرية التعمير والهندسة المعمارية والبناء لولاية ان صالح
النوع: إعذار رقم 01..
موضوع: اشغال التحسين الحضري للنسيج العمراني القديم عبر ولاية ان صالح 2023
عدد الصفحات: 1/4
اعلان عن المنح المؤقت...
الزبون: ولاية ورقلة
النوع: اعلان عن المنح المؤقت...
موضوع: انجاز متوسطة 07/300 وجبة بحي النصر بلدية ورقلة الجزء الثابت: الجناح …
عدد الصفحات: 1/4
اعلان عن المنح المؤقت ..
الزبون: ولاية ورقلة
النوع: اعلان عن المنح المؤقت ..
موضوع: انجاز متوسطة نوع 06/300 وجبة ببلدية حاسي بن عبد الله الجزء الثابت …
عدد الصفحات: 1/4
اعلان عن طلب عروض مفتوح مع اشتراط قدرات دنيا رقم 25/2025
الزبون: ولاية المنيعة
النوع: اعلان عن طلب عروض مفتوح مع اشتراط قدرات دنيا رقم 25/2025
موضوع: انجاز مقر أمن الولاية بالمنيعة
عدد الصفحات: 1/2
اعلان عن طلب عروض وطني مفتوح مع اشتراط قدرات دنيا رقم 01/2024 للمرة الرابعة
الزبون: مديرية الثقافة لولاية المغير
النوع: اعلان عن طلب عروض وطني مفتوح مع اشتراط قدرات دنيا رقم 01/2024 للمرة الرابعة
موضوع: انجاز معهد للموسيقى ببلدية المغير ولاية المغير
عدد الصفحات: 1/4
اعلان عن طلب عروض وطني مفتوح مع اشتراط قدرات دنيا رقم 13/2025
الزبون: مديرية التربية لولاية اولاد جلال
النوع: اعلان عن طلب عروض وطني مفتوح مع اشتراط قدرات دنيا رقم 13/2025
موضوع: تجهيز متوسطة 06/300 حاسي السيدة/ الشعيبة
عدد الصفحات: 1/4
الأحد 05 أكتوبر 2025
اعلان عن المنح المؤقت لصفقة
الزبون: مؤسسة تسيير المرور والنقل الحضري لولاية الجزائر
النوع: اعلان عن المنح المؤقت لصفقة
موضوع: اقتناء طلاء ابيض للطرق اكريليك البلاستيك الحريري لمصلحة مؤسسة …
عدد الصفحات: 1/4
اعلان عن عدم جدوى
الزبون: مديرية السكن لولاية الجلفة
النوع: اعلان عن عدم جدوى
موضوع: انجاز 200/400 سكن عمومي ايجاري (كل هياكل الدولة) مع التهيئة الخارجية …
عدد الصفحات: 1/4
Deuxieme avis d'appel d'offre ouvert avec exigence de capacités minimales n°: 30/2025
الزبون: direction des équipements publics wilaya TINDOUF
النوع: Deuxieme avis d'appel d'offre ouvert avec exigence de capacités minimales n°: 30/2025
موضوع: REHABILITATION ET AMENAGEMENT DES ETABLISSEMENTS CYCLE PRIMAIRE
عدد الصفحات: 1/2
AVIS D'APPEL D'OFFRES NATIONAL OUVERT AVEC EXIGENGE DE CAPACITES MINIMALES
الزبون: DIRECTION DE L'HYDRAULIQUE DE WILAYA DE JIJEL
النوع: AVIS D'APPEL D'OFFRES NATIONAL OUVERT AVEC EXIGENGE DE CAPACITES MINIMALES
موضوع: realisation d'une station d'epuration des eaux usees d'el kennar )w .jijel( les soumissionnaires admis a concourir sont …
عدد الصفحات: 3/4
avis d'appel d'offres ouvert avec exigence de capacites minimal n°04/2025
الزبون: conservation des forets de la wilaya de batna
النوع: avis d'appel d'offres ouvert avec exigence de capacites minimal n°04/2025
موضوع: mise en oeuvre du plan d'action de la réhabilitation; de l'extension et du développement du barrage vert (3eme …
عدد الصفحات: 1/2
AVIS DAPPEL DOFFRE NATIONAL OUVERT AVEC EXIGENCE DE CAPACITE MINIMALES N° 57/2025 APRES L'ANNULATION DE L'ATRRIBUTION
الزبون: DIRECTION DES EQUIPEMENTS PUBLICS DE LA WILAYA DE MILA
النوع: AVIS DAPPEL DOFFRE NATIONAL OUVERT AVEC EXIGENCE DE CAPACITE MINIMALES N° 57/2025 APRES L'ANNULATION DE L'ATRRIBUTION
موضوع: realisation d'un hopital de 60 lits a tadjenanet wilaya de mila lot n° blaoc logements en TCE
عدد الصفحات: 3/4
الخميس 02 أكتوبر 2025
avis d'appel d'offres national ouvert avec capacites minimales n°: 04/2025
الزبون: opgi d'in salah
النوع: avis d'appel d'offres national ouvert avec capacites minimales n°: 04/2025
موضوع: la realisation des travaux de VRD tertiaires ( lamenagement exterieur , l'eclairage public et reseau des canalisation …
عدد الصفحات: 1/2
AVIS D'APPEL D'OFFRE NATIONAL OUVERT AVEC EXIGENCE DE CAPACITE MINIMALES N31/2025
الزبون: DIRECTION DES EQUIPEMENTS PUBLICS DE LA WILAYA DE OULED DJELAL
النوع: AVIS D'APPEL D'OFFRE NATIONAL OUVERT AVEC EXIGENCE DE CAPACITE MINIMALES N31/2025
موضوع: REALISATION D'UN COLLEGE TYPE )6/300R) a hai satha commune docen
عدد الصفحات: 1/2
اعلان عن طلب عروض وطني مفتوح مع اشتراط قدرات دنيا
الزبون: مؤسسة اعادة التربية ادرار
النوع: اعلان عن طلب عروض وطني مفتوح مع اشتراط قدرات دنيا
موضوع: التموين بالمواد الغذائية لسنة 2026
عدد الصفحات: 3/4
AVIS D'APPEL D'OFFRS NATIONAL OUVERT AVEC EXIGENCE DE CAPACITES MINIMALES
الزبون: ETABLISSEMENT DE REEDUVATION DJELFA
النوع: AVIS D'APPEL D'OFFRS NATIONAL OUVERT AVEC EXIGENCE DE CAPACITES MINIMALES
موضوع: L'APPROVISIONNEMENT EN DENREES ALIMENTAIRES POUR L'ANNEE 2026
عدد الصفحات: 1/2
اعلان عن طلب عروض وطني مفتوح مع اشتراط قدرات دنيا رقم 02/2025.
الزبون: بلدية لقاطة ولاية بومرداس
النوع: اعلان عن طلب عروض وطني مفتوح مع اشتراط قدرات دنيا رقم 02/2025.
موضوع: انهاء اشغال انجاز قاعة العلاج في حي مراشدة
عدد الصفحات: 1/2
اعذار ثاني واخير
الزبون: محافظة الغابات ولاية بومرداس
النوع: اعذار ثاني واخير
موضوع: اشغال تهيئة المسالك الغابية حصة رقم 02
عدد الصفحات: 1/4
الأربعاء 01 أكتوبر 2025
اعلان عن منح مؤقت لصفقة للطلب العروض الوطني المفتوح مع اشتراط القدرات الدنيا رقم 2024/45
الزبون: الجزائرية للمياه
النوع: اعلان عن منح مؤقت لصفقة للطلب العروض الوطني المفتوح مع اشتراط القدرات الدنيا رقم 2024/45
موضوع: انجاز اشغال توسعة محطة ازالة المعادن بتندوف
عدد الصفحات: 1/4
AVIS D'ATTRIBUTION PROVISOIRE N* 80/2025
الزبون: OFFICE DE PROMOTION ET DE GESTION IMMOBILIERE DE BLIDA
النوع: AVIS D'ATTRIBUTION PROVISOIRE N* 80/2025
موضوع: la realisation des travaux de VRD des 100 logements publics locatifs, a beni tamou wilaya de blida programmes année …
عدد الصفحات: 1/4
اعلان عن منح مؤقت لصفقة.
الزبون: مديرية التعمير، الهندسة المعمارية والبناء لولاية الجزائر
النوع: اعلان عن منح مؤقت لصفقة.
موضوع: دراسة ومتابعة من اجل مدرسة اساسية (B5) بسيدي لكبير - رايس حميدو- …
عدد الصفحات: 1/4
AVIS D'APPEL D'OFFRES NATIONAL OUVERT AVEC EXIGENCE DE CAPACITES MINIMALES N* 09/2025
الزبون: CAISSE NATIONALE DES RETRAITES DIRECTION GENERALE
النوع: AVIS D'APPEL D'OFFRES NATIONAL OUVERT AVEC EXIGENCE DE CAPACITES MINIMALES N* 09/2025
موضوع: Réalisation du siege de l'agence locale CNR de BORDJ-BADJI-MOKHTAR et quatre logements d'astreintes
عدد الصفحات: 1/4
AVIS D'APPEL NATIONAL OUVERT AVEC EXIGENCE DE CAPACITES MINIMALES
الزبون: DIRECTION DE LA SANTE ET DE LA POPULATION
النوع: AVIS D'APPEL NATIONAL OUVERT AVEC EXIGENCE DE CAPACITES MINIMALES
موضوع: l'acquisition des equipements medicaux et collectifs pour la polyclinique messiouene 5344 logements w.skikda en lots …
عدد الصفحات: 1/2
AVIS D'APPEL D'OFFRES NATIONAL OUVERT AVEC EXIGENCE DE CAPACITES MINIMALES N* 07/2025
الزبون: DIRECTION DE LA SANTE ET DE LA POPULATION DE WILAYA DE GUELMA
النوع: AVIS D'APPEL D'OFFRES NATIONAL OUVERT AVEC EXIGENCE DE CAPACITES MINIMALES N* 07/2025
موضوع: realisation d'une école de formation paramédicale a guelma
عدد الصفحات: 1/2
AVIS D'APPEL D'OFFRES NATIONAL OUVERT AVEC EXIGENCE DES CAPACITE MINIMALES N* 43/2025
الزبون: DIRECTION DES EQUIPEMENTS PUBLICS WILAYA D'ELTARF
النوع: AVIS D'APPEL D'OFFRES NATIONAL OUVERT AVEC EXIGENCE DES CAPACITE MINIMALES N* 43/2025
موضوع: realisation d'un college type B6/200 repas - el -aioun en lots separes
عدد الصفحات: 1/2
APPEL D'OFFRES OUVERT AVEC EXIGENCE DE CAPACITES MINIMALES
الزبون: COMMUNE AZZABA WILAYA DE SKIKDA
النوع: APPEL D'OFFRES OUVERT AVEC EXIGENCE DE CAPACITES MINIMALES
موضوع: اقتناء RETRO-CHARGEUR
عدد الصفحات: 1/2
الثلاثاء 30 سبتمبر 2025
avis d'appel d'offres national ouvert avec exigence de capacités minimales n° 169/DRAE/AADL/ 2025
الزبون: AGENCE NATIONAL DE L'AMELIORATION ET DU DEVELOPPEMENT DU LOGEMENT -AADL
النوع: avis d'appel d'offres national ouvert avec exigence de capacités minimales n° 169/DRAE/AADL/ 2025
موضوع: la realisation des 800 logements en TCE avec locaux a usage commercial et professionnel et conciergeries y compris les …
عدد الصفحات: 1/2
AVIS D'INFRUCTUOSITE
الزبون: COMMUNE DE MSILA WILAYA DE MSILA
النوع: AVIS D'INFRUCTUOSITE
موضوع: AMENAGEMENT URBAIN A TRAVERS LE TERRITOIRE DE LA COMMUNE DE MSILA
عدد الصفحات: 1/4
اعلان عن طلب عروض مفتوح مع اشتراط قدرات دنيا رقم 02
الزبون: مديرية التهيئة واعادة هيكلة الاحياء لولاية الجزائر
النوع: اعلان عن طلب عروض مفتوح مع اشتراط قدرات دنيا رقم 02
موضوع: اشغال تهيئة واعادة الاعتبار 121 بناية قديمة كائنة بولاية الجزائر …
عدد الصفحات: 1/4
اعلان عن طلب العروض الوطني المفتوح مع اشتراط قدرات دنيا.
الزبون: بلدية سطيف ولاية سطيف
النوع: اعلان عن طلب العروض الوطني المفتوح مع اشتراط قدرات دنيا.
موضوع: تهيئة وتعبيد حي كانغاز SNTR أمام متوسطة كاتب ياسين
عدد الصفحات: 1/2
اعلان عن طلب عروض وطني مفتوح مع اشتراط قدرات دنيا رقم 37/ م.ت.ع/ 2025
الزبون: مديرية التجهيزات العمومية لولاية تبسة
النوع: اعلان عن طلب عروض وطني مفتوح مع اشتراط قدرات دنيا رقم 37/ م.ت.ع/ 2025
موضوع: انجاز متوسطة نمط 300/7 وجبة ببلدية الشريعة (برنامج 2025)
عدد الصفحات: 1/2
اعلان عن طلب عروض وطني مفتوح مع اشتراط قدرات دنيا رقم 02/2025
الزبون: مستشفى البوني عنابة
النوع: اعلان عن طلب عروض وطني مفتوح مع اشتراط قدرات دنيا رقم 02/2025
موضوع: اقتناء وتركيب وتشغيل تجهيزات طبية لفائدة المؤسسة الاستشفائية …
عدد الصفحات: 1/2
اعذار رقم 01.
الزبون: مديرية التعمير، الهندسة المعمارية والبناء لولاية قالمة
النوع: اعذار رقم 01.
موضوع: تجديد وتوسيع شبكة الانارة العمومية عبر احياء بوشقوف ( محمد …
عدد الصفحات: 1/4
اعذار رقم 01..
الزبون: مديرية التعمير، الهندسة المعمارية والبناء لولاية قالمة
النوع: اعذار رقم 01..
موضوع: اشغال تهيئة الطريق البلدي المؤدي الى لمقيصبة من تاملوكة الى …
عدد الصفحات: 1/4
الإثنين 29 سبتمبر 2025
اعلان عن طلب عروض وطني مفتوح رقم 2025f/18
الزبون: المؤسسة العمومية للتلفزيون
النوع: اعلان عن طلب عروض وطني مفتوح رقم 2025f/18
موضوع: استأجار معدات الاضاءة
عدد الصفحات: 1/4
Avis d'attribution provisoire
الزبون: wilaya de batna -daira de ras el ayoun- commune de talkhempt
النوع: Avis d'attribution provisoire
موضوع: enregistrement et maintenance des établissement scolaire
عدد الصفحات: 1/4
AVIS D'ATTRIBUTION PROVISOIRE.
الزبون: COMMUNE DE HYDRA WILAYA D'ALGER
النوع: AVIS D'ATTRIBUTION PROVISOIRE.
موضوع: LA REALISATION DES TRAVEAUX DE REHABILITATION DE L'ESCALIER PUBLIC RELIANT LA CITE SELLIER ET LA RUE HAMDANI LAHCEN …
عدد الصفحات: 1/4
AVIS D'APPEL D'OFFRES NATIONAL OUVERT POUR LA DEUXIEME FOIS AVEC EXIGECE DE CAPACITES MINIMALES N° 27/2025
الزبون: OFFICE DE LA PROMOTIONET DE LA GESTION IMMOBILIAIRES- GUELMA
النوع: AVIS D'APPEL D'OFFRES NATIONAL OUVERT POUR LA DEUXIEME FOIS AVEC EXIGECE DE CAPACITES MINIMALES N° 27/2025
موضوع: LA REALISATION DE 106/225/500 LOGEMENT PUBLICS LOCATIFS AVEC VRD LOCAUX COMMERCIAUX PROGRAMMES 2024 A
عدد الصفحات: 1/4
اعلان عن منح مؤقت .
الزبون: مصلحة التخطيط ومتابعة البرامج التنموية ولاية بسكرة
النوع: اعلان عن منح مؤقت .
موضوع: اشغال التهيئة واعادة الاعتبار لساحة الحرية بلدية بسكرة
عدد الصفحات: 1/4
اعلان طلب عروض وطني مفتوح مع اشتراط قدرات دنيا 21/2025
الزبون: مديرية الري لولاية ان صالح
النوع: اعلان طلب عروض وطني مفتوح مع اشتراط قدرات دنيا 21/2025
موضوع: انجاز خزان مائي بسعة 1000 م3 مع الربط بمحطة الضخ بإن غار (ولاية ان …
عدد الصفحات: 1/4
اعلان عن طلب عروض مفتوح مع اشتراط قدرات دنيا رقم 07/2025
الزبون: بلدية الزاوية العابدية ولاية توقرت
النوع: اعلان عن طلب عروض مفتوح مع اشتراط قدرات دنيا رقم 07/2025
موضوع: انجاز 20 محلات تجارية محلات خدماتية سكنات وظيفية (ش2) في حصص
عدد الصفحات: 1/4
إعلان عن منح مؤقت..
الزبون: مديرية التعمير والهندسة المعمارية والبناء لولاية المنيعة
النوع: إعلان عن منح مؤقت..
موضوع: انجاز اشغال التهيئة الخارجية والانارة العمومية والصرف الصحي …
عدد الصفحات: 1/4
اعلان عن مناقصة وطنية مفتوحة رقم 01/2025
الزبون: الصندوق الوطني للتأمينات الاجتماعية للعمال الأجراء وكالة الاغواط
النوع: اعلان عن مناقصة وطنية مفتوحة رقم 01/2025
موضوع: اقتناء، تركيب ووضع حيز الخدمة لتجهيزات طبية على مستوى مركز …
عدد الصفحات: 1/4
اعلان عن طلب عروض وطني مفتوح مع اشتراط قدرات دنيا رقم 59/2025 للمرة الثانية
الزبون: مديرية التجهيزات العمومية لولاية ورقلة
النوع: اعلان عن طلب عروض وطني مفتوح مع اشتراط قدرات دنيا رقم 59/2025 للمرة الثانية
موضوع: انجاز متوسطة نوع 07/300 وجبة بالرويسات
عدد الصفحات: 3/4
الأحد 28 سبتمبر 2025
اعلان عن طلب العروض المفتوح مع اشتراط قدرات دنيا رقم 2025/ 04
الزبون: المديرية العامة للامن الوطني
النوع: اعلان عن طلب العروض المفتوح مع اشتراط قدرات دنيا رقم 2025/ 04
موضوع: اقتناء مختلف عتاد ولوازم صيانة المباني لفائدة مصالح المديرية …
عدد الصفحات: 1/2
AVIS D'APPEL D'OFFRE NATIONAL OUVERT AVEC EXIGENCE DE CAPACITES MINIMALES N°: 14/2025
الزبون: COMMUNE DE MAGRA WILAYA DE M'SILA
النوع: AVIS D'APPEL D'OFFRE NATIONAL OUVERT AVEC EXIGENCE DE CAPACITES MINIMALES N°: 14/2025
موضوع: Réalisation et aménagement des routes de la commune de magna
عدد الصفحات: 1/4
اعلان عن المنح المؤقت للصفقة
الزبون: مديرية التجهيزات العمومية لولاية تيارت
النوع: اعلان عن المنح المؤقت للصفقة
موضوع: متابعة لانجاز مركز جواري الضرائب برحوية
عدد الصفحات: 1/4
اعلان عن الغاء الاجراء والمنح المؤقت للصفقة
الزبون: مديرية التجهيزات العمومية لولاية ورقلة
النوع: اعلان عن الغاء الاجراء والمنح المؤقت للصفقة
موضوع: دراسة وانجاز وتجهيز مركب رياضي يضم ملعب مغطى بطاقة استيعاب 25000 …
عدد الصفحات: 1/4
اعلان عن طلب عروض وطني مفتوح مع اشتراط قدرات دنيا رقم 2025/57
الزبون: مديرية الاشغال العمومية لولاية ورقلة
النوع: اعلان عن طلب عروض وطني مفتوح مع اشتراط قدرات دنيا رقم 2025/57
موضوع: متابعة لانجاز متوسطة نوع 300/06 وجبة بافران
عدد الصفحات: 3/4
اعلان عن المنح المؤقت لمشروع صفقة
الزبون: مديرية الاشغال العمومية لولاية ورقلة
النوع: اعلان عن المنح المؤقت لمشروع صفقة
موضوع: انجاز الطريق الرابط بين ملعب عين العرش والاشوال 2 مرورا بقاعة …
عدد الصفحات: 1/4
اعلان عن طلب عروض وطني مفتوح مع اشتراط قدرات دنيا رقم 2025/56
الزبون: مديرية التجهيزات العمومية لولاية ورقلة
النوع: اعلان عن طلب عروض وطني مفتوح مع اشتراط قدرات دنيا رقم 2025/56
موضوع: متابعة لانجاز متوسطة نوع 300/ 07 وجبة بالرويسات
عدد الصفحات: 3/4
الخميس 25 سبتمبر 2025
ثاني اعلان عن طلب عروض مفتوح مع اشتراط قدرات دنيا رقم : 2025/ 25
الزبون: ولاية تندوف
النوع: ثاني اعلان عن طلب عروض مفتوح مع اشتراط قدرات دنيا رقم : 2025/ 25
موضوع: دراسة، متابعة وانجاز مدرسة ابتدائية (نمط 1) بحي مليكة قايد بلدية …
عدد الصفحات: 1/2
avis d'infructuosité pour la deuxième fois d'un appel d'offres national ouvert avec exigence de capacités minimales
الزبون: direction de la santé et de la population wilaya de béni Abbas
النوع: avis d'infructuosité pour la deuxième fois d'un appel d'offres national ouvert avec exigence de capacités minimales
موضوع: acquisition des trois véhicules tout terrain au profit établissements de santé de la wilaya béni abbés
عدد الصفحات: 1/4
AVIS D'ATTRIBUTION PROVISOIRE DU MARCHE DE REALISATION
الزبون: OFFICE DE PROMOTION ET DE GESTION IMMOBILIERE DE SETIF
النوع: AVIS D'ATTRIBUTION PROVISOIRE DU MARCHE DE REALISATION
موضوع: l'office de promotion et de gestion immobilière de serif informe l'ensemble des soumissionnaires ayants …
عدد الصفحات: 1/4
اعلان عن طلب العروض الوطني المفتوح مع اشتراط قدرات دنيا
الزبون: بلدية سطيف ولاية سطيف
النوع: اعلان عن طلب العروض الوطني المفتوح مع اشتراط قدرات دنيا
موضوع: تهيئة واد حشيش من مبلوط واد حشيش الى غاية واد بوسلام
عدد الصفحات: 1/2
اعلان ثان عن طلب العروض الوطني المفتوح مع اشتراط قدرات دنيا
الزبون: بلدية سطيف دائرة سطيف
النوع: اعلان ثان عن طلب العروض الوطني المفتوح مع اشتراط قدرات دنيا
موضوع: اقتناء شاحنات ذات صندوق رص قلاب خاص برفع النفايات لفائدة بلدية …
عدد الصفحات: 1/2
اعذار رقم 01
الزبون: مديرية الاشغال العمومية لولاية الطارف
النوع: اعذار رقم 01
موضوع: صيانة واعادة الاعتبار للطرق ببعض بلديات الولايةالمشروع الحصة 01 : …
عدد الصفحات: 1/4
اعذار اول قبل فسخ الصفقة
الزبون: مديرية الاشغال العمومية لولاية قالمة
النوع: اعذار اول قبل فسخ الصفقة
موضوع: صيانة الطرق الولائية في حصص منفصلة
عدد الصفحات: 1/4
اعلان عن التفاوض بعد الاستشارة
الزبون: مديرية الاشغال العمومية لولاية قالمة
النوع: اعلان عن التفاوض بعد الاستشارة
موضوع: اقتناء اللوازم الخاصة بصيانة الطرق الوطنية في اربع حصص منفصلة …
عدد الصفحات: 1/2
الأربعاء 24 سبتمبر 2025
AVIS D'APPEL D'OFFRE OUVERT N°: 20/ 2025
الزبون: DIRECTION DE L'ADMINISTRATION LOCALE DE LA WILAYA DE TAMANRASSET
النوع: AVIS D'APPEL D'OFFRE OUVERT N°: 20/ 2025
موضوع: EQUIPEMENT POUR CLIBATORIUM 100 LITS A IN SALAH (PLUSIEUR LOTS)
عدد الصفحات: 1/2
اعلان عن طلب عروض وطني مفتوح مع اشتراط قدرات دنيا رقم 12/F /2025
الزبون: المؤسسة العمومية للامن الوطني
النوع: اعلان عن طلب عروض وطني مفتوح مع اشتراط قدرات دنيا رقم 12/F /2025
موضوع: اقتناء ، تركيب وتشغيل شاشة عرض 100 متر مربع على شكل وحدات
عدد الصفحات: 1/2
اعلان عن طلب عروض مفتوح مع اشتراط قدرات دنيا رقم : 2025/42
الزبون: ولاية سكيكدة
النوع: اعلان عن طلب عروض مفتوح مع اشتراط قدرات دنيا رقم : 2025/42
موضوع: تهيئة واعادة الاعتبار بما فيها ا(لتدفئة والتكييف) لمقر مديرية …
عدد الصفحات: 1/2
اعلان عن طلب العروض المفتوح مع اشتراط قدرات دنيا
الزبون: ولاية الطارف
النوع: اعلان عن طلب العروض المفتوح مع اشتراط قدرات دنيا
موضوع: اقتناء حافلات للنقل المدرسي بسعة 30 مقعد - 29 01
عدد الصفحات: 1/2
اعلان عن طلب عروض مفتوح مع اشتراط قدرات دنيا رقم : 2025/19
الزبون: ولاية سكيكدة
النوع: اعلان عن طلب عروض مفتوح مع اشتراط قدرات دنيا رقم : 2025/19
موضوع: اشغال الطرق والشبكات المختلفة الاولية والثانوية بالشارع الرئيسي …
عدد الصفحات: 1/2
اعلان بيع رقم 01 عن طريق المزايدة لمحلات تجارية غير مهيآة بمشروع 110 مسكن ترقوي مدعم ANP بلدية قالمة
الزبون: ديوان الترقية والتسيير العقاري قالمة
النوع: اعلان بيع رقم 01 عن طريق المزايدة لمحلات تجارية غير مهيآة بمشروع 110 مسكن ترقوي مدعم ANP بلدية قالمة
موضوع: بيع عن طريق المزايدة وبكل ملكية لاربع عشر محل تجاري غير مهيآ …
عدد الصفحات: 1/2
الثلاثاء 23 سبتمبر 2025
اعلان عن طلب عروض وطني مفتوح رقم 2025/ 36
الزبون: ولاية تبسة
النوع: اعلان عن طلب عروض وطني مفتوح رقم 2025/ 36
موضوع: انجاز وتجهيز مرقد العزاب 100 سرير بالشريعة - مصالح السجون- -برنامج …
عدد الصفحات: 1/2
اعلان عن طلب عروض وطني مفتوح رقم 2025/ 05
الزبون: مديرية الصحة والسكان لولاية قالمة
النوع: اعلان عن طلب عروض وطني مفتوح رقم 2025/ 05
موضوع: اقتناء تجهيزات لمركز تصفية الدم ببوشقوف في حصص متفرقة
عدد الصفحات: 1/2
اعلان عن طلب العروض المفتوح رقم 2025/11
الزبون: مديرية الاشغال العمومية لولاية باتنة
النوع: اعلان عن طلب العروض المفتوح رقم 2025/11
موضوع: صيانة الطرق البلدية - شطر 2021-
عدد الصفحات: 1/2
اعلان عن طلب عروض وطني مفتوح رقم 2025/06
الزبون: بلدية عين بسام ولاية البويرة
النوع: اعلان عن طلب عروض وطني مفتوح رقم 2025/06
موضوع: تهيئة حضرية لشارع الاخوة مازوني عيسى ومحمد
عدد الصفحات: 1/4
اعلان ثالث بعد عدم جدوى عن طلب عروض وطني مفتوح
الزبون: ديوان الترقية والتسيير العقاري للبليدة
النوع: اعلان ثالث بعد عدم جدوى عن طلب عروض وطني مفتوح
موضوع: انجاز اشغال كل هياكل الدولة لمشروع 30/110 مسكن ترقوي مدعم يشمل على …
عدد الصفحات: 1/4
اعلان عن المنح المؤقت لاتفاقيات الانجاز
الزبون: ديوان الترقية والتسيير العقاري لولاية سطيف
النوع: اعلان عن المنح المؤقت لاتفاقيات الانجاز
موضوع: تجديد المساكة للعمارات السكنية
عدد الصفحات: 1/4
1ERE MISE EN DEMEURE
الزبون: DIRECTION DES TRAVAUX PUBLICS DE LA WILAYA DE BEJAIA
النوع: 1ERE MISE EN DEMEURE
موضوع: achèvement des travaux de soutènement et remise en état des sections dégradées sur CW158
عدد الصفحات: 1/4
الإثنين 22 سبتمبر 2025
avis d'attribution provisoire du marché
الزبون: direction des travaux publics de la wilaya de bejaia
النوع: avis d'attribution provisoire du marché
موضوع: traitement les sections touchés par les intempéries sur CW16 aux PK12 700 et PK12 300 et PK12 500 commune Aokas …
عدد الصفحات: 1/4
قرارا الفسخ لصفقة رقم 2025/19 بتاريخ 25/12/2025
الزبون: وزارة السكن والعمران والمدينة
النوع: قرارا الفسخ لصفقة رقم 2025/19 بتاريخ 25/12/2025
موضوع: آشغال انجاز مساكن عمومية ايجارية مع التهيئة والربط بمختلف …
عدد الصفحات: 1/4
اعلان عن طلب عروض وطني مفتوح رقم 2025/12
الزبون: المديرية العامة للامن الوطني
النوع: اعلان عن طلب عروض وطني مفتوح رقم 2025/12
موضوع: اشغال تركيب و اعادة تجديد شبكة التدفئة المركزية مستوئ مصالح …
عدد الصفحات: 3/4
اعلان عن طلب عروض وطني مفتوح رقم 2024/ 07
الزبون: جامعة الجلفة
النوع: اعلان عن طلب عروض وطني مفتوح رقم 2024/ 07
موضوع: اقتناء تجهيزات علمية لفائدة مخبر استكشاف وتثمين النظم البيئية …
عدد الصفحات: 1/2
ثاني اعلان عن طلب عروض وطني مفتوح
الزبون: وزارة الري
النوع: ثاني اعلان عن طلب عروض وطني مفتوح
موضوع: اعادة تاهيل 27 منقب بلديات -الشلف، بوقادير، الصبحة ، واد سلي، بني …
عدد الصفحات: 3/4
الأحد 21 سبتمبر 2025
اعلان عن طلب عروض وطنية مفتوحة رقم 2025/16
الزبون: ولاية سوق أهراس
النوع: اعلان عن طلب عروض وطنية مفتوحة رقم 2025/16
موضوع: اشغال الطرق والشبكات المختلفة للتحصيصات الاجتماعية
عدد الصفحات: 1/2
إعلان عن منح مؤقت.
الزبون: كلية العلوم الدقيقة وعلوم الطبيعة والحياة / جامعة الشهيد الشيخ العربي التبسي -تبسة
النوع: إعلان عن منح مؤقت.
موضوع: خدمات الايواء ، الاطعام، النقل الجوي والنقل البري لفائدة كلية …
عدد الصفحات: 1/2
اعلان عن منح مؤقت..
الزبون: بلدية وادي الملاء ولاية باتنة
النوع: اعلان عن منح مؤقت..
موضوع: انجاز 500 م.ط لبئر ارتوازي بوادي الماء
عدد الصفحات: 1/4
اعلان عن طلب عروض وطني مفتوح رقم 2025/36
الزبون: مديرية السكن لولاية الجلفة
النوع: اعلان عن طلب عروض وطني مفتوح رقم 2025/36
موضوع: انجاز 4000/200 سكن عمومي ايجاري مع التهيئة الخارجية والطرق و الشبكات …
عدد الصفحات: 3/4
اعلان عن طلب عروض وطني مفتوح رقم 2025/32
الزبون: المديرية العامة للآمن الوطني
النوع: اعلان عن طلب عروض وطني مفتوح رقم 2025/32
موضوع: اقتناء رخص مقسمة على على ثلاث حصص قابلة للاسناد على حدى كالتالي :…
عدد الصفحات: 1/2
الخميس 18 سبتمبر 2025
اعلان عن منح مؤقت رقم 2025/04
الزبون: المؤسسة العمومية الاستشفائية رأس الوادي- برج بوعريريج
النوع: اعلان عن منح مؤقت رقم 2025/04
موضوع: التموين بالمواد الصيدلانية ومواد اخرى موجهة الى الطب الانساني …
عدد الصفحات: 1/4
ATTRIBUTION PROVISOIRE DES MARCHES
الزبون: le centre hospitalo-universitaire de tizi ouzo
النوع: ATTRIBUTION PROVISOIRE DES MARCHES
موضوع: acquisition du matériel médical
عدد الصفحات: 1
اعلان عن طلب عروض وطن مفتوح رقم 2025/11
الزبون: المديرية العامة للامن الوطني
النوع: اعلان عن طلب عروض وطن مفتوح رقم 2025/11
موضوع: اشغال اعادة تجديد ميدان المقاتل ومسلك الدراجات النارية على مستوى …
عدد الصفحات: 1/2
MISE EN DEMEURE N02
الزبون: ديوان الترقية والتسيير العقاري لولاية تيزي وزو
النوع: MISE EN DEMEURE N02
موضوع: Entamer les travaux sur chantier et approvisionner le chantier en matériels et matériaux de construction dans un …
عدد الصفحات: 1/4
الأربعاء 17 سبتمبر 2025
اعلان عروض وطني محدود رقم 11/2025
الزبون: كوسيدار
النوع: اعلان عروض وطني محدود رقم 11/2025
موضوع: انجاز اشغال التشطيبات في المبنى الجماعي السكني موزعة على سبع حصص …
عدد الصفحات: 1/4
avis d'annulation de l'avis d'attribution pour lot 03 du appel d'offres ouvert
الزبون: wilaya de tindouf
النوع: avis d'annulation de l'avis d'attribution pour lot 03 du appel d'offres ouvert
موضوع: réhabilitation et aménagement des établissements cycle primaire
عدد الصفحات: 1/4
الاعذار رقم 01
الزبون: مديرية الاشغال العمومية لولاية تيزي وزو
النوع: الاعذار رقم 01
موضوع: صيانة اشارات الطرق وازالة النقاط السوداء
عدد الصفحات: 1/4
اعلان عن الغاء المنح المؤقت لطلب العروض المفتوح
الزبون: ولاية تندوف
النوع: اعلان عن الغاء المنح المؤقت لطلب العروض المفتوح
موضوع: انجاز 03 اقسام توسعة بثانوية العلامة مختار بلعمش
عدد الصفحات: 1/4
اعلان عن طلب عروض وطني مفتوح رقم 2025/126
الزبون: مديرية الاشغال العمومية لولاية بجاية
النوع: اعلان عن طلب عروض وطني مفتوح رقم 2025/126
موضوع: اصلاح الاضرار الناجمة عن سوء الاحوال الجوية على الطريق الولائي 18 …
عدد الصفحات: 1/4
appel d'offre national ouvert n 40/2025
الزبون: WILAYA DE SKIKDA
النوع: appel d'offre national ouvert n 40/2025
موضوع: la réalisation de 40 salles de classe en extension au profit du cycle moyen lot ; la réalisation de
عدد الصفحات: 3/4
الثلاثاء 16 سبتمبر 2025
اعلان عن طلب عروض وطني مفتوح رقم 2025/39
الزبون: مديرية التعمير والهندسة المعمارية والبناء لولاية مسيلة
النوع: اعلان عن طلب عروض وطني مفتوح رقم 2025/39
موضوع: انجاز المشاريع التاليةالسكن الريفي المجمع ببلدية المطارفة /تجمع …
عدد الصفحات: 1/2
اعلان عن طلبات عروض وطني مفتوح.
الزبون: مؤسسة اعادة التربية بسكرة
النوع: اعلان عن طلبات عروض وطني مفتوح.
موضوع: التموين الغذائي لسنة 2026 لفائدة مؤسسة اعادة التربية بسكرة …
عدد الصفحات: 1/2
اعذار رقم 02 قبل الفسخ
الزبون: ديوان الترقية والتسيير العقاري لولاية ان قزام
النوع: اعذار رقم 02 قبل الفسخ
موضوع: انجاز اشغال هياكل الدولة مع التهيئة الخارجية ومختلف الشبكات …
عدد الصفحات: 1/4
اعلان عن طلب عروض وطني مفتوح رقم 2025/02.
الزبون: المؤسسة العمومية الاستشفائية الشلف الاخوات باج
النوع: اعلان عن طلب عروض وطني مفتوح رقم 2025/02.
موضوع: توريد المفاعلات المستهلكات المواد الصيدلانية الموجهة للطب …
عدد الصفحات: 1/2
اعلان عن التأهيل الأولى
الزبون: ديوان الترقية والتسيير العقاري للجلفة
النوع: اعلان عن التأهيل الأولى
موضوع: الاعلان عن المسابقة الوطنية المحدودة في الهندسة المعمارية رقم …
عدد الصفحات: 1/4
الإثنين 15 سبتمبر 2025
اعلان عن طلب عروض وطني مفتوح رقم 2025/03.
الزبون: المديرية العامة للامن الوطني
النوع: اعلان عن طلب عروض وطني مفتوح رقم 2025/03.
موضوع: اقتناء اثاث المكتب لفائدة مصالح الشرطة التابعة لاقليم الملحة …
عدد الصفحات: 1/2
اعلان عن طلب عروض وطني مفتوح رقم 2025/03..
الزبون: المدرسة الوطنية للخزينة
النوع: اعلان عن طلب عروض وطني مفتوح رقم 2025/03..
موضوع: ابرام صفقة طلبيات متعلقة بالاطعام للمدرسة الوطنية للخزينة
عدد الصفحات: 1/4
اعلان عن مناقصة وطنية مفتوحة رقم 2025/16
الزبون: بلدية اقبو ولاية بجاية
النوع: اعلان عن مناقصة وطنية مفتوحة رقم 2025/16
موضوع: انجاز اشغال صرف المياه القذرة او صرف مياه الامطار
عدد الصفحات: 1/2
إعذار رقم 01.
الزبون: مديرية التعمير والهندسة المعمارية والبناء لولاية المسيلة
النوع: إعذار رقم 01.
موضوع: انجاز اشغال شبكة الصرف الصحي للتجزئة 200 قطعة ببلدية بن سرور
عدد الصفحات: 1/4
الأحد 14 سبتمبر 2025
اعلان عن طلب عروض مفتوح 2025/77
الزبون: ديوان الترقية والتسيير العقاري لولاية بليدة
النوع: اعلان عن طلب عروض مفتوح 2025/77
موضوع: انجاز اشغال الطرق والشبكات المتنوعة ل100 مسكن ترقوي حر ببني تامو …
عدد الصفحات: 1/4
اعلان عن منح مؤقت لصفقة .
الزبون: المجمع الصناعي لاسمنت الجزائر
النوع: اعلان عن منح مؤقت لصفقة .
موضوع: تقديم خدمة الاطعام لعمال شركة الاسمنت لحجار السود
عدد الصفحات: 1/4
اعلان عن طلب عروض وطني مفتوح رقم 2025/03
الزبون: المديرية العامة للامن الوطني
النوع: اعلان عن طلب عروض وطني مفتوح رقم 2025/03
موضوع: اعلان المصلحة الجهوية للمالية والتجهيز قسنطينة للامن الوطني عن …
عدد الصفحات: 1/2
اعلان عن طلب عروض وطني مفتوح رقم 2025/07
الزبون: المديرية العامة للامن الوطني
النوع: اعلان عن طلب عروض وطني مفتوح رقم 2025/07
موضوع: انجاز اشغال صيانة مباني الامن لوطني المتواجدة عبر اقليم ولايات …
عدد الصفحات: 1/2
الخميس 11 سبتمبر 2025
ثاني اعلان طلب عروض وطني مفتوح 2025/08
الزبون: ولاية شلف
النوع: ثاني اعلان طلب عروض وطني مفتوح 2025/08
موضوع: اقتناء الة لتخطيط الطرق لصالح الولاية
عدد الصفحات: 1
آعلان عن المنح المؤقت
الزبون: جامعة الشهيد حمة لخضر ولاية الوادي
النوع: آعلان عن المنح المؤقت
موضوع: اقتناء تجهيزات علمية للارضية التقنية للتحاليل الفيزيوكيميائية …
عدد الصفحات: 1/4
اعلان عن منح مؤقت.
الزبون: بلدية المرارة ولاية المغير
النوع: اعلان عن منح مؤقت.
موضوع: انجاز طرق حضرية بالعالية والمرارة الشرقية على مسافة 3500 م/ط
عدد الصفحات: 1/4
الأربعاء 10 سبتمبر 2025
اعلان عن المنح مؤقت
الزبون: المؤسسة العمومية الاستشفائية لورقلة
النوع: اعلان عن المنح مؤقت
موضوع: تخصيص الكواشف والمنتجات المخبرية
عدد الصفحات: 1/4
اعلان عن طلب عروض وطني مفتوح رقم 2025/04
الزبون: مديرية التربية لولاية ان قزام
النوع: اعلان عن طلب عروض وطني مفتوح رقم 2025/04
موضوع: تجهيز واعادة تاهيل المتوسطات
عدد الصفحات: 1/4
اعلان عن طلب عروض وطني مفتوح رقم 2025/03
الزبون: مديرية التربية لولاية ان قزام
النوع: اعلان عن طلب عروض وطني مفتوح رقم 2025/03
موضوع: تجهيز واعادة تاهيل الابتدائيات بما فيها انظمة التدفئة والتبريد …
عدد الصفحات: 1/4
اعلان عن طلب عروض وطني مفتوح 2025/05
الزبون: مديرية التربية لولاية ان قزام
النوع: اعلان عن طلب عروض وطني مفتوح 2025/05
موضوع: تجهيز واعادة تاهيل الثانويات بما فيه نظام التدفئة والتبريد
عدد الصفحات: 1/4
اعلان عن عدم جدوى طلب عروض وطني مفتوح رقم 2025/27
الزبون: مديرية التربية لولاية بويرة
النوع: اعلان عن عدم جدوى طلب عروض وطني مفتوح رقم 2025/27
موضوع: تجديد المعدات المدرسية للمتوسطات بما فيه انظمة التدفئة والتبريد
عدد الصفحات: 1/4
اعلان عن منح مؤقت للصفقات
الزبون: مديرية الاشغال العمومية لولاية تيزي وزو
النوع: اعلان عن منح مؤقت للصفقات
موضوع: انجاز عبار بالخرسانة المسلحة متعددة الخلايا بقرية الساحل بلدية …
عدد الصفحات: 1/4
الثلاثاء 09 سبتمبر 2025
طلب العروض المفتوح رقم 2025/89
الزبون: مديرية التجهيزات العمومية لولاية الجلفة
النوع: طلب العروض المفتوح رقم 2025/89
موضوع: انجاز ثانوية نوع 300/800 وجبة بالمدخل الشمالي بمسعد
عدد الصفحات: 1/2
اعلان عن طلب العروض الوطني المفتوح رقم 2025/05
الزبون: بلدية الشمرة ولاية باتنة
النوع: اعلان عن طلب العروض الوطني المفتوح رقم 2025/05
موضوع: تهيئة الطريق الذي بلدية الشمرة وبلدية اولاد فاضل بمشته قابل …
عدد الصفحات: 1/2
اعلان عن طلب عروض وطني مفتوح رقم 2025/20
الزبون: ولاية ميلة
النوع: اعلان عن طلب عروض وطني مفتوح رقم 2025/20
موضوع: اشغال الصيانة واعادة تاهيل لاقامة الضيوف مقابل مستشفى الاخوة …
عدد الصفحات: 1/2
الإثنين 08 سبتمبر 2025
اعلان عن طلبات عروض وطني مفتوح
الزبون: مؤسسة اعادة التربية آقبو
النوع: اعلان عن طلبات عروض وطني مفتوح
موضوع: التموين بالمواد الغذائية لسنة 2025
عدد الصفحات: 1/2
اعلان عن طلب العروض وطني مفتوح
الزبون: ديوان الترقية والتسيير العقاري لتيارت
النوع: اعلان عن طلب العروض وطني مفتوح
موضوع: انجاز 30 سكن ترقوي مدعم بالاضافة الى اشغال الطرقات والشبكات …
عدد الصفحات: 1/4
إعلان عن منح مؤقت
الزبون: المستشفى المختلط بتندوف
النوع: إعلان عن منح مؤقت
موضوع: اقتناء العتاد الطبي لفائدة المستشفى المختلط بتندوف لسنة 07 حصص 2025
عدد الصفحات: 1/4
اعلان عن طلب عروض وطني مفتوح رقم 2025/11
الزبون: وزارة السكن والعمران والمدينة
النوع: اعلان عن طلب عروض وطني مفتوح رقم 2025/11
موضوع: اقناء، تنصيب وتوزيع مركز بيانات على مستوى المقر الجديد لوزارة …
عدد الصفحات: 1/2
الأحد 07 سبتمبر 2025
إعلان عن المنح المؤقت
الزبون: مديرية التعمير و الهندسة المعمارية والبناء لولاية برج بوعريريج
النوع: إعلان عن المنح المؤقت
موضوع: إنجاز شبكة الطرق والشبكات المختلفة الأولية والثانوية
عدد الصفحات: 1/4
اعلان عن طلب عروض مفتوح
الزبون: مديرية التجهيزات العمومية لولاية تيبازة
النوع: اعلان عن طلب عروض مفتوح
موضوع: إنجاز ثانوية رقم 02 نوع 1000 على مستوى موقع 25000lvv القطب الحضري الجديد …
عدد الصفحات: 1/2
اعلان عن مناقصة وطنية دولية محدودة
الزبون: كوسيدار
النوع: اعلان عن مناقصة وطنية دولية محدودة
موضوع: توفير وحدة مركزية لاسطوانات هيدروليكية لبناء صناديق التخزين
عدد الصفحات: 1/4
اعلان عن المنح المؤقت
الزبون: مديرية الاشغال العمومية لولاية بجاية
النوع: اعلان عن المنح المؤقت
موضوع: صيانة الطرق الوطنية برنامج 2023
عدد الصفحات: 1/2
الخميس 04 سبتمبر 2025
طلب العروض الوطني المفتوح 2025/18
الزبون: مديرية الادارة المحلية لولاية تمنراست
النوع: طلب العروض الوطني المفتوح 2025/18
موضوع: اقتناء تجهيزات رقمية لفائدة الولاية
عدد الصفحات: 1/4
اعلان عن منح مؤقت 2025/36
الزبون: مديرية التجهيزات العمومية لولاية بومرداس
النوع: اعلان عن منح مؤقت 2025/36
موضوع: إدارة مشروع "دراسة ومتابعة" إنشاء قسم الأورام الإشعاعية بمستشفى …
عدد الصفحات: 1/4
اعلان عن منح مؤقت لصفقة
الزبون: جامعة التكوين المتواصل بديدوش مراد
النوع: اعلان عن منح مؤقت لصفقة
موضوع: اقتناء اثاث مكتبي لفائدة جامعة التكوين المتواصل وملحقاته لسنة 2025
عدد الصفحات: 1/4
اعلان عن طلب عروض وطني مفتوح رقم 2025/18
الزبون: مديرية الري لولاية تندوف
النوع: اعلان عن طلب عروض وطني مفتوح رقم 2025/18
موضوع: تجديد الشبكة القديمة للمياه الصالحة للشرب لولاية تندوف
عدد الصفحات: 3/4
الأربعاء 03 سبتمبر 2025
اعلان عن طلب عروض وطني مفتوح رقم 2025/25
الزبون: المركز الاستشفائي الجامعي لعنابة
النوع: اعلان عن طلب عروض وطني مفتوح رقم 2025/25
موضوع: امداد المركز الاستشفائي الجامعي لعنابة بكواشف الكيمياء الحيوية …
عدد الصفحات: 1
اعلان عن مسابقة وطنية محدودة
الزبون: الصندوق الوطني للتقاعد
النوع: اعلان عن مسابقة وطنية محدودة
موضوع: انجاز مقر الوكالة المحلية للصندوق الوطني للتقاعد بني عباس واربعة …
عدد الصفحات: 1/2
الثلاثاء 02 سبتمبر 2025
اعلان عن طلب عروض مفتوح 2025/05
الزبون: بلدية عين الريش ولاية مسيلة
النوع: اعلان عن طلب عروض مفتوح 2025/05
موضوع: كراء حافلات للنقل المدرسي لسنة 2026
عدد الصفحات: 1/4
اعلان عن منح مؤقت
الزبون: مديرية الاشغال العمومية لولاية شلف
النوع: اعلان عن منح مؤقت
موضوع: انجاز اشغال تهيئة وتعبيد الطريق البلدي الرابط بين حمليل وبقعة …
عدد الصفحات: 1/4
اعلان عن طلب عروض وطني مفتوح
الزبون: مديرية الشباب والرياضة لولاية تمنغست
النوع: اعلان عن طلب عروض وطني مفتوح
موضوع: انجاز مدرجات والتغطية بالعشب الاصطناعي لملعب كرة القدم بأبلسة
عدد الصفحات: 1/2
اعلان عن طلب عروض وطني مفتوح رقم 2025/30
الزبون: ديوان الترقية والتسيير العقاري
النوع: اعلان عن طلب عروض وطني مفتوح رقم 2025/30
موضوع: اعادة ترميم آدراج عماات الحي 1100 مسكن ببويرة
عدد الصفحات: 1/2
الإثنين 01 سبتمبر 2025
إعلان عن طلب عروض وطني مفتوح رقم 2025/01
الزبون: المديرية العامة للأمن الوطني
النوع: إعلان عن طلب عروض وطني مفتوح رقم 2025/01
موضوع: إقتناء مختلف المواد الأولية كالتالي :1/ 25 ألف لوحة رغوية 1 سم …
عدد الصفحات: 1/2
إعلان عن منح مؤقت رقم 2025/83
الزبون: مديرية التجهيزات العمومية لولاية البليدة
النوع: إعلان عن منح مؤقت رقم 2025/83
موضوع: إنجاز مدرسة إبتدائية نوع 02 رقم 01 على مستوى موقع 5340 مسكن إيجاري …
عدد الصفحات: 1/4
إعلان عن طلب عروض وطني مفتوح رقم 2025/14
الزبون: المؤسسة العمومية للتلفزيون
النوع: إعلان عن طلب عروض وطني مفتوح رقم 2025/14
موضوع: اقتناء نظام رافعة لكاميرا "لونا"
عدد الصفحات: 1/2
الإعلان عن المنح المؤقت
الزبون: مديرية الشباب والرياضة لولاية تامنغست
النوع: الإعلان عن المنح المؤقت
موضوع: تجهيز ملعب العاب القوى بتاظروك مقسمة الى عدة حصص :1/ تجهيزات …
عدد الصفحات: 1/4
الأحد 31 أوت 2025
اعلان عن طلب عروض وطني مفتوح رقم 2025/02
الزبون: بلدية وادي الشحم ولاية قالمة
النوع: اعلان عن طلب عروض وطني مفتوح رقم 2025/02
موضوع: تهيئة الاجزاء المتبقية من عملية التحسين الحضري للتحصيص رقم 1 …
عدد الصفحات: 1/4
اعلان عن طلب عروض وطني مفتوح دقم 2025/06
الزبون: بلدية وادي الماء ولاية باتنة
النوع: اعلان عن طلب عروض وطني مفتوح دقم 2025/06
موضوع: انجاز 500 م.ط لبئر ارتوازي بولاية باتنة
عدد الصفحات: 1/4
اعلان عن تمديد مدة تحضير العروض الخاصة بطلب عروض وطني ودولي مفتوح رقم 2025/34
الزبون: المديرية العامة للامن الوطني
النوع: اعلان عن تمديد مدة تحضير العروض الخاصة بطلب عروض وطني ودولي مفتوح رقم 2025/34
موضوع: اقتناء 285 سيارة للتدخل رباعية الدفع لكل الارضيات٫ تم تمديد مدة …
عدد الصفحات: 1/4
اعلان عن طلب عروض وطني مفتوح رقم 2025/27
الزبون: المديرية العامة للامن الوطني
النوع: اعلان عن طلب عروض وطني مفتوح رقم 2025/27
موضوع: ابرام صفقة لغرض انجاز مرقد عزاب بمسعد ولاية الجلفة -اشغال تكملة-
عدد الصفحات: 1/2
طلب عروض وطني مفتوح رقم 2025/10
الزبون: مديرية الصحة والسكان لولاية الشلف
النوع: طلب عروض وطني مفتوح رقم 2025/10
موضوع: اقتناء تجهيزات لمركز مكافحة السرطان بالشلف
عدد الصفحات: 1/4
الخميس 28 أوت 2025
إعذار رسمي رقم - 2
الزبون: المجمّع الإداري لسيدي عبد الله – بلدية المحالمة
النوع: إعذار رسمي رقم - 2
موضوع: دراسة ومتابعة وإنجاز مطعم مدرسي بمدرسة مرزوق محمد المدعو
عدد الصفحات: 1/4
إعذار رسمي رقم - 1
الزبون: مديرية الصحة والسكان ولاية عنابة
النوع: إعذار رسمي رقم - 1
موضوع: يتعلق الإعذار بتنفيذ عقد توريد تجهيزات خاصة بمركز مكافحة …
عدد الصفحات: 1/4
إعلان عن إنتقاء أولي متعلق بالمسابقة الوطنية للهندسة المعمارية المحدودة (التحكم في المشروع)
الزبون: الوكالة الوطنية لتحسين السكن وتطويره
النوع: إعلان عن إنتقاء أولي متعلق بالمسابقة الوطنية للهندسة المعمارية المحدودة (التحكم في المشروع)
موضوع: الاعلان عن قائمة المؤهلين لمشروع دراسة ومتابعة 110 سكن ترقوي مدعم …
عدد الصفحات: 1/4
إعلان عن مناقصة مفتوحة رقم 2025/01
الزبون: بلدية الفجوج ولاية قالمة
النوع: إعلان عن مناقصة مفتوحة رقم 2025/01
موضوع: إمداد المطاعم المدرسية للسنة الدراسية 2025 (سبتمبر، أكتوبر، …
عدد الصفحات: 3/4
الأربعاء 27 أوت 2025
إعلان عن طلب عروض وطني مفتوح رقم 2025/30
الزبون: المديرية العامة للأمن الوطني
النوع: إعلان عن طلب عروض وطني مفتوح رقم 2025/30
موضوع: إقتناء أفرشة
عدد الصفحات: 1/2
إعذار رسمي رقم 1
الزبون: مديرية التجهيزات العمومية لولاية سكيكدة
النوع: إعذار رسمي رقم 1
موضوع: إنطلاق الأشغال ودعم الورشة بالموارد البشرية والعتاد لضمان تسريع …
عدد الصفحات: 1/4
إعلان عن طلب عروض مفتوح
الزبون: مديرية التكوين والتعليم المهنيين لولاية سوق أهراس
النوع: إعلان عن طلب عروض مفتوح
موضوع: تكملة تجهيز وإتمام أشغال مركز التكوين المهني والتمهين بالحدادة.
عدد الصفحات: 1/4
إعلان عن طلب العروض المفتوح رقم 2025/06
الزبون: بلدية الذرعان ولاية الطارف
النوع: إعلان عن طلب العروض المفتوح رقم 2025/06
موضوع: مشروع تكملة تهيئة خمس مدارس إبتدائية
عدد الصفحات: 1/2
الثلاثاء 26 أوت 2025
إعلان عن طلب عروض وطني مفتوح رقم 2025/35
الزبون: المديرية العامة للأمن الوطني
النوع: إعلان عن طلب عروض وطني مفتوح رقم 2025/35
موضوع: إقتناء مراتب مقاومة للحريق مع غلافها المقاوم للحريق ايضا، أغطية …
عدد الصفحات: 1/2
إعلان عن طلب عروض وطني مفتوح رقم 2025/33
الزبون: المديرية العامة للأمن الوطني
النوع: إعلان عن طلب عروض وطني مفتوح رقم 2025/33
موضوع: اقتناء مستهلكات خاصة بالمخبر العلمي والتقني مقسمة الى ثلاثة حصص …
عدد الصفحات: 1/2
إعلان عن طلب عروض وطني مفتوح رقم 2025/24
الزبون: المديرية العامة للأمن الوطني
النوع: إعلان عن طلب عروض وطني مفتوح رقم 2025/24
موضوع: إنجاز أشغال الصيانة والتهيئة على مستوى مختلف المصالح المركزية …
عدد الصفحات: 1/2
الإثنين 25 أوت 2025
إعلان عن مناقصة وطنية مفتوحة رقم: 2025/22
الزبون: مديرية الري لولاية عنابة
النوع: إعلان عن مناقصة وطنية مفتوحة رقم: 2025/22
موضوع: تجديد جزء من أنبوب إمداد المياه من العلمة الى الشرفة
عدد الصفحات: 1/2
ثاني اعلان عن مناقصة وطنية مفتوحة
الزبون: مديرية التجهيزات العمومية لولاية الطارف
النوع: ثاني اعلان عن مناقصة وطنية مفتوحة
موضوع: المشروع: انجاز 2000 وحدة بيداغوجية متبقية
عدد الصفحات: 1/2
اعذار رسمي رقم 01
الزبون: مديرية الري لولاية البويرة
النوع: اعذار رسمي رقم 01
موضوع: انجاز شبكة تزويد بالماء الصالح للشرب بالقطب الحضري الجديد لولاد …
عدد الصفحات: 1/4
إعلان عن طلب عروض وطني مفتوح رقم 2025/03
الزبون: مؤسسة تسيير المرور والنقل الحضري لولاية الجزائر
النوع: إعلان عن طلب عروض وطني مفتوح رقم 2025/03
موضوع: إقتناء الطلاء الأبيض للطرق أكريليك البلاستيك الحريري لمصلحة …
عدد الصفحات: 1/4
الأحد 24 أوت 2025
إعذار رقم 01
الزبون: محافظة الغابات لولاية الطارف
النوع: إعذار رقم 01
موضوع: تهيئة مسالك غابية على مساحة 13 كلم حصة 11 بلدية الزيتونة جنوب …
عدد الصفحات: 1/4
إعلان عن مناقصة وطنية مفتوحة رقم 14/2025
الزبون: ديوان الترقية والتسيير العقاري لولاية سطيف
النوع: إعلان عن مناقصة وطنية مفتوحة رقم 14/2025
موضوع: إنجاز 120 مسكن بصيغة الترقوي المدعم LPA مقسمة كالتالي:المشروع 1/ 30 …
عدد الصفحات: 1/2
إعلان عن إلغاء المنح المؤقت وعدم جدوى رقم 2025/40
الزبون: مديرية التجهيزات العمومية لولاية بسكرة
النوع: إعلان عن إلغاء المنح المؤقت وعدم جدوى رقم 2025/40
موضوع: إنجاز إكمالية صنف قاعدة 06/200 وجبة بطولقة حصة رقم 08: السكنات …
عدد الصفحات: 1/4
إعلان عن مسابقة وطنية محدودة في الهندسة المعمارية
الزبون: ديوان الترقية والتسيير العقاري للجلفة
النوع: إعلان عن مسابقة وطنية محدودة في الهندسة المعمارية
موضوع: دراسة ومتابعة إنجاز (كل هياكل الدولة) مع التهيئة الخارجية والطرق …
عدد الصفحات: 1/2
الخميس 21 أوت 2025
إعلان عن طلب عروض وطني مفتوج رقم 2025/13
الزبون: مديرية الشباب والرياضة تبسة
النوع: إعلان عن طلب عروض وطني مفتوج رقم 2025/13
موضوع: مشروع متابعة وإعادة الإعتبار للمنشأت الشبانيةالحصة 1: دار الشباب …
عدد الصفحات: 1/2
إعلان عن طلب عروض وطني مفتوح رقم 2025/003
الزبون: المركز الإستشفائي الجامعي لعنابة
النوع: إعلان عن طلب عروض وطني مفتوح رقم 2025/003
موضوع: تموين المركز الاستشفائي الجامعي لعنابة بالملابس بعنوان السنة …
عدد الصفحات: 1/2
الأربعاء 20 أوت 2025
إعلان عن مناقصة وطنية مفتوحة
الزبون: المركز الإستشفائي الجامعي لبجاية
النوع: إعلان عن مناقصة وطنية مفتوحة
موضوع: الصيانة الوقائية والعلاجية للمعدات الطبية
عدد الصفحات: 1/2
إعذار رسمي رقم 02
الزبون: مديرية التجهيزات العمومية لولاية بسكرة
النوع: إعذار رسمي رقم 02
موضوع: مشروع انجاز ثانوية نوع 1000/300 ببوجنة العالية بلدية بسكرة
عدد الصفحات: 1/4
اعلان عن مناقصة مفتوحة رقم 06/2025
الزبون: بلدية تالخمت ولاية باتنة
النوع: اعلان عن مناقصة مفتوحة رقم 06/2025
موضوع: تجديد وصيانة مؤسسات تربوية:1/ مدرسة قدور الرباي، مدرسة قدور …
عدد الصفحات: 1/4
الثلاثاء 19 أوت 2025
اعلان عن منح مؤقت لصفقة رقم 17/2025
الزبون: بلدية اسطاوالي الجزائر
النوع: اعلان عن منح مؤقت لصفقة رقم 17/2025
موضوع: انجاز شبكة صرف صحي بحي المذبح البلدي والمجمع السكني بورقة
عدد الصفحات: 1/4
إعلان عن منح مؤقت لصفقة رقم 14/2025/ EGTC
الزبون: مؤسسة التسيير السياحي للوسط
النوع: إعلان عن منح مؤقت لصفقة رقم 14/2025/ EGTC
موضوع: إستكمال أعمال التشطيبات لفندق السفير بالجزائر- مؤسسة التسيير …
عدد الصفحات: 1/4
الإثنين 18 أوت 2025
إعذار رسمي رقم 01
الزبون: مديرية التجهيزات العمومية لولاية برج بوعريريج
النوع: إعذار رسمي رقم 01
موضوع: اعذار رسمي رقم 01 حول مشروع انجاز ثانوية 1000/300 وجبة بوين زرايقة …
عدد الصفحات: 1/4
إعذار رسمي رقم: 01
الزبون: مديرية التجهيزات العمومية لولاية برج بوعريريج
النوع: إعذار رسمي رقم: 01
موضوع: إعذار رسمي رقم 01 لمشروع إنجاز مدرسة إبتدائية نوع 07/300 لاستبدال …
عدد الصفحات: 1/4
الأحد 17 أوت 2025
اعلان مناقصة وطنية مفتوحة 19/2025
الزبون: مديرية التجهيزات العمومية لولاية تيارت
النوع: اعلان مناقصة وطنية مفتوحة 19/2025
موضوع: متابعة انجاز مركز جواري للضرائب بالرحوية
عدد الصفحات: 1/2
الخميس 14 أوت 2025
اعلان عن منح مؤقت رقم 76/2025
الزبون: وزارة السكن والعمران والمدينة / مديرية التجهيزات العمومية لولاية البليدة
النوع: اعلان عن منح مؤقت رقم 76/2025
موضوع: انجاز ثانوية 1000 على مستوى موقع 5340 مسكن الترقوي الحر بالصفصاف …
عدد الصفحات: 1/4
طلب عرض وطني مفتوح رقم 69/2025
الزبون: وزارة السكن والعمران والمدينة / مديرية التجهيزات العمومية لولاية البليدة
النوع: طلب عرض وطني مفتوح رقم 69/2025
موضوع: انجاز مدرسة ابتدائية نوع 02 رقم 01 على مستوى موقع 5340 مسكن ايجاري …
عدد الصفحات: 1/4
الأربعاء 13 أوت 2025
إعلان منح مؤقت رقم 01/2025
الزبون: المؤسسة الإستشفائية العمومية العقيد عثمان -عين الترك
النوع: إعلان منح مؤقت رقم 01/2025
موضوع: إمدادات من مختلف المواد الاستهلاكية والمنتجات الصيدلانية مقسمة …
عدد الصفحات: 1/2
الثلاثاء 12 أوت 2025
إعلان منح مؤقت
الزبون: المركز الاستشفائي الجامعي لوهران (CHU Oran).
النوع: إعلان منح مؤقت
موضوع: أشغال إعادة تهيئة مختلف مصالح المركز الاستشفائي الجامعي بوهران …
عدد الصفحات: ½ صفحة
